尽管近年来肺癌的系统治疗在提升患者生存期方面取得了显著进步,但小细胞肺癌(SCLC)仍面临预后差、易复发及治疗选择有限等诸多未满足的临床需求。2025年世界肺癌大会(WCLC)于9月6日至9日在西班牙巴塞罗那召开。我国创新药企君实生物研发的的抗BTLA单抗Tifcemalimab+抗PD-1双免联合疗法用于广泛期小细胞肺癌 (ES-SCLC)一线治疗的最新临床证据入选大会口头报告,引发全球关注。在此背景下,【肿瘤资讯】特邀上海交通大学医学院附属胸科医院陆舜教授与李子明教授,深入解读SCLC领域治疗痛点、该研究的临床价值与未来方向。


横观“双免”助力ES-SCLC一线获益
纵览肺癌领域多点布局
李子明教授
上海交通大学医学院附属胸科医院
SCLC是一种高度恶性肿瘤,约占肺癌的13-15%,尽管其对初始放化疗敏感,但多数患者仍会快速复发且后续治疗选择有限,预后极差,广泛期患者5 年生存率仅1%-2%。虽然免疫检查点抑制剂改善了部分患者的生存获益,但整体疗效仍不足,亟需新的治疗策略1-3。BTLA是调节免疫应答刺激和抑制信号的关键检查点之一,主要在活化的T、B淋巴细胞等免疫细胞上表达,其与肿瘤细胞上高表达的配体HVEM结合后抑制淋巴细胞功能,促进免疫逃逸,与不良预后相关。阻断BTLA信号有望逆转免疫抑制,临床前研究还显示该通路策略与PD-1抑制剂联用具有协同抗肿瘤作用4。我国君实生物自主研发的全球首个进入临床开发阶段的抗BTLA单抗Tifcemalimab,临床前研究表明其可有效阻断BTLA-HVEM通路,并与特瑞普利单抗协同增强抗肿瘤免疫应答4,2025年WCLC大会发布的Ib/II期临床数据进一步支持了其治疗潜力5。

中国创新疗法新高度:一线ES-SCLC“王炸”组合疗效与安全性双优5
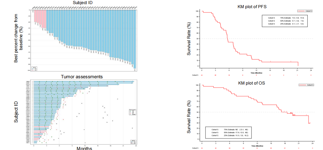
2025 WCLC大会上,Ib/II期临床研究(NCT05664971)作为口头报告亮相,该报告旨在评估Tifcemalimab联合特瑞普利单抗及化疗一线治疗ES-SCLC的安全性及疗效。研究共分为5个队列,其中队列5纳入既往未接受过系统性抗肿瘤治疗的ES-SCLC患者,接受Tifcemalimab(200 mg,IV,Q3W)联合特瑞普利单抗(240 mg,IV,Q3W)及化疗(依托泊苷100 mg/m²+卡铂AUC 5 或顺铂75 mg/m²,Q3W)治疗4周期,之后继续接受Tifcemalimab联合特瑞普利单抗维持治疗,直至疾病进展、出现不可耐受毒性或完成2年Tifcemalimab联合特瑞普利单抗治疗。研究主要终点为安全性和研究者根据RECIST v1.1标准评估的客观缓解率(ORR),次要终点包括疾病控制率(DCR)、缓解持续时间(DoR)、无进展生存期(PFS)和OS。

研究结果显示,在43例疗效可评估患者中,观察到37例部分缓解(PR,86.0%)和6例疾病稳定(SD,14.0%),ORR高达86%,DCR高达100%。中位 DoR为5.5个月,中位PFS为5.7个月,中位OS达17.9个月(95% CI: 13.0-NE)。

安全性方面,治疗期间未发现新的安全性信号,大多数AE为临床常见类型,程度可控。未出现治疗相关死亡事件。此次大会公布的结果表明,Tifcemalimab联合特瑞普利单抗及化疗一线治疗ES-SCLC具有令人鼓舞的疗效与良好的安全性。
相较于2024年ASCO年会首次公布的初步数据,此次大会公布的更新数据其更长的中位随访时间(15.28个月 vs. 4.2个月)提供了更成熟的生存获益证据,进一步验证了方案持久的疗效与可控的安全性。中位DoR从4.3个月延长至5.5个月,这提示联合疗法能够带来更持久的疾病控制。此次更新数据有力地支持了“BTLA+PD-1”双免联合化疗这一策略的应用前景,标志着中国创新药在ES-SCLC领域取得了令人瞩目的进展5,7。
拓展SCLC治疗希望:“王炸”组合实现广泛期与局限期全覆盖
值得肯定的是,Tifcemalimab联合特瑞普利单抗策略不仅在ES-SCLC一线治疗中表现出色,其在后线治疗中的应用同样显示出重要的临床价值。在ES-SCLC后线治疗方面,一项I/II期研究(NCT05000684)对该联合方案进行了系统评估。研究共纳入43例难治性ES-SCLC患者,其中34.9%既往接受过免疫治疗,44.2%接受过至少2线系统治疗。在疗效可评估的40例患者中,ORR达27.5%,DCR为55.0%。其中,20例免疫初治患者的ORR达40.0%,DCR达70.0%。中位DoR为6.9个月,且15.0%(3例)患者的缓解持续时间超过6个月。中位PFS为5.5个月8。
此外,Tifcemalimab在局限期小细胞肺癌(LS-SCLC)领域的应用也已展开了重要探索。全球多中心、随机、双盲、安慰剂对照的Ⅲ期JUSTAR-001研究(NCT06095583)正在积极进行中,旨在评估特瑞普利单抗±Tifcemalimab作为放化疗后未进展LS-SCLC患者巩固治疗的疗效与安全性。该研究由山东第一医科大学附属肿瘤医院于金明教授担任全球主要研究者,并已成功于中国、美国及欧洲完成首例受试者入组(FPI)及首次给药,目前进展顺利。其研究结果将有望为LS-SCLC巩固治疗的临床决策提供关键循证依据。
专家点评
“王炸组合”为SCLC治疗带来新曙光,引领肺癌治疗新方向
陆舜教授
上海交通大学医学院附属胸科医院
本次WCLC大会上发布的“BTLA+PD-1”双免联合治疗方案,代表了中国原研免疫治疗在ES-SCLC领域的又一重大突破。该方案不仅展现出卓越的临床潜力,更在全球肿瘤治疗舞台上彰显了中国创新的高度与速度,为破解SCLC治疗困境提供了全新的方向。双靶点免疫组合的成功,标志着肺癌治疗正式迈入“协同免疫调控”新阶段。其背后所体现的是从“单一通路抑制”走向“多维协同”的理念升级,深刻契合了肿瘤免疫微环境的复杂调控本质。而由该方案延伸至LS-SCLC的国际多中心Ⅲ期研究JUSTAR-001,更是中国方案走向全球临床实践的关键一步。
值得一提的是,特瑞普利单抗作为联合方案的重要组成部分,其肺癌领域临床获益已从前线治疗延伸到围手术期更早阶段。如今,双免联合系列进展不仅展现了我国在肺癌免疫治疗领域探索的领先实力,更预示着未来将有更多患者从高效、安全的“中国方案”中受益。中国智慧正持续为全球肿瘤治疗格局注入新动能,实现从“跟跑”到“并跑”乃至“领跑”的转型。以特瑞普利单抗和Tifcemalimab为代表的“中国方案”正持续积累高级别临床证据,有望为全球肿瘤治疗贡献更多中国力量。
专家简介
上海交通大学医学院附属胸科医院终身教授
上海市肺部肿瘤临床医学中心主任
博士生导师,二级教授
国家卫生健康突出贡献中青年专家
上海市领军人才
上海市优秀学术带头人
享受国务院特殊津贴
第四届国之名医(卓越建树)
2024科睿唯安“全球高被引科学家名单”
2024年美国斯坦福大学和爱思唯尔数据库全球前2%顶尖科学家
中国抗癌协会非小细胞肺癌,小细胞肺癌专业委员会名誉主委
中国临床肿瘤学会(CSCO)常务理事 ,希斯科基金会副理事长
中国抗癌协会免疫治疗专业委员会主任委员
DIA中国区顾问委员会前任主席
美国临床肿瘤协会(ASCO)亚洲事务委员
中华医学会肿瘤学会常委,肺癌专家委员会主任委员
日本临床肿瘤协会(JSMO)国际事务委员
国际肺癌研究会官方杂志Journal of Thoracic Oncology,Lung Cancer副主编
第一负责人主持科技部国家慢病重点专项,国际合作课题;国家新药创新重大专项,863重大课题子课题2项;国家自然基金重点项目和面上项目
第一负责人获上海市科技进步一等奖。中国抗癌协会科技奖一等奖;中华医学科技奖二等奖,华夏医学科技奖二等奖;上海市医学科技奖一等奖; 2021获上海交通大学校长奖; “药明康德生命化学研究奖”,2024获“DIA全球卓越奖”,仁心医者上海市杰出专科医师奖
上海交通大学医学院附属胸科医院肿瘤科主任
主任医师、肿瘤学博士、上海交通大学博士生导师
中华医学会肿瘤学分会青委委员
中国临床肿瘤学会 (CSCO) 青委委员
中国抗癌协会肺癌专业委员会委员兼内科学组秘书
美国纽约叶史瓦大学爱因斯坦医学院访问学者(2014.8-2015.9)
获得:上海市青年拔尖人才、上海市优秀学术带头人
上海市浦江人才、上海市人才发展基金
主要研究方向为肺癌多学科综合治疗的基础与临床研究,擅长肺癌微创肿瘤消融术
1. 中国临床肿瘤学会小细胞肺癌专家委员会,中国医师协会肿瘤多学科诊疗专业委员会.小细胞肺癌免疫治疗专家共识(2025版)[J].中华肿瘤杂志, 2025, 47(01):65-75.
2. ZOU X T, HUANG J, SUN H, et al. Advances in immuno-based and targeted therapies in extensive-stage small cell lung cancer[J]. Ther Adv Med Oncol, 2025,17:17588359251359057.
3. Choi J, Medikonda R, Saleh L, Kim T, Pant A, Srivastava S, Kim YH, Jackson C, Tong L, Routkevitch D, Jackson C, Mathios D, Zhao T, Cho H, Brem H, Lim M. Combination checkpoint therapy with anti-PD-1 and anti-BTLA results in a synergistic therapeutic effect against murine glioblastoma. Oncoimmunology. 2021 Aug 29;10(1):1956142.
4. Song Y, Ma J, Zhang H, Xie Y, Peng Z, Shuang Y, Li F, Li Y, Yang H, Zou L, Sun X, Zhao W, Huang W, Huang Y, Zhou H, Wang Y, Wang W, Xu J, Deng R, Meng Q, Zhu J. Tifcemalimab as monotherapy or in combination with toripalimab in patients with relapsed/refractory lymphoma: a Phase I trial. Nat Commun. 2025 May 16;16(1):4559.
5. Yongfeng Yu, et al.Tifcemalimab Plus Toripalimab and Chemotherapy as a First-Line Therapy in ES-SCLC: A Phase Ib/II Study.2025 WCLC.
6. Andrzejczak A, Karabon L. BTLA biology in cancer: from bench discoveries to clinical potentials. Biomark Res. 2024 Jan 17;12(1):8.
7. Tifcemalimab combined with toripalimab and chemotherapy as 1st line treatment for extensive-stage small cell lung cancer (ES-SCLC): A phase Ib/II, open-label study.2024 ASCO.8089.
8. Ying Cheng, et al. J Clin Oncol 41, 2023 (suppl 16; abstr 8579).
排版编辑:肿瘤资讯-yu








苏公网安备32059002004080号