您好,欢迎您

【阔然开朗】J Immunother Cancer. 揭示新辅助化疗对胃癌免疫微环境重塑作用

2022年05月10日

来源:肿瘤资讯

胃癌是全球范围内一种常见的恶性肿瘤,发病率位于第五,致死率位于第三,每年近一半的新增病例和死亡病例发生在中国。目前,手术或内窥镜切除是胃癌治疗的必要手段,化疗则是主要的治疗方式[1]。相较于术后的辅助化疗,术前的新辅助化疗(NAC)能够显著延长胃癌患者生存期,但内在的分子机理尚不明确[2]。研究表明,肿瘤相关免疫细胞 (TAICs) 浸润在乳腺癌、非小细胞肺癌 (NSCLC) 等肿瘤的NAC反应中发挥着重要作用[3-4],但免疫细胞亚群对化疗反应的预后影响尚未在胃癌(GC)中得到阐明,值得深入研究。

近期,国际著名期刊《Journal of ImmunoTherapy of Cancer》报道了一项重要研究成果,揭示了新辅助化疗对胃癌免疫微环境重塑作用[5]。研究者通过多重荧光免疫组化(mIHC)和T细胞受体(TCR)测序等技术分析TAICs的浸润情况,发现新辅助化疗能够重塑胃癌患者的肿瘤免疫微环境(TME),降低肿瘤浸润的CD68+ TAMs和调节性T细胞,增加CD8+ T细胞,同时显著增加TCR多样性[5]

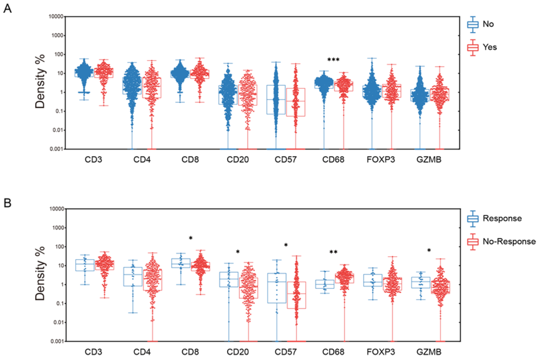
(A)NAC组和非NAC组的免疫细胞浸润图谱;

(B)对NAC有反应组和无反应组的免疫细胞浸润图谱。

该研究首先入组1416名接受了胃切除术治疗胃部或食管-胃交界处的胃腺癌患者,根据术前是否经过化疗将研究人群分为NAC组(341例)和非NAC组(1075例),利用免疫组化技术(IHC)分析GC组织样本中的TAICs。研究发现:在NAC组中,肿瘤浸润的CD68+ TAMs明显少于非NAC组,而其他免疫细胞没有观察到显著差异。

为了明确TAICs的浸润情况对NAC组患者的预后影响,根据NAC组患者对化疗的反应将其分为有反应组和无反应组,研究发现:有反应组患者具有更高的CD8+ T细胞、GZMB+ T细胞、CD20+ B细胞和CD57+ NK细胞的浸润,无反应组中则浸润更多的CD68+ TAMs;CD8+ T细胞是生存期的一个独立预后因素。

NAC治疗前后配对样本的免疫细胞浸润图谱

为了进一步分析NAC对TME的影响,该研究重新入组30例II/III期GC患者,并获得NAC治疗前后的配对样本(包括15例反应病例和15例无反应病例),通过多重荧光免疫组化技术标记CD3、CD4、CD8、FOXP3和PD-L1等蛋白,表征NAC治疗前后TME的差异。研究发现:NAC治疗后,Foxp3+ T 细胞比例在肿瘤上皮区和基质区中均显著降低,并且表达PD-L1的 Treg 细胞的浸润也显著减少;CD8+T细胞在NAC治疗后则显著增多。TCRβ链上的CDR3可变区的高通量测序证明:NAC治疗促进T细胞的克隆扩增,增加了T细胞种类的多样性,还显著提高肿瘤突变负荷(TMB)。通过研究不同化疗方案对TME的影响,发现相较于SOX化疗方案,XELOX化疗方案能够显著提高GC患者TCR库的多样性。

不同化疗方案的分析

综上所述,NAC能够降低GC患者TME中Foxp3+ 调节性T细胞量、增加杀伤性CD8+ T细胞量,丰富TCR多样性,调节免疫细胞亚型的平衡,从而重塑胃癌TME并改善部分患者的预后。该研究主要集中在T细胞[5],通过阔然基因的肿瘤免疫微环境分析产品,还可扩大对肿瘤细胞、树突状细胞、巨噬细胞和其他骨髓源性细胞的检测,有助于深入研究NAC对GC患者TME的重塑作用。


参考文献

1.Smyth EC, Nilsson M, Grabsch HI, van Grieken NC, Lordick F. Gastric cancer. Lancet. 2020;396(10251):635-648.

2.Joshi SS, Badgwell BD. Current treatment and recent progress in gastric cancer. CA Cancer J Clin. 2021;71(3):264-279.

3.Gaudreau P-O, Negrao MV, Mitchell KG, et al. . Neoadjuvant chemotherapy increases cytotoxic T cell, tissue resident memory T cell, and B cell infiltration in resectable NSCLC. J Thorac Oncol 2021;16:127–39.

4.Hamy A-S, Pierga J-Y, Sabaila A, et al. . Stromal lymphocyte infiltration after neoadjuvant chemotherapy is associated with aggressive residual disease and lower disease-free survival in HER2-positive breast cancer. Ann Oncol 2017;28:2233–40.

5.Xing X, Shi J, Jia Y, et al. Effect of neoadjuvant chemotherapy on the immune microenvironment in gastric cancer as determined by multiplex immunofluorescence and T cell receptor repertoire analysis. J Immunother Cancer. 2022;10(3):e003984.



责任编辑:肿瘤资讯-Mikey


相关阅读
评论
2022年05月10日
谭兴超
岳池县人民医院 | 肿瘤科
胃癌是临床常见的恶性肿瘤。