您好,欢迎您

奥希替尼耐药相关免疫预后预测模型发现,PSMD11促进EGFR突变肺腺癌发展

11月27日
整理:肿瘤资讯
来源:肿瘤资讯

长期药物治疗导致的获得性耐药是奥希替尼(OSI)治疗后肺腺癌(LUAD)患者预后不良的主要原因。因此,准确识别耐药患者并寻找逆转耐药的新靶点,对改善患者预后具有重要意义。一项研究构建了由四个OSI耐药相关基因组成的免疫预后预测模型,并评估了该模型预测EGFR突变LUAD患者预后的准确性。研究结果为指导OSI耐药型LUAD患者的个体化治疗选择,提供了重要依据。

背景

非小细胞肺癌(NSCLC)是全球癌症死亡的主要原因,约占肺癌病例的85%,其中LUAD是最常见的病理类型。尽管目前已有多种治疗方法,但患者预后仍然较差,5年总生存率约低于20%。长期药物治疗引发的内源性或外源性获得性耐药,是导致药物疗效下降及肿瘤快速复发的主要因素。耐药性的产生是复杂的过程,主要由基因表达异常引起。因此,筛选与耐药相关的差异表达基因(DEGs),并分析DEGs对预后和药物敏感性的影响,对寻找逆转耐药、改善预后的新靶点具有重要意义。

第三代EGFR-TKI如奥希替尼是晚期EGFR突变NSCLC患者的一线治疗选择。尽管绝大多数EGFR突变患者都能从EGFR-TKI治疗中获益,但最终会通过EGFR依赖性或非依赖性机制产生获得性耐药。鉴于肿瘤部位的免疫细胞在肿瘤恶性进展中发挥着关键作用,肿瘤免疫微环境(TIME)已成为研究热点。肿瘤细胞可以在TIME中演化出多种逃避免疫监视的策略,其中,位于肿瘤细胞表面的免疫检查点分子(如CTLA-4和PD-1)能够使肿瘤细胞实现不受限制的生长。基于这一机制,研究人员开发了多种阻断免疫检查点的人源化单克隆抗体(如免疫检查点抑制剂,ICIs)——恢复免疫细胞的功能。既往研究表明,TKI耐药可以调节肺腺癌(LUAD)中的TIME状态,例如诱导T细胞凋亡、增加调节性T细胞(Tregs)数量,以及促进肿瘤相关巨噬细胞向M2表型极化。因此,迫切需要阐明TKI耐药性与LUAD肿瘤免疫之间的潜在关系,以制定更有效的治疗策略。

研究方法

本研究基于奥希替尼耐药细胞(PC9OR、H1975OR)与敏感细胞(PC9、H1975)的差异表达基因(DEGs),结合来自TCGA的预后相关基因及ImmPort、InnateDB的免疫基因,成功构建了OSI耐药免疫预后模型,用于预测EGFR突变型LUAD患者的预后。根据风险评分将EGFR突变LUAD患者划分为高风险组和低风险组,并对其分子特征、免疫特征以及对化疗和靶向药物的反应进行深入分析。另外,研究者使用小干扰RNA(siRNA)敲低关键基因PSMD11,以评估其对PC9OR和H1975OR细胞的影响。通过体外实验(CCK-8、集落形成试验和流式细胞术)和体内实验(蛋白质印迹、免疫组织化学),验证了PSMD11与OSI耐药性之间的相关性。

研究结果

OSI耐药相关免疫预后预测模型的构建与验证

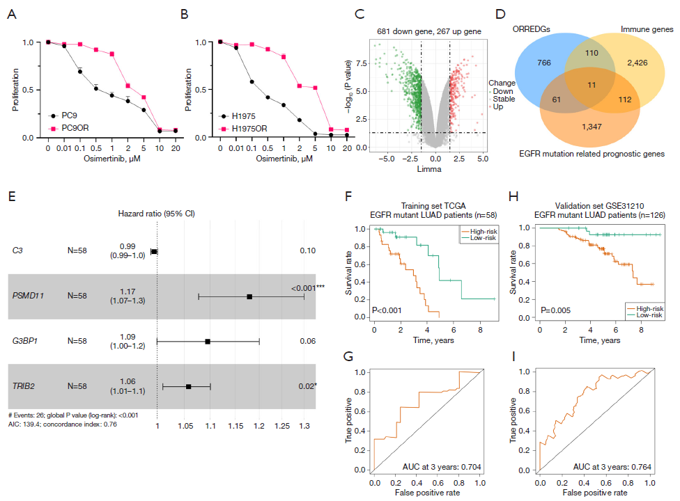
通过单因素Cox回归分析,在58例EGFR突变的LUAD患者中鉴定出1531个预后相关基因,将948个差异表达基因、1531个预后相关基因和来自ImmPort和InnateDB网站的2659个免疫基因进行交集分析,最终获得11个OSI耐药相关的免疫预后基因。基于此,研究者构建了一个以四个核心基因(C3、PSMD11、G3BP1和TRIB2)为基础的OSI耐药相关免疫预后预测模型。

基于四个核心基因表达水平,研究者构建了风险评分模型,并根据风险评分将EGFR突变LUAD患者分为高风险组和低风险组。与低风险组相比,高风险组的死亡人数更多,预后更差(P<0.001)。在包含126例EGFR突变LUAD样本的验证集GSE31210中验证了该模型的准确性。与低风险组相比,高风险组的预后显著更差(P=0.005)。结果表明,该基因特征是本训练队列中OSI耐药相关免疫预后的良好预测模型(图1)。

构建预测EGFR突变肺腺癌患者总生存期的列线图

为验证基于这四个基因特征构建的风险评分是否可作为独立的预后生物标志物,从对EGFR突变LUAD队列进行了Cox回归分析。单因素和多因素Cox回归分析结果均显示,风险评分(P<0.001;HR=1.198)与EGFR突变LUAD患者的总生存期(OS)显著相关,结果表明,风险评分是LUAD的独立预后指标。为实现更精确的OS预测,研究者基于上述独立预后因素构建了预后列线图。结果表明,与TNM分期相比,风险评分是更优的生存预测因子。

图1 OSI耐药相关免疫预后预测模型的构建与验证

高危组和低危组EGFR突变LUAD患者的分子、免疫特征和治疗反应

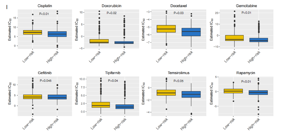
为评估风险评分的分子特征,研究者分析了高风险组和低风险组的基因突变谱,并展示了突变频率最高的前20个基因。最常见的突变类型是错义突变,其次是无义突变。其中,TP53、TTN和MUC16在两组中的突变率均超过20%。研究发现,高风险组中活化自然杀伤(NK)细胞和M0/M1巨噬细胞的比例较高,而低风险组中静息CD4记忆T细胞、静息树突状细胞和静息肥大细胞的比例较高。随后,我们使用TIDE评估了高、低风险组的T细胞功能障碍评分,并预测了其对ICIs的治疗反应。TIDE评分越高,患者免疫逃逸的可能性越大。结果显示,与低危组相比,高危组的TIDE评分反而较低。研究还发现,高危组的肿瘤突变负荷(TMB)以及免疫检查点分子IDO1、LAG3和PD-L1的表达水平均显著高于低危组(P<0.05)。这些发现一致表明,高危组LUAD患者更有可能从免疫治疗中获益(图2)。

图2高风险组与低风险组的分子特征、免疫微环境及治疗反应

敲低PSMD11可抑制细胞增殖,提高耐药细胞对OSI的敏感性

基于森林图中PSMD11(P<0.001;HR=1.17)和G3BP1(P=0.06;HR=1.09)的表现,研究者选择对PSMD11进行后续分析。结果显示,PSMD11的表达与临床分期呈正相关,表明PSMD11的高表达可以促进LUAD进展。

研究者在PC9OR和H1975OR细胞中敲低了PSMD11,并筛选出PSMD11-siRNA2和PSMD11-siRNA3用于后续实验。相关结果表明,敲低PSMD11可以抑制OSI耐药细胞的增殖并促进其凋亡。此外,研究还显示,在PC9OR和H1975OR细胞中敲低PSMD11显著降低了OSI的IC50值。结果共同提示,敲低PSMD11显著提高耐药细胞对OSI的敏感性,并逆转耐药性。

图3 敲低PSMD11对OSI耐药细胞增殖、凋亡及药物敏感性的影响

PSMD11通过激活NF-κB/IL-6/STAT3信号通路促进OSI耐药性LUAD细胞的增殖

后续实验结果显示,OSI耐药LUAD细胞中NF-κB的上调可增加IL-6的表达,从而促进细胞增殖并抑制细胞凋亡。此外,研究者分别敲低PC9OR和H1975OR细胞中的PSMD11和NF-κB。与NC-siRNA组相比,NF-κB-siRNA组中NF-κB、pNF-κB和pSTAT3的表达显著降低;与NC-siRNA2组相比,PSMD11-siRNA2组中pNF-κB和pSTAT3的表达显著降低。结果表明,敲低PSMD11可通过抑制NF-κB/IL-6/STAT3信号通路的激活来阻碍OSI耐药性LUAD细胞的增殖。

结论

本研究构建了一个基于四个OSI耐药相关基因的免疫预后模型,该模型能够准确预测EGFR突变LUAD患者的预后。与TIME评分的相关性表明,该模型在预测免疫治疗疗效方面具有良好的应用价值。同时还能预测EGFR突变LUAD患者对常规化疗和靶向药物的反应性。

参考文献

Bai Y, Xu H, Bao P, et al. Osimertinib resistance-based immune prognostic related gene signature in EGFR mutant lung adenocarcinoma, in which PSMD11 promotes tumor progression. Transl Lung Cancer Res. 2025 Sep 30;14(9):3720-3739. doi: 10.21037/tlcr-2025-355. Epub 2025 Sep 28.

审批编号:CN-172755

过期日期:2026-03-24

声明:本材料由阿斯利康提供支持,仅供医疗卫生专业人士参考

责任编辑:肿瘤资讯-Yuno
排版编辑:肿瘤资讯-Sally
版权声明
版权归肿瘤资讯所有。欢迎个人转发分享,其他任何媒体、网站如需转载或引用本网版权所有内容,须获得授权,且在醒目位置处注明“转自:良医汇-肿瘤医生APP”。