边缘区淋巴瘤(MZL)是一种常见的惰性非霍奇金淋巴瘤。MZL的治疗长期缺乏统一标准,手术、放疗、化疗等传统治疗方案对部分患者疗效有限。随着,近年来对MZL探索的深入,研究者发现B细胞受体(BCR)信号通路在MZL发病机制中的关键调控作用,而布鲁顿酪氨酸激酶(BTK)正是介导BCR信号通路异常激活、推动MZL病理进程的核心分子。因此,BTK成为MZL治疗中具有潜力的治疗靶点[1]。泽布替尼作为新一代BTK抑制剂,已在复发/难治性(R/R)MZL中展现出良好的疗效和安全性[2]。
MAGNOLIA研究评估了泽布替尼在R/R MZL中的疗效和安全性。近期,该研究的最终分析结果在Blood Advances杂志上公布[3]。【肿瘤资讯】特邀青岛大学附属医院薛宏伟教授,对该项研究结果进行深入解析与点评,详情如下。

两年PFS率超70%:泽布替尼彰显治疗优势,助力R/R MZL患者持久缓解
MAGNOLIA研究是一项开放标签、单臂、多中心II期临床试验(NCT03846427),纳入年龄≥18岁、既往接受过≥1线含抗CD20方案的治疗、CT或MRI显示可测量病灶(淋巴结长径>1.5cm或结外型病灶长径>1.0cm)、经研究者评估需系统治疗、ECOG评分为0~2分、骨髓及脏器功能良好的R/R MZL患者。研究的排除标准包括既往接受过BTK抑制剂治疗、正在接受强效CYP3A抑制剂/诱导剂治疗、中枢神经系统(CNS)受累、已明确转化为侵袭性淋巴瘤、合并有临床意义的心血管疾病、存在活动性感染的患者。
所有入组患者均持续接受泽布替尼(160 mg,每日2次)口服治疗,直至患者出现疾病进展或无法耐受的毒性反应。
该研究的主要终点为独立评审委员会(IRC)评估的客观缓解率(ORR)。次要终点包括研究者评估的ORR、缓解持续时间(DOR)、无进展生存期(PFS)及总生存期(OS)。
MAGNOLIA研究共纳入68例R/R MZL患者,其中结外型与结内型MZL患者均为26例(各占38.2%),脾型MZL患者为12例(17.6%)。另外,研究中有4例(5.9%)患者无法明确亚型。
入组患者的中位年龄为70岁(四分位距[IQR]:59.5~77.0),既往接受治疗线数的中位数为2(IQR:1.0~3.0);61例(89.7%)患者存在FDG高摄取病灶,59例(86.8%)患者为III/IV期,53例(77.9%)患者存在结外受累;22例(32.4%)患者对末次治疗耐药;61例(89.7%)患者既往接受过化学免疫治疗,7例(10.3%)患者仅接受过利妥昔单抗单药治疗。
研究的中位随访时间为28.0个月(IQR:24.9~30.5),中位治疗持续时间为24.2个月(IQR:7.2~29.3),中位治疗周期数为26.3个(IQR:7.8~31.9)。
疗效方面,IRC评估的ORR为68.2%(95% CI:55.6~79.1;P<0.001),完全缓解(CR)率为25.8%,部分缓解(PR)率为42.4%(表1)。中位至首次缓解的时间为2.8个月,中位至CR时间为2.9个月(IQR:2.8~5.5)。

中位随访27.4个月(IQR:16.5~未达到)时,研究的中位PFS未达到;中位随访23.4个月(IQR:23.8~未达到)时,中位DOR未达到。研究中估计的24个月PFS率为70.9%(95% CI:57.2~81.0),24个月DOR率为72.9%(95% CI:54.4~84.9)(图1)。

达到与未达到CR的患者中,分别有76.5%(13/17)和40.8%(20/49)的患者在24个月时仍处于无进展的缓解状态,其24个月PFS率分别为87.4%和64.7%。研究中估计的24个月OS率为85.9%(95% CI:74.7~92.4)(图2)。

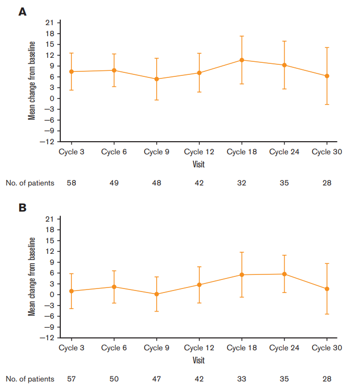
EORTC QLQ-C30与EQ-5D-5L的评分结果显示,入组患者的整体健康相关生活质量(HRQoL)自治疗第3周期起较基线有所改善,并在整个研究期间基本维持(图3)。

安全性方面,所有入组患者均报告至少1起任何级别治疗期间出现的不良事件(TEAE)。研究中发生率≥10%的最常见TEAE包括瘀伤(23.5%)、腹泻(22.1%)及便秘(17.6%);33例(48.5%)患者发生≥3级TEAE,其中发生率≥5%的≥3级TEAE为中性粒细胞减少症/中性粒细胞计数降低(11.8%)及COVID-19(5.9%)。
此外,研究中无患者因血细胞减少症、心律失常或出血事件停用泽布替尼,也未报告肿瘤溶解综合征(TLS)或发热性中性粒细胞减少。
综上所述,MAGNOLIA研究最终分析结果显示,泽布替尼在R/R MZL患者中可实现持久的疾病控制,且安全性特征良好。与初步研究结果相比,在延长治疗持续时间与随访时间后,未观察到新增迟发性毒性反应,也未发现新的安全性信号。
[1] Pal Singh S, Dammeijer F, Hendriks RW. Role of Bruton’s tyrosine kinase in B cells and malignancies. Mol Cancer. 2018;17(1):57.
[2] Opat S, Tedeschi A, Linton K, et al. The MAGNOLIA Trial: Zanubrutinib, a Next-Generation Bruton Tyrosine Kinase Inhibitor, Demonstrates Safety and Efficacy in Relapsed/Refractory Marginal Zone Lymphoma. Clin Cancer Res. 2021 Dec 1;27(23):6323-6332.
[3] Opat S, Tedeschi A, Hu B, et al. Safety and efficacy of zanubrutinib in relapsed/refractory marginal zone lymphoma: final analysis of the MAGNOLIA study. Blood Adv. 2023 Nov 28;7(22):6801-6811.
排版编辑:肿瘤资讯-Sally






苏公网安备32059002004080号