晚期乳腺癌是一类难治性疾病,临床很难治愈,随着临床药物的开发,乳腺癌的诊疗水平已有很大水平的提升。但是随着肿瘤的进展和化疗的广泛使用,仍面临着如何延长生存时间、提高生活质量的问题。这一年来靶向治疗和免疫治疗在晚期乳腺癌领域取得了长足的进步,患者的预后将进一步改善,本文将简要回顾最近一年在晚期乳腺癌临床药物方面的重要进展。
国家癌症中心/中国医学科学院肿瘤医院内科副主任
国家肿瘤质控中心乳腺癌专委会副主委
中国药师协会肿瘤专科药师分会副主委
中国抗癌协会整合肿瘤心脏病分会副主委
中国抗癌协会多原发和不明原发肿瘤专委会副主委
中国抗癌协会肿瘤药物临床研究专委会秘书长
全国女性卵巢保护与抗衰促进工程专委会副主委
中国老年学和老年医学学会老年肿瘤分会总干事长
中国医促会乳腺癌青委会主任委员
中国抗癌协会乳腺癌青委会副主委
北京市肿瘤治疗质量控制和改进中心肿瘤化疗质控专委会主委
北京乳腺病防治学会健康管理专委会主委
Cardio-Oncology等中英文杂志编委
晚期激素受体阳性乳腺癌
CDK4/6抑制剂
CDK4/6抑制剂是近些年来晚期激素受体阳性乳腺癌重要的突破,Palbociclib、Ribociclib和Abemociclib三种药物,在一线和二线治疗均可显著改善PFS。随着随访时间的延长,各项研究OS结果逐渐披露。
MONALEESA-7研究[1]入组了绝经前/围绝经期的女性乳腺癌患者,既往未接受针对晚期的内分泌治疗或接受过≤1线化疗,1:1随机接受Ribociclib或安慰剂联合非甾体AI/他莫昔芬+戈舍瑞林,2017年SABCS大会上公布的主要研究终点显示Ribociclib组对比安慰剂组,PFS从13.0个月提高到23.8个月(HR 0.55, 95% CI 0.44–0.69; p<0.0001)。OS随访结果随后在2019年ASCO上公布[2],Ribociclib vs 安慰剂组:未达到 vs 40.9个月,HR 0.712,p = 0.00973,p值跨过了预设的边界值,具有显著性差异。
MONALEESA-3研究[3]探索氟维司群±Ribociclib二线内分泌治疗的研究,最初结果在2018年ASCO大会报告,研究入组726例患者2:1随机分组,结果显示对比安慰剂联合氟维司群,Ribociclib和氟维司群联合组的PFS从12.8个月提高到了20.5个月,HR值0.593,p=0.00000041,首次随访时OS的结果尚未成熟。在今年的ESMO大会上,随访39.4个月后OS结果达阳性结果,安慰剂组OS为40个月,Ribociclib组OS尚未达到,HR 0.724,p=0.00455,p值跨过了预设优效边界(p<0.01129)[4]。
早在2017年ASCO大会上,MONARCH-2研究[5]的结果就获得报告,该研究入组了669例患者,2:1随机接受Abemaciclib联合氟维司群或安慰剂联合氟维司群进行二线内分泌治疗,主要PFS结果显示Abemaciclib联合氟维司群对比氟维司群可以显著延长PFS(16.4个月 vs 9.3个月,HR 0.553,p<0.0000001)。今年ESMO大会上公布了OS的结果[6],Abemaciclib联合氟维司群的OS为46.7个月对比安慰剂组37.3个月,HR 0.757,p=0.0137,p值小于预设的优效边界0.0208,具有统计学差异。
多项临床研究结果的公布一致提示CDK4/6抑制剂在HR+MBC中的应用能够显著延长患者PFS和OS,无论是一线治疗联合内分泌还是二线治疗联合氟维司群。因此,今年的ABC5共识更新了对支持CDK4/6用于HR+HER2-阴性乳腺癌患者的描述。
CDK4/6抑制剂和化疗的比较一直在被讨论,Young-PEARL和CECOG研究两项研究在今年陆续被披露。
Young-PEARL(KCSG BR 1510)研究[7]是一项前瞻性多中心开放性II期研究,在今年ASCO报告,其入组了184例接受过他莫昔芬治疗的绝经前患者HR+MBC(允许接受过1线化疗),1:1随机接受Palbocilicb、依西美坦和亮丙瑞林联合方案(Palbocilib+EXE组)或者接受卡培他滨单药治疗(X组),主要终点是研究者评估的PFS。22%患者接受过1线化疗、48%患者接受1-2线解救治疗,86%患者对他莫昔芬耐药。中位随访17个月结果显示研究者评估的PFS:Palbocilib+EXE组为20.1个月vs 卡培他滨组14.4个月,HR 0.469,p=0.0469。客观缓解率Palbocilib+EXE组37% vs 卡培他滨组35%。
第二项GEICAM/2013-02研究[8]在今年SABCS大会上报告了结果,该研究入组了300例HR+HER2阴性AI治疗复发的患者,一线化疗可以入组,1:1随机接受氟维司群联合Palbocilib治疗(FUL+PAL)或者卡培他滨单药治疗(X),主要终点是PFS。中位随访13.47个月,FUL+PAL组的PFS是7.5个月对比卡培他滨组10.0个月,HR 1.09,p=0.537。亚组分析显示对内分泌治疗不敏感的亚组卡培他滨治疗的获益更优(HR 1.79,趋向卡培他滨亚组)。客观缓解率,FUL+PAL组27% vs 卡培他滨组33%。
虽然CDK4/6抑制剂联合内分泌治疗在HR+HER2-MBC已经取得很大进步,但是对于一部分内分泌治疗不敏感的患者,化疗仍有一席之地,如何进一步明确CDK4/6抑制剂的敏感人群和生物标识物是未来需要进一步去探索的方向。
PI3Kα抑制剂
PI3K通路的激活是肿瘤恶化和耐药的一条重要机制,对于该通路激活突变的抑制剂在临床不断被探索[9]。
SOLAR-1研究[10]是第一个取得突破性进展的临床研究,2018年ESMO大会上首次报告。该研究分为2个队列,分别是PIK3CA突变队列(n=341)和PIK3CA非突变队列(n=231),每个队列各两组分别接受Alpelisib联合氟维司群对比安慰剂联合氟维司群的治疗,入组既往AI治疗进展的患者,主要终点是PIK3CA突变患者的PFS。主要终点显示AI治疗耐药的PIK3CA突变患者接受Alpelisib联合氟维司群对比安慰剂联合氟维司群能够显著延长PFS(11.0个月vs 5.7个月,HR 0.65,p<0.001),而PIK3CA无突变患者的PFS无显著获益。随后2019年5月FDA批准了Alpelisib联合氟维司群二线用于PIK3CA突变的HR+HER2-晚期乳腺癌患者。2019年ASCO公布的亚组分析结果显示,Alpelisib联合氟维司群在原发性和继发性内分泌耐药(endocrine therapy resistant,ETR)患者中均能改善患者中位PFS。对于ETR患者,Alpelisib组与安慰机组一线治疗(n=138)的中位PFS分别为9.0个月和4.7个月,二线治疗(n=161)的中位PFS分别为10.9和3.7个月。但是,针对Alpelisib还有很多疑问需要解答,比如临床治疗的顺序、联合的方案等。
表观遗传抑制剂
西达本胺联合依西美坦的III期ACE临床研究[11]在2018年的EMSO进行了口头报告,该研究入组了365例内分泌治疗失败的患者2:1随机接受西达本胺联合依西美坦或者安慰剂联合依西美坦治疗,主要终点是PFS。结果显示西达本胺组对比安慰剂组PFS获得显著延长(7.4个月 vs 3.8个月,HR 0.755,p<0.0336)。西达本胺组的血液学毒性明显增加。今年11月,西达本胺在中国获批联合芳香化酶抑制剂二线用于HR+HER2-绝经后MBC患者。
目前,CDK4/6抑制剂联合内分泌治疗可以作为HR+HER2-乳腺癌一线/二线治疗的优选方案;对于部分对于内分泌治疗耐药或肿瘤快速进展的患者,化疗仍然是可选方案;对于内分泌耐药的患者,可以通过基因检测筛选出PIK3CA突变的患者,可接受内分泌联合Alpelisib的治疗;考虑到可及性可采用内分泌联合西达本胺的治疗手段。
晚期HER2阳性乳腺癌
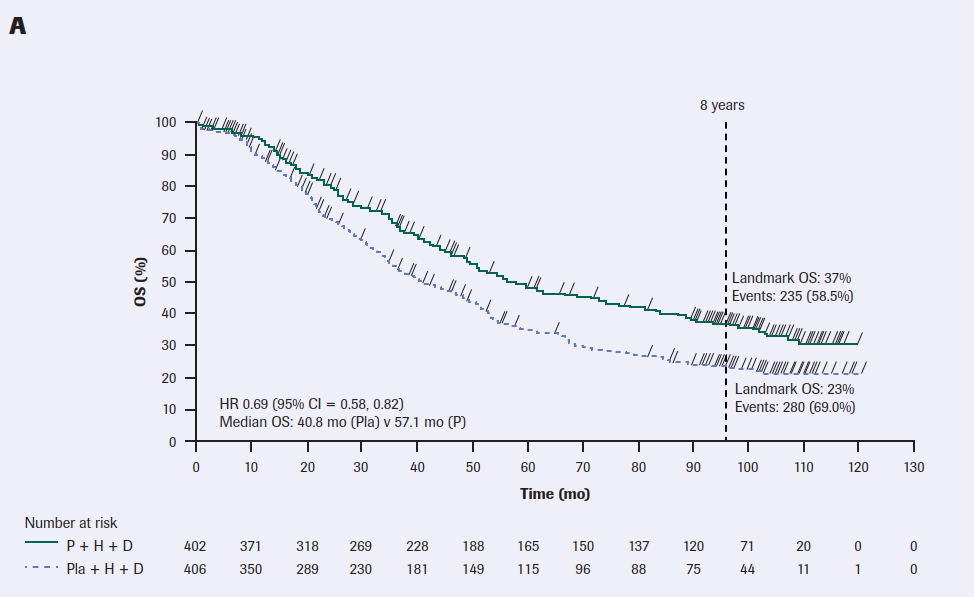
CLEOPATRA是一项改变晚期乳腺癌治疗历史的临床研究,其结果显示在曲妥珠单抗联合化疗基础上联合帕妥珠单抗一线治疗能够显著延长患者PFS和OS。在今年ASCO大会上公布了其长期随访的结果[12],显示帕妥珠单抗单抗组中位生存达到57.1个月,8年生存率为37%。再次证明双靶向治疗能够为患者带来长期生存的可能。同样是在ASCO大会上,中国人群双靶向治疗PUFFIN研究[13]也报告了结果,显示帕妥珠单抗在中国人群的获益与全球人群一致,能够降低31%的疾病进展和死亡风险。在今年12月帕妥珠单抗正式获批中国晚期HER2阳性乳腺癌一线治疗适应症。

新的抗HER2抗体药物
Margetuximab是一个新的抗HER2抗体药物,对曲妥珠单抗的FC段通过基因工程修饰,具有更强的免疫效能。SOPHIA研究[14]是一项III期随机研究,入组了536例既往接受过≥2次既往接受过抗HER2治疗的患者,1:1随机接受Margetuximab联合化疗对比曲妥珠单抗联合化疗(化疗方案由医生选择,包括卡培他滨、艾日布林、吉西他滨或长春瑞滨)。主要终点是为PFS和OS。入组的患者全部接受过帕妥珠单抗+曲妥珠单抗的治疗,91%的患者接受过T-DM1。在ASCO上公布的PFS结果显示Margetuximab相对曲妥珠单抗能够显著延长PFS(5.8个月vs 4.9个月,HR 0.76,p=0.033),OS的结果成熟度为41%(18.9个月 vs 17.2个月,HR 0.95,p=0.758)。在今年的SABCS上公布其第二次分期结果[15],OS成熟度为70%,21.6个月 vs 19.8个月,HR 0.89,p=0.326,仍需要更长的随访时间。

小分子抗HER2-TKI
NALA研究是一项III期国际多中心研究[16],入组了621例既往≥2线治疗的HER2阳性MBC患者,1:1随机接受奈拉替尼联合卡培他滨和洛哌丁胺(用于止泻)或拉帕替尼联合卡培他滨治疗。研究终点是PFS和OS。入组的患者中约38%仅接受过曲妥珠单抗治疗,约35%接受过帕妥珠单抗+曲妥珠单抗和T-DM1的治疗。首次在今年ASCO上公布的结果显示奈拉替尼对比拉帕替尼能够显著延长PFS(HR 0.76,p=0.0059),预先设定的限制均值分析,PFS分别为8.8个月vs 6.6个月,p=0.0003,OS结果24.0个月 vs 22.2个月,HR 0.88,p=0.2086,尚未达到统计学差异。
PHENIX研究[17]是在中国开展的一项多中心III期研究,入组了350例既往接受过曲妥珠单抗治疗的患者,2:1随机接受吡咯替尼联合卡培他滨或安慰剂联合卡培他滨的治疗,要求患者治疗线数≤2线。在2019年ASCO大会上公布的PFS主要终点数据显示吡咯替尼相对于安慰剂可以显著延长患者PFS(11.1 vs 4.1个月,HR 0.18,p<0.001)。
HER2Climb研究是一项国际多中心III期研究[18],入组410例既往接受过帕妥珠单抗、曲妥珠单抗和T-DM1治疗的患者,纳入了部分进展期脑转移患者,2:1随机接受Tucatinib或安慰剂联合曲妥珠单抗和卡培他滨,主要终点PFS。入组的患者中约47%的患者存在脑转移。今年SABCS上公布的主要研究终点显示:相对于安慰剂组,Tucatinib联合曲妥珠单抗和卡培他滨能够显著延长PFS,从5.6个月延长到7.8个月,HR 0.54,p<0.00001;OS获得显著延长从17.4个个月延长到21.9个月,HR 0.66,p=0.00480(优效性边界p=0.0074)。脑转移患者的PFS也获得显著延长(7.6个月 vs 5.4个月,HR 0.48,p<0.00001)

DS-8201是一款新型ADC药物,在曲妥珠单抗上联合拓扑异构酶I抑制剂作为负荷,具有旁观者效应,因此对HER2低表达的肿瘤也具有一定疗效。DESTINY-Breast01研究是一项II期研究[19],探索Trastuzumab Deruxtecan(DS-8201)用于既往T-DM1经治患者的安全性和疗效。入组了184例HER2阳性晚期乳腺癌患者,中位接受治疗的线数为6线(2-27线),均接受过曲妥珠单抗和T-DM1治疗,65.8%的患者接受过帕妥珠单抗治疗。结果提示112例(60.9%)患者达到客观缓解,中位PFS为16.4个月,中位OS尚未达到。但间质性肺部疾病是重要的潜在风险,致死性(5级)间质性肺疾病的发生率为2.2%,未来将有更多III期研究来进一步验证DS-8201的疗效并探索其安全性管理的方法。



新的抗HER2联合模式
免疫联合靶向治疗是近年来的热点。今年ESMO上II期KATE2研究更新了其最新的随访结果。在既往接受过曲妥珠单抗治疗的患者中,二线应用T-DM1+Atezolizumab与T-DM1进行比较[20]。结果显示T-DM1+Atezolizumab治疗在PD-L1阳性亚组,OS有获益趋势(HR=0.60,95% CI: 0.32–1.11)。T-DM1+Atezolizumab组和与T-DM1组的中位OS分别为8.5个月 vs 4.1个月,以上结果仍需在III期研究中验证。
今年ESMO上公布的II期MONARCHER研究 [21]探讨了CDK4/6抑制剂+内分泌治疗+抗HER2治疗的效果,利用CDK4/6抑制剂+曲妥珠单抗+氟维司群用于曲妥珠单抗治疗失败的乳腺癌患者进行治疗,与曲妥珠单抗+化疗相比,患者PFS可显著获益。CDK4/6抑制剂联合抗HER2治疗值得进一步探索。
目前,帕妥珠单抗联合曲妥珠单抗和化疗仍是是世界范围内公认标准一线治疗,T-DM1是当前标准的二线方案;令人惊喜的是后线可选药物的大量丰富,后线可选的治疗策略包括吡咯替尼联合卡培他滨,拉帕替尼联合卡培他滨;Tucatinib和DS8201具有良好的临床疗效,期待在中国的上市;奈拉替尼和Margetuximab仍需进一步的随访提供生存获益;抗HER2联合免疫和CDK4/6抑制剂仍需III期研究的验证。
晚期三阴性乳腺癌
TNBC是难治性乳腺癌,没有明确的靶点且预后较差。而免疫治疗为这部分患者带来了治疗的希望。
IMpassion 130研究首次验证了免疫治疗在三阴性乳腺癌的疗效,其入组了902例三阴性晚期乳腺癌患者,1:1随机接受阿替利珠单抗或安慰剂联合白蛋白紫杉醇治疗,PD-L1状态(SP142抗体检测)是关键的分层因素之一,主要终点是ITT人群和PD-L1+人群的PFS和OS。在2018年ESMO上公布[22]的结果显示在ITT人群和PD-L1+人群,阿替利珠单抗组对比安慰剂组能显著延长患者的PFS(7.2个月vs 5.5个月, HR=0.8,P=0.0025),PD-L1+患者的亚组更加显著(7.5个月 vs 5.0个月,HR = 0.62,P<0.0001)。而首次随访公布的OS结果显示PD-L1+人群的OS从15.5个月增加到25.0个月,具有临床意义的获益。因此随后FDA加速审批了阿替利珠单抗联合白蛋白紫杉醇用于PD-L1+三阴性乳腺癌的一线治疗。
随后在2019年ASCO大会上公布了更新的随访结果[23],显示PD-L1+人群的获益依然持续,阿替利珠单抗组的中位总生存期为25.0个月,安慰剂组的中位总生存期为18.0个月。随后公布的亚组人群和日本人群数据均显示与总体人群一致[24,25]。

此外,IMpassion130研究的分子标志物探索性分析,对TILs、CD8+、gBRCA1/2突变、以及采用不同的抗体平台检测的分子标志物进行评估,结果显示仅有通过SP142评估免疫细胞的PD-L1表达是唯一被验证过的生物标志物,其他生物标志物均无法独立预测阿替利珠单抗的获益或与SP142的预测结果不一致[26,27,28]。

今年早些时候AACR大会上公布了ipatasertib(AKT抑制剂)联合阿替利珠单抗和紫杉醇或白蛋白紫杉醇一线治疗三阴性乳腺癌的IB期研究结果,显示ORR达到73%[29],为AKT抑制剂联合免疫治疗的后续临床研究提供了参考。
SAFIR02-IMMUNO研究在今年SABCS大会上公布[30],探索HER2阴性MBC化疗后序贯Duvalumab的二期研究入组了199例无突变位点的HER2阴性(ER+患者需对内分泌治疗耐药)患者在6-8个周期化疗后达到CR/PR/SD,2:1随机接受Durvalumab或化疗的维持治疗。结果显示Durvalumab对比化疗的维持治疗OS未达到显著性差异(21.7个月vs 17.9个月,HR 0.84,p=0.42),进一步亚组分析显示,TNBC亚组(21个月 vs 14个月,HR 0.54,p=0.0377)和PD-L1亚组(26个月vs12个月,HR 0.42,p=0.0552)获益更明显。

在SABCS上还公布了一项免疫治疗联合抗血管生成的研究:NEWBEAT研究探索了Nivolumab联合紫杉醇和贝伐珠单抗一线治疗HER2阴性MBC的方案。入组56例患者中39例HR+患者和17例三阴性患者,中位PFS达到14.8个月,三阴性亚组PFS 8.1个月和HR+亚组19.1个月[31]。
除了以上三阴性乳腺癌一线治疗的临床研究之外,仍有多项研究在三阴性乳腺癌一线探索不同免疫治疗药物以及不同化疗药物的联合模式,如IMpassion 131探索阿替利珠单抗联合紫杉醇,IMpassion132探索阿替利珠单抗联合铂类或卡培他滨在早期复发三阴性乳腺癌的疗效,以及KEYNOTE-355探索Pembrolizumab联合不同化疗方案的临床研究。
另一项Pembrolizumab单抗的KEYNOTE-119结果的公布给了我们更多启示[32]。该研究入组了600例一二线治疗进展后的三阴性晚期乳腺癌患者,1:1随机接受帕博利珠单抗或医生选择的单药化疗方案(卡培他滨、艾瑞布林、吉西他滨和长春瑞滨),主要终点是PD-L1阳性(CPS≥10和CPS≥1)的OS。在2019年ESMO上公布的结果显示未达到主要终点,帕博利珠单抗不优于医生选择的方案。
目前认为晚期一线的三阴性乳腺癌患者,应进行PD-L1(SP142)检测,PD-L1阳性的患者应接受阿替利珠单抗联合白蛋白紫杉醇的治疗。而不推荐免疫治疗单药应用于后线(因其疗效有限)。
总结
晚期乳腺癌诊疗水平、靶向治疗过去十年均取得重要的突破。
ER阳性乳腺癌已经获得除内分泌和化疗外更多的治疗选择,CDK4/6抑制剂、PIK3CA抑制剂、HDAC抑制剂等众多针对HR+MBC的靶向治疗药物上市,为患者生存的延长提供了可能。但同时也提出了更多问题,如何选择治疗顺序?如何选择优势人群和生物标志物?这需要我们在临床实践和临床研究中去不断的探索。
HER2阳性乳腺癌原本是一类预后较差的亚型,随着曲妥珠单抗的上市,HER2阳性晚期乳腺癌的预后已经获得了明显的延长。随后帕妥珠单抗和T-DM1的上市进一步革新了HER2阳性晚期乳腺癌一线二线的治疗策略,但是患者疾病进展仍会出现,新药的上市和新的治疗策略开发将为这些患者提供更多治疗手段,提供延长生存的机会。
此外免疫治疗在三阴性乳腺癌仍有更多值得探索的方向,如不同化疗药物、不同靶向药物的联合策略和在其他亚型乳腺癌的应用,如上文中提到的抗HER2药物联合。也期待更多的临床研究为未来的治疗策略指引方向。
相比早期乳腺癌以追求治愈为目标的治疗体系,晚期乳腺癌仍在不断探索延长生存的手段。这些新的药物开发和新的联合策略的探索为晚期乳腺癌患者的预后改善提供了机会。相信未来晚期乳腺癌的治疗手段将进一步丰富,患者的生存将进一步延长以期待治愈的可能。
1. Tripathy et al at. 2017 San Antonio Breast Cancer Symposium (Abstract GS2-05).
2. Hurvitz SA, Im S-A, Lu Y-S, et al: Phase III MONALEESA-7 trial of premenopausal patients with HR+/HER2- advanced breast cancer treated with endocrine therapy with and without ribociclib: Overall survival results. 2019 ASCO Annual Meeting. Abstract LBA1008.
3. Slamon DJ, et al. Ribociclib (RIB) + fulvestrant (FUL) in postmenopausal women with hormone receptor-positive (HR+), HER2-negative (HER2-) advanced breast cancer (ABC): Results from MONALEESA-3. J. Clin. Oncol. 2018;36(15_suppl):1000–1000. doi: 10.1200/JC.
4. Dennis Slamon et al. ESMO 2019 Congress LBA7_PR. Annals of Oncology (2019) 30 (suppl_5): v851-v934. 10.1093/annonc/mdz394.
5. George W et al. MONARCH 2: Abemaciclib in Combination With Fulvestrant in Women With HR+/HER2− Advanced Breast Cancer Who Had Progressed While Receiving Endocrine TherapyJournal of Clinical Oncology 35, no. 25 (September 01, 2017) 2875-2884.
6. George Sledge et al. ESMO 2019 Congress Annals of Oncology (2019) 30 (suppl_5): v851-v934. 10.1093/annonc/mdz394.
7. Yeon Hee Park, MD, PhD et al. ASCO 2019. J Clin Oncol 37, 2019 (suppl; abstr 1007) .
8. M. Martin et al. SABCS 2019 GS2-06.
9. N. Vasan et al. Overview of the relevance of PI3K pathway in HR-positive breast cancer. Annals of Oncology 30 (Supplement 10): x3–x11, 2019.
10. Fabrice André, M.D. et al. Alpelisib for PIK3CA-Mutated, Hormone Receptor–Positive Advanced Breast Cancer. N Engl J Med 2019; 380:1929-1940.
11. Zefei Jiang et al. ESMO 2018 Congress.
12. Swain SM, Miles D, Kim S-B, et al: End-of-study analysis from the phase III, randomized, double-blind, placebo-controlled CLEOPATRA study of first-line pertuzumab, trastuzumab, and docetaxel in patients with HER2-positive metastatic breast cancer. 2019 AS.
13. Binghe Xu, et al. ASCO 2019. Journal of Clinical Oncology 37, no. 15_suppl (May 20, 2019) 1026-1026.
14. Hope S. Rugo, et al. ASCO 2019 Journal of Clinical Oncology 37, no. 15_suppl (May 20, 2019) 1000-1000.
15. H.S. Rugo et al. SABCS 2019 GS1-02.
16. Cristina Saura et al. ASCO 2019. Journal of Clinical Oncology 37, no. 15_suppl (May 20, 2019) 1002-1002.
17. Zefei Jiang et al. ASCO 2019. Journal of Clinical Oncology 37, no. 15_suppl (May 20, 2019) 1001-1001.
18. Rashmi Murthy et al. SABCS 2019. GS1-01 . Tucatinib vs placebo, both combined with capecitabine and trastuzumab, for patients with pretreated HER2-positive metastatic breast cancer with and without brain metastases (HER2CLIMB).
19. Ian E Krop et al. SABCS 2019. GS1-03. [Fam-] trastuzumab deruxtecan (T-DXd; DS-8201a) in subjects with HER2-positive metastatic breast cancer previously treated with T-DM1: A phase 2, multicenter, open-label study (DESTINY-Breast01).
20. Leisha Emens et al. ESMO 2019 Congress. Annals of Oncology (2019) 30 (suppl_5): v104-v142. 10.1093/annonc/mdz242.
21. Sara Tolaney et al. ESMO 2019 Congress. Annals of Oncology (2019) 30 (suppl_5): v851-v934. 10.1093/annonc/mdz394.
22. Peter Schmid et al. ESMO 2018 Congress.
23. Peter Schmid et al. ASCO 2019. Journal of Clinical Oncology 37, no. 15_suppl (May 20, 2019) 1003-1003.
24. Hiroji Iwata et al. ESMO ASIA 2019.
25. Hiroji Iwata et al. Japanese Journal of Clinical Oncology, 2019, 1–10.
26. Hope S. Rugo ESMO 2019. Performance of PD-L1 immunohistochemistry assays in unresectable locally advanced or metastatic triple-negative breast cancer: .
27. Leisha A. Emens et al. SABCS18-GS1-04.
28. Hope S Rugo et al. SABCS 2019. Abstract #765 Poster #PD1-07.
29. Peter Schmid et al. AACR Annual Meeting 2019. AM2019-CT049 .
30. Dalenc F, Bachelot T, Fllleron T, et al. Durvalumab compared to maintenance chemotherapy in patients with metastatic breast cancer: Results from phase II randomized trial SAFIR02-IMMUNO. 2019 San Antonio Breast Cancer Symposium.
31. Yukinori Ozaki et al. SABCS 2019. PD1-03. .
32. Javier Cortés et al. ESMO 2019 Congress. Annals of Oncology (2019) 30 (suppl_5): v851-v934. 10.1093/annonc/mdz394.






苏公网安备32059002004080号