您好,欢迎您

大“真”探 | 乳腺良性病变的癌变风险“大探秘”

2021年01月05日
来源:肿瘤资讯

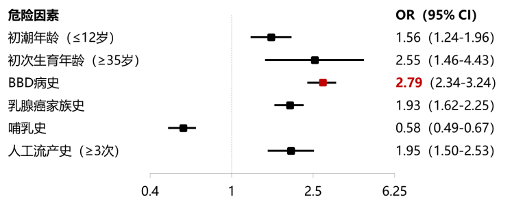
众所周知,乳腺癌已成为严重威胁我国女性健康的恶性肿瘤之一,根据国家癌症中心最新数据,2015年中国乳腺癌新增发病数30.4万例,死亡7万例1。面对如此高的发病率及死亡率,“防乳腺癌于未然”已成为广大女性同胞和临床医生关注的重中之重。国内外学者通过数十年的观察研究认识到,乳腺良性病变(breast benign diseases,BBD)与乳腺癌的发生存在一定的相关性,既往有BBD的女性人群患乳腺癌的风险增高。同样,对于中国女性而言,相比乳腺癌家族史、初次生育年龄≥35岁、人工流产≥3次,BBD病史大大增加了乳腺癌风险(图1),且45~60岁的5年预期发病风险最高2。因此,探秘BBD对乳腺癌风险预测有着不可忽视的作用。

图1 中国女性乳腺癌6个主要危险因素的风险比

近日,四川大学华西医院吕青教授及其团队从病理组织学的角度出发探讨了BBD与乳腺癌风险的关系3,下面让我们来一探究竟!

探秘1——BBD不同病理组织学分类与乳腺癌风险

BBD从病理组织学上分为三大类:非增生性病变(NP)、无不典型增生的增生性病变(PDWA)、不典型增生(AH)(图2),这三类病变在经活检的BBD中估计发病率分别为66%、30%和4%。

图2 BBD的病理组织学分类

多项研究证实,AH相关BBD患乳腺癌风险是NP的1.59~4.74倍4增生性BBD增加了患乳腺癌风险,且其风险水平与BBD类型有关。因此,BBD的病理组织学分类或许可以帮助筛选乳腺癌高危人群,从而进行更具有针对性的风险管理。

探秘2——BBD的多样性是进展为乳腺癌的重要危险因素

在实际临床中,许多BBD并不只有一种组织病理学改变,活检发现,BBD的多样性很常见,多样性病变类型可能是进展为乳腺癌的危险因素和预测因素。伴有多种不同组织病理学改变的良性乳腺病变称为多样性或异质性BBD(HBBD)。

一项研究根据BBD活检结果进行分层,探索HBBD与病理组织学、年龄的关系5。研究中将BBD活检结果为NP者定义为低风险,PDWA定义为中度风险,AH定义为高风险。结果发现,69%的BBD患者为HBBD(图3),46~55岁和>55岁组女性出现HBBD的风险分别是≤45岁组的3.12倍和2.28倍。诊断为HBBD的女性中几乎3/4为多风险水平HBBD(ML-HBBD),且由中度/高风险病变组成的可能性更大(图4)。HBBD中平均病变种类数与风险水平增加成正比(P<0.001),与具有低风险病变的女性人群相比,当出现中度和高风险病变时,出现HBBD可能性明显增加,反过来,更高风险水平的BBD病变也更容易在HBBD中出现。

图3 BBD患者活检的组织病理学结果

图4 病变危险等级、年龄的HBBD风险比

BBD多样性(但不包括AH)是BBD进展为乳腺癌的危险因素。研究发现,伴有多样性NP的患者罹患乳腺癌的风险(RR=1.79,95% CI:1.0~3.21)明显高于伴有单纯NP的患者(n=937,P=0.051)6

简而言之,BBD的种类越多、病变中细胞增生的程度越重(非典型增生)、年龄越大(45岁以上),则患乳腺癌的风险增高,且这些因素联合作用将使风险增加。

探秘3——不同BBD病理类型与乳腺癌风险

正所谓,知彼知己,才能百战百胜。为了预测BBD活检后女性的乳腺癌绝对风险,需要探明可预测乳腺癌风险的特征性BBD,从而进行个性化的预防和监测。小叶原位癌和AH已是公认的乳腺癌高危因素,因此吕青教授等人探讨了放射状癍痕、复杂性纤维腺瘤等多种非AH性BBD的乳腺癌风险。

放射状癍痕

乳腺放射状癍痕是一种少见的乳腺良性增生性疾病7(图5)。一项回顾性分析发现,无论BBD的病理组织学是何种类型,伴放射状癍痕女性患者患乳腺癌的风险几乎是不伴放射状癍痕女性的2倍,且乳腺癌风险随癍痕大小而增加,因此一般建议手术切除。

图5 乳腺放射状瘢痕病理图(HE染色,×20)

病变区见红染无结构的纤维核心(长箭头示),周围放射状分布的囊性增生及导管上皮增生(短箭头示)。

复杂性纤维腺瘤

复杂性纤维腺瘤是一种具有>3 mm囊肿、硬化性腺病、上皮钙化和乳头状顶浆化生改变中的一种或多种特征的纤维腺瘤。研究发现,复杂性纤维腺瘤是一个长期的乳腺癌危险因素,且患乳腺癌风险因纤维腺瘤的组织学特征而异,同时患有复杂性纤维腺瘤、PDWA或有乳腺癌家族史均将增加浸润性乳腺癌的风险。

导管乳头状瘤

乳腺导管乳头状瘤可为单发和多发,可伴有不典型导管增生(ADH)或不典型小叶增生(ALH)。研究发现,单发乳头状瘤与传统的增生性纤维囊性病变的患乳腺癌风险相似,而乳头状瘤的存在与AH有关但并不会改变ADH或ALH的总体风险。并且乳头状瘤常与ADH、ALH或小叶原位癌、恶性病变和双侧性乳腺病变相关联,因此推测多发乳头状瘤可能是患乳腺癌风险增加的一个因素。

硬化性腺病

硬化性腺病在BBD活检中较为常见,也是增加乳腺癌风险因素之一。在临床表现、体格检查、影像检查和病理组织学方面都可与乳腺癌类似。硬化性腺病作为一种独特的可识别的组织学表现,反映了乳腺组织床的异常。对乳腺癌风险的分层和预测有着不可小觑的作用,值得进一步研究。

扁平上皮非典型性(FEA)

对于近年来在BBD组织学诊断“出镜率”较高的乳腺FEA来说,由于它常与PDWA或AH并存,而后者的存在可能增加乳腺癌风险,因此FEA被认为是乳腺癌发生的前兆病变或高风险损害,需要临床重视。

BBD虽然非致命,但它与乳腺癌的发生存在相关性,且具有高发、多样、隐匿的特点,因此亟需引起重视,推荐“早筛早诊早治”。理论方面,应该如何制定基于乳腺癌预防BBD的治疗策略等方面还需要获得更多专业内的共识,以共同进行深入探究。实践方面,VABB因其定位精准,取样量大,已成为BBD诊断和切除的“新生力量军”。

参考文献

1. 郑荣寿, 等. 2015年中国恶性肿瘤流行情况分析. 中华肿瘤杂志 2019,41(1):19-27.

2. Wang Y, et al. Tumour Biol 2014,35(11):10861-10869.

3. 吕青, 瞿亚军. 乳腺良性疾病与乳腺癌风险. 中国普外基础与临床杂志 2020,27(11):1329-1333.

4. Salamat F MSc, et al. Iran J Med Sci 2018,43(4):355-364.

5. Cheng J, et al. Breast Cancer Res Treat 2008,111(2):289-296.

6. Worsham MJ, et al. Clin Cancer Res 2007,13(18 Pt 1):5474-5479.

7. 吴毅华, 等. 乳腺放射状瘢痕超声表现1例. 临床超声医学杂志2018,20(2).


排版编辑:Yezi

                   

相关阅读
评论
2021年03月06日
马燕
雄县中医医院 | 肿瘤内科
学习
2021年01月20日
侯国栋
平遥兴康医院 | 外科
探秘BBD对乳腺癌风险预测有着不可忽视的作用。
2021年01月12日
李国君
冀中能源峰峰集团有限公司总医院 | 血液肿瘤科
乳腺癌已成为严重威胁我国女性健康的恶性肿瘤之一