您好,欢迎您

马玉杰教授:基于长期随访数据,泽布替尼确立其在CLL/SLL一线治疗中的优选地位

2025年12月16日
整理:肿瘤资讯
来源:肿瘤资讯

慢性淋巴细胞白血病/小淋巴细胞淋巴瘤(CLL/SLL)是一种以成熟B淋巴细胞克隆性增殖为特征的血液系统肿瘤。布鲁顿酪氨酸激酶(BTK)抑制剂已成为初治CLL/SLL患者的重要治疗选择。与传统化学免疫治疗相比,BTK抑制剂可显著延长患者的无进展生存期(PFS)[1]

泽布替尼作为新一代BTK抑制剂,凭借其对BTK靶点的高选择性和低脱靶特性,在CLL/SLL的临床研究中表现出良好的疗效与安全性。SEQUOIA研究旨在比较泽布替尼与苯达莫司汀联合利妥昔单抗(BR)方案在初治CLL/SLL患者中的长期疗效与安全性[2]。【肿瘤资讯】特邀上海交通大学医学院附属新华医院马玉杰教授,对该项研究结果进行深入解析与点评,详情如下。

图片1.png

60个月PFS率超75%:泽布替尼对比BR方案一线治疗CLL/SLL疗效显著

SEQUOIA研究是一项随机、开放标签III期研究,纳入年龄≥65岁、或18岁~64岁伴合并症、不携带del(17p)的初治CLL/SLL患者。入组患者随机分组,分别接受口服泽布替尼(160mg,每日2次,28天为一个治疗周期)或静脉注射苯达莫司汀(90mg/m2)和利妥昔单抗(第1周期375mg/m2,第2~6周期500mg/m2)治疗。

该研究的主要终点是盲法独立审查中心评估的PFS,次要终点包括客观缓解率(ORR)、总生存期(OS)、缓解持续时间(DOR)、研究者评估的PFS以及患者报告的不良反应。

截至2024年4月30日,该研究共纳入479例CLL/SLL患者,其中241例患者分配至泽布替尼组,238例分配至BR组。两组患者的基线特征相似。

该研究的中位随访时间为61.2个月,泽布替尼组的中位PFS未达到,BR组的中位PFS为44.1个月(风险比[HR]0.29,95%CI 0.21~0.40,P<0.0001)。泽布替尼组和BR组研究者估计的60个月PFS率分别为75.8%和40.1%。(图1)

图片2.png

图1.总体人群的PFS情况

对于携带IGHV基因突变的患者,泽布替尼组中位PFS相对更长(HR 0.40,95%CI 0.23~0.69,P=0.0003)。而对于IGHV基因未突变的患者,泽布替尼组未达中位PFS,BR组的中位PFS为33.6个月(HR 0.21,95%CI 0.14~0.33,P<0.0001)(图2)。

图片3.png

图2.IGHV基因突变或未突变患者的PFS情况

在调整COVID-19的影响后,泽布替尼组和BR组估计54个月PFS率分别为83.2%和45.2%,60个月PFS率分别为78.7%和40.6%。(图3)

图片4.png

图3.经COVID-19调整后的总体人群的PFS情况

在泽布替尼组和BR组患者中,研究者评估的完全缓解(CR)/血液学未完全恢复的CR(CR/CRi)率分别为20.7%和23.5%,ORR分别为97.5%和88.7%。泽布替尼组和BR组均未达到中位OS(HR 0.89,95%CI 0.55~1.43,P=0.3090),估计的60个月OS率分别为85.8%和85.0%(图4)。

图片5.png

图4.总体人群的OS情况

在调整COVID-19影响后,泽布替尼组和BR组估计的54个月OS率分别为91.3%和87.8%,60个月OS率分别为89.4%和86.8%(图5)

图片6.png

图5.经COVID-19调整后的总体人群的OS情况

泽布替尼组30例(12.4%)患者和BR组患者98例(41.2%)出现疾病进展。BR组59例(24.8%)患者在发生疾病进展后交叉至泽布替尼组接受治疗。

两组均有34例患者死亡,不良事件(AE)是最常见的导致患者死亡的原因(泽布替尼组23例[9.6%],BR组25例[11.0%])。其中,COVID-19、COVID-19肺炎和肺炎是最常见的导致患者死亡的AE。

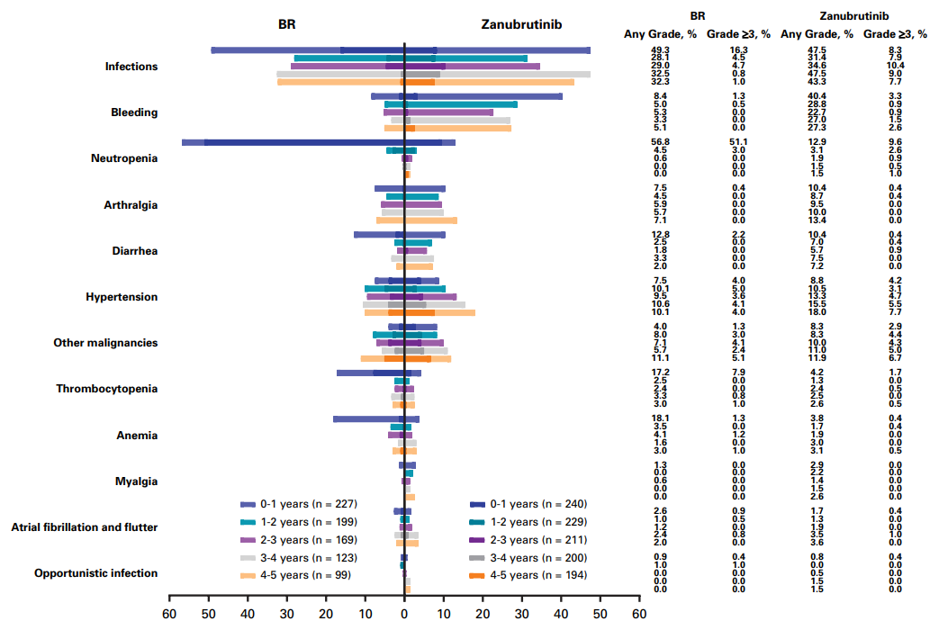
安全性分析结果提示,研究中大多数CLL/SLL患者发生了≥1次治疗相关AE(泽布替尼组:95.4%;BR:94.3%)或≥3级AE(泽布替尼组:67.9%;BR组:74.4%)。泽布替尼组和BR组在治疗期间/治疗后出现的AE包括,任何级别感染(79.6% vs 65.6%)、出血(52.1% vs 13.2%)、高血压(22.9% vs 13.7%)、中性粒细胞减少(17.1% vs 56.8%)、贫血(9.6% vs 21.1%)、血小板减少(7.1% vs 18.5%)和房颤/房扑(7.1% vs 3.5%);≥3级AE包括,感染(30.0% vs 22.5%)、中性粒细胞减少(12.5% vs 51.1%)、出血(7.5% vs 1.8%)、血小板减少(2.5% vs 8.4%)和贫血(0.8% vs 2.6%)(图6)。

图片7.png

图6.治疗中/治疗后出现的AE随时间变化的情况

综上,与BR方案相比,泽布替尼在未携带del(17p)的初治CLL/SLL患者中展现出更卓越的PFS获益,且长期耐受性良好。这一结果支持泽布替尼作为CLL/SLL患者的首选一线治疗方案。

马玉杰教授点评

CLL/SLL作为一种惰性B细胞淋巴增殖性疾病,其治疗策略近十年来因BTK抑制剂的问世而发生根本转变。新一代BTK抑制剂泽布替尼凭借其优化的药理学特性,在前期研究中已显示出卓越的疗效与良好的耐受性。SEQUOIA研究公布的5年长期随访数据,为进一步确立泽布替尼在初治CLL/SLL患者中的治疗地位提供了高级别循证依据。


在疗效方面,泽布替尼展现出显著且持久的疾病控制优势。中位随访超过5年,泽布替尼组中位PFS仍未达到,60个月PFS率高达75.8%,显著优于BR组的40.1%。值得注意的是,在预后通常较差的IGHV未突变患者中,泽布替尼同样表现出显著的PFS获益(HR=0.21),提示其在不同风险亚组中疗效的一致性。此外,泽布替尼组ORR达97.5%,且长期OS数据稳健,即使在校正COVID-19影响后,生存优势依然保持,体现了其强效且持久的抗肿瘤活性。


在安全性方面,泽布替尼长期治疗耐受性总体可控。尽管出血、高血压等BTK抑制剂类常见不良事件发生率较BR组高,但≥3级血液学毒性如中性粒细胞减少、贫血及血小板减少的发生率显著低于化疗免疫治疗方案。房颤/房扑发生率与既往BTK抑制剂研究数据相符,临床中可通过监测与管理进行防控。这种“高效而毒性可控”的特征,尤其适合需要长期治疗的CLL/SLL患者,有助于维持治疗依从性与生活质量。


SEQUOIA研究的5年随访结果有力证实了泽布替尼在初治CLL/SLL患者中的长期疗效与安全性,为其作为一线标准治疗提供了坚实数据支撑。随着临床经验的积累与联合治疗模式的探索,泽布替尼有望进一步优化CLL/SLL的治疗格局,推动该病向慢性病管理方向稳步发展。

马玉杰
主治医师

血液内科主治医师,医学硕士
毕业于上海交通大学医学院,从事医教研工作10余年,任职以来发表SCI论文及核心期刊论文数篇,参与国际及国内淋巴瘤相关临床试验数项
擅长血液系统恶性肿瘤的诊治,在科内主要从事淋巴瘤的研究及诊疗工作

参考文献

[1] Shadman M. Diagnosis and treatment of chronic lymphocytic leukemia: A review. JAMA 329:918-932, 2023.
[2] Shadman M, Munir T, Robak T, et al. Zanubrutinib Versus Bendamustine and Rituximab in Patients With Treatment-Naïve Chronic Lymphocytic Leukemia/Small Lymphocytic Lymphoma: Median 5-Year Follow-Up of SEQUOIA. JCO 43, 780-787(2025).

责任编辑:肿瘤资讯-Grady
排版编辑:肿瘤资讯-sy
版权声明
版权归肿瘤资讯所有。欢迎个人转发分享,其他任何媒体、网站如需转载或引用本网版权所有内容,须获得授权,且在醒目位置处注明“转自:良医汇-肿瘤医生APP”。