您好,欢迎您

EASIX在弥漫大B细胞淋巴瘤中的预后价值评估:一项淮海淋巴瘤工作组的多中心回顾性研究

02月02日
作者:李大珊 桑威
单位:徐州医科大学附属医院血液科淋巴瘤中心
来源:肿瘤资讯

弥漫大B细胞淋巴瘤(DLBCL)是非霍奇金淋巴瘤(NHL)最常见的亚型,具有高度的异质性。近年来,以利妥昔单抗为基础的联合化疗方案显著改善了DLBCL患者的生存期,但仍有部分患者治疗后无效或复发。国际预后指数(IPI)、美国国家综合癌症网络国际预后指数(NCCN-IPI)等预后评估系统是预测DLBCL患者生存结局的重要工具,但随着免疫治疗研究的进展,其局限性逐渐凸显。内皮活化和应激指数(EASIX)是2017年Luft等提出的预测同种异体干细胞移植后急性移植物抗宿主病患者结局的预后标志物。多项研究报道,EASIX与骨髓增生异常综合征、多发性骨髓瘤以及小细胞肺癌、晚期肝病等疾病的预后相关。然而,目前对EASIX用于DLBCL患者预后评估方面的研究较少。鉴于此,徐州医科大学附属医院桑威教授团队开展了一项研究,旨在探讨EASIX对初诊DLBCL患者的预后评估价值。

桑威
医学博士,副教授,主任医师,博士生导师

徐医附院细胞研究和转化医学中心副主任
徐医附院血液科科副主任,淋巴瘤病区主任
中华医学会血液学分会淋巴细胞疾病学组委员
中国抗癌协会淋巴瘤专委会委员
中国EBV相关疾病工作组秘书长
中国抗癌协会血液肿瘤专业委员会青年委员
中国抗癌协会血液肿瘤委员会慢淋工作组委员
中国抗癌协会第一届T细胞淋巴瘤工作组委员
中国老年医学会血液学分会淋巴瘤学组委员

江苏省淋巴瘤联盟副主席
江苏省医学会血液学分会淋巴瘤/骨髓瘤学组委员
江苏省“六大人才高峰”培养对象
江苏省“科教强卫工程”青年医学人才

李大珊

徐州医科大学附属医院血液科

2021级硕士研究生

研究方法

选取2008年8月—2022年3月在淮海淋巴瘤协作组中6家医疗中心诊断为DLBCL的580例患者,收集临床资料进行回顾性分析。基于MaxStat统计量确定EASIX的最佳截断值。使用Cox比例风险模型进行单因素和多因素分析,确定影响DLBCL患者生存结局的变量。使用Kaplan-Meier生存曲线进行预后分析。

研究结果

基于MaxStat统计量计算出EASIX的最佳截断值为1.17。据此将580例DLBCL患者分为2组:高EASIX组(EASIX > 1.17)和低EASIX组(EASIX ≤ 1.17)。

首先对患者的基线特征进行分析。580例患者中男性294例(50.7%),中位年龄(60.32±13.36)岁。根据EASIX截断值将患者分为低EASIX组(405例)和高EASIX组(175例)。

与低EASIX组相比,高EASIX组患者的B症状、ECOG PS ≥ 2 、Ann Abror 分期III/IV期、IPI评分HIR/HR、NCCN-IPI评分HIR/HR的比例更高,差异有统计学意义(P < 0.05, 表1)。

屏幕截图 2026-02-02 095228.png屏幕截图 2026-02-02 1111.png

截止到随访日期,患者的中位随访时间为57.0个月(95% CI 53.3~60.7),中位生存时间为95.7个月,总体5年OS率为56.4%。低EASIX组5年OS率为65.6%(95% CI 60.9~70.8),高EASIX组5年OS率为33.8%(95% CI 27.2~42.0),差异有统计学意义(P < 0.05)。

其次,采用Cox回归模型分析各变量与患者生存预后的关系。单因素分析显示DLBCL的预后受以下因素的影响:EASIX、年龄、总胆固醇、血红蛋白、BCL-6、B症状、中枢累及、骨髓累及、肝脏累及、脾脏累及、ECOG PS 评分和Ann Arbor分期(P < 0.05)。将上述有意义的变量进行多因素分析,结果显示,EASIX、年龄、血红蛋白、中枢累及和Ann Arbor分期是影响DLBCL患者预后的不良因素(P < 0.05, 表2)。

屏幕截图 2026-02-02 095951.png

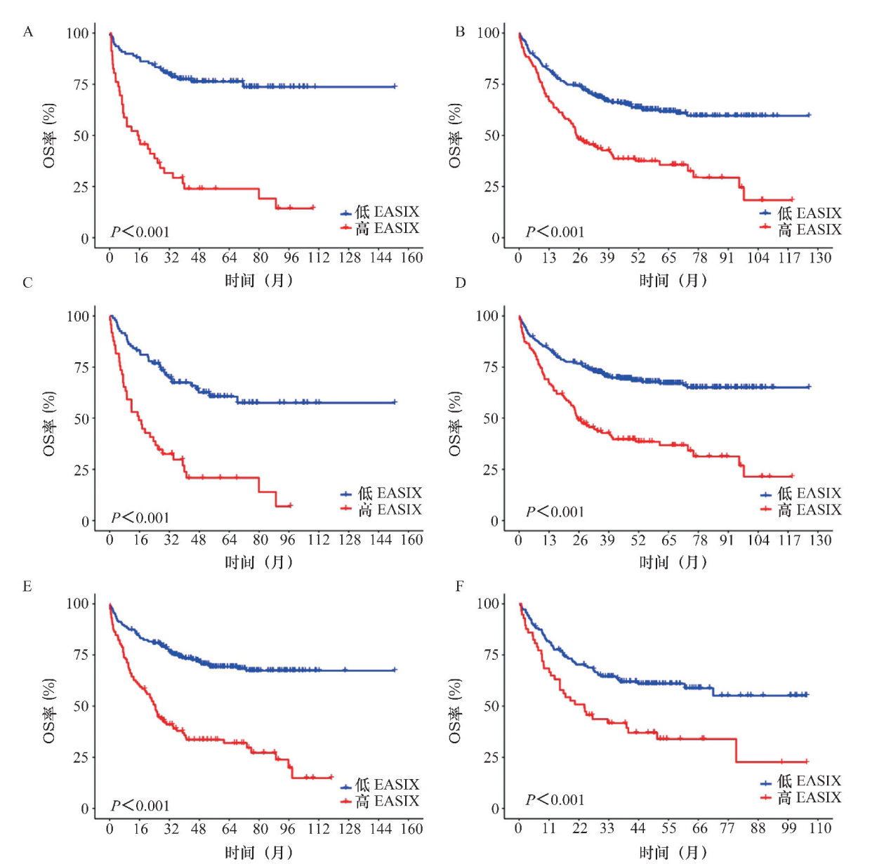
进一步采用Kaplan-Meier生存曲线分析EASIX与DLBCL患者病理特征的预后关系。结果表明,在BCL-2-和BCL-2+组、BCL-6-和BCL-6+组以及GCB和non-GCB组中,低EASIX组患者的5年OS明显优于高EASIX组,差异有统计学意义(P < 0.05, 图1)。

222222.png

图1  DLBCL患者不同病理特征亚组的预后生存曲线. A. BCL-2-;B. BCL-2+;C. BCL-6-;D. BCL-6+;E. GCB;F. non-GCB

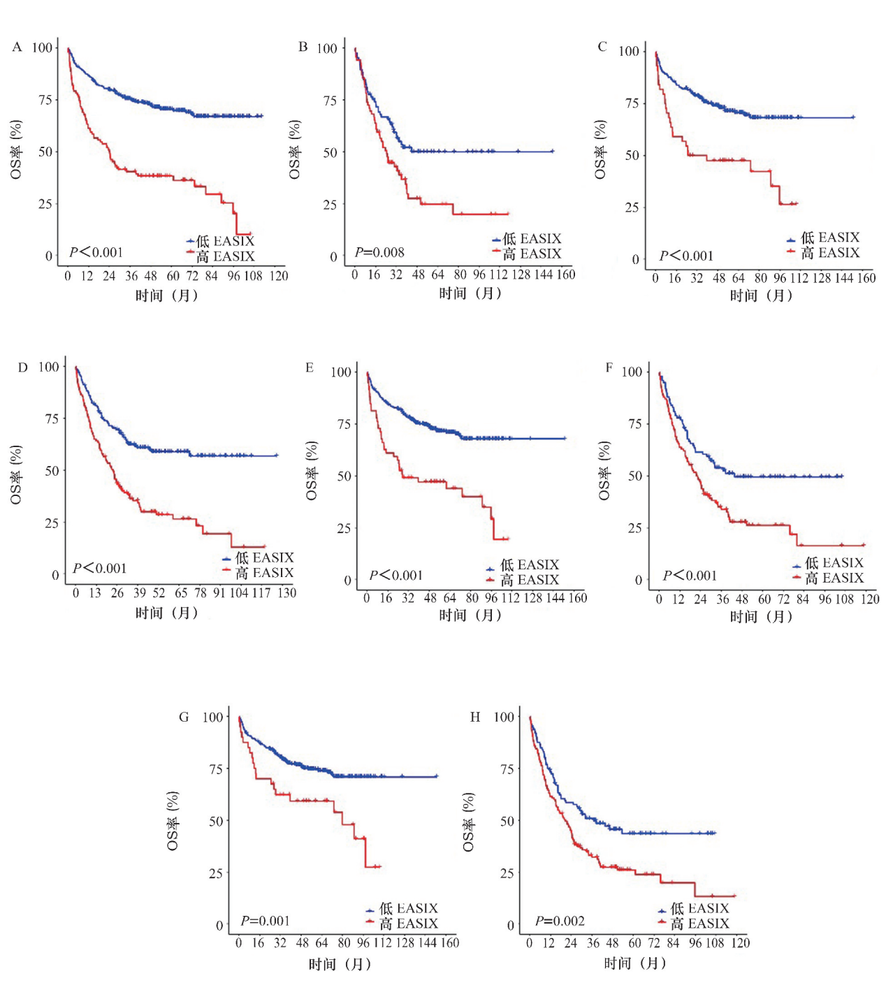
最后采用Kaplan-Meier生存曲线分析EASIX与DLBCL患者临床指标的预后相关性。结果显示,与低EASIX组相比,高EASIX组在ECOG PS评分 < 2分和 ≥ 2分组、Ann Arbor I/II期和III/IV期、IPI评分LR/LIR和HIR/HR组以及NCCN-IPI评分LR/LIR和HIR/HR组中5年OS率仍较差,差异有统计学意义(P < 0.05, 图2)。

333333333333333.png

图2  DLBCL患者不同临床指标亚组的预后生存曲线. A. ECOG PS < 2分;B. ECOG PS ≥ 2分;C. Ann Arbor I/II期;D. Ann Arbor III/IV期;E. IPI评分LR/LIR;F. IPI评分HIR/HR;G. NCCN-IPI评分LR/LIR;H. NCCN-IPI评分 HIR/HR

研究结论

高EASIX(>1.17)与初诊DLBCL患者的不良预后有关,且EASIX能对不同亚组的患者进行准确的预后分层。


参考文献

[1]李大珊,邓玲,葛洪峰,等.EASIX在弥漫大B细胞淋巴瘤中的预后价值评估:一项淮海淋巴瘤协作组的多中心回顾性研究[J].徐州医科大学学报,2024,44(01):47-54.



责任编辑:肿瘤资讯-elva
排版编辑:肿瘤资讯-robin


评论
02月02日
杨雪
西安医学院附属宝鸡医院 | 放疗科
高EASIX(>1.17)与初诊DLBCL患者的不良预后有关,且EASIX能对不同亚组的患者进行准确的预后分层。
02月02日
张医生
蒙城县中医院 | 血液肿瘤科
弥漫大B细胞淋巴瘤(DLBCL)是非霍奇金淋巴瘤(NHL)最常见的亚型,具有高度的异质性。
02月02日
马国栋
莒南县人民医院 | 肿瘤内科
以利妥昔单抗为基础的联合化疗方案显著改善了DLBCL患者的生存期,但仍有部分患者治疗后无效或复发