您好,欢迎您

IV期EGFR突变NSCLC患者EGFR-TKI治疗的预后因素分析

01月08日
整理:肿瘤资讯
来源:肿瘤资讯

EGFR-TKIs是IV期EGFR突变NSCLC的一线标准治疗,但患者生存获益存在明显个体差异。本文基于461例患者的真实世界数据,探索影响患者总生存期(OS)的独立预后因素,为临床精准评估预后、优化治疗决策提供参考。

背景

NSCLC是肺癌的主要类型,预后较差,初始诊断时46.8%-61.2%的患者已处于IV期,通常无法治愈,姑息治疗为主要治疗策略。随着精准医疗发展,EGFR-TKIs类药物显著改变了治疗格局——吉非替尼作为首个获批的EGFR-TKI,对19del和L858R突变患者有效但耐药快,国产药物埃克替尼与吉非替尼结构相似。三代EGFR-TKI对敏感突变和T790M耐药突变均有高选择性,已成为转移性EGFR突变NSCLC的治疗选择。尽管治疗选择增多,但部分EGFR突变晚期患者的生存获益仍有限,个体间治疗反应差异提示存在其他预后影响因素,因此本研究旨在明确接受EGFR-TKI治疗的IV期EGFR突变NSCLC患者的独立预后因素。

研究方法

本回顾性研究连续纳入2014年11月至2023年11月华中科技大学同济医学院附属同济医院确诊的IV期EGFR突变NSCLC患者461例。纳入标准为经活检或术后病理确诊、基因检测证实EGFR突变、接受一线EGFR-TKI(奥希替尼80mg/日、吉非替尼250mg/日或埃克替尼125mg/次,每日3次)治疗;排除合并其他原发恶性肿瘤、失访或病历资料不完整的患者。

收集患者临床资料,包括年龄、性别、分期、吸烟史、合并症、病理类型、转移部位、肿瘤标志物(NSE、CEA、CYFRA 21-1等)及治疗方案(EGFR-TKIs类型、放疗、化疗等),肿瘤标志物临界值参考同济医院正常上限(NSE 16.3µg/L、CEA 5.0ng/mL等)。通过电话随访或病历收集随访信息,随访截止至2024年6月12日,存活患者按截尾数据处理。

采用SPSS 27.0软件分析数据:卡方检验分析分类变量;Kaplan-Meier法绘制生存曲线,log-rank检验比较差异;Cox比例风险模型进行单因素和多因素分析,纳入单因素分析中p<0.05的变量,计算风险比(HR)及95%置信区间(CI),p<0.05为差异有统计学意义;GraphPad Prism 8绘制森林图。

研究结果

患者基线特征:

461例患者中,女性占55.7%(257例),男性占44.3%(204例);中位年龄58岁,<60岁占56.4%(260例);IVA级占56.2%(259例),IVB/IVC级占43.8%(202例);不吸烟者占68.8%(317例);病理类型以腺癌为主(96.3%,444例),非腺癌占3.7%(17例);EGFR突变类型中19del占52.5%(242例),L858R占39.7%(183例);肝转移占6.1%(28例),脑转移占21.3%(98例);接受奥希替尼治疗占45.1%(208例),埃克替尼占43.4%(200例),吉非替尼占11.5%(53例);38.4%(177例)接受放疗,44.3%(204例)接受化疗。


生存结局:

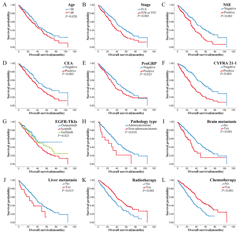
全队列中位OS为40.60个月(95%CI:34.72-46.48个月),1年、3年、5年OS率分别为87.2%、57.8%、34.0%。单因素分析及生存曲线显示,年龄<60岁、IVA级、腺癌、无肝/脑转移、NSE/CEA/CYFRA 21-1/ProGRP阴性、接受放疗/化疗及使用奥希替尼的患者OS显著更长(p<0.05)(图1)。

图1、对比不同临床病理特征和治疗策略患者的OS生存曲线

独立预后因素:

Cox多因素分析证实,独立风险因素包括:病理类型(非腺癌vs腺癌,HR=3.57,p<0.001)、肝转移(HR=2.15,p=0.007)、脑转移(HR=1.94,p=0.001)、NSE阳性(HR=1.43,p=0.019)、CYFRA 21-1阳性(HR=1.77,p<0.001)、EGFR-TKI类型(埃克替尼vs奥希替尼,HR=2.49,p<0.001;吉非替尼vs奥希替尼,HR=1.89,p=0.015);独立保护因素为放疗(HR=0.62,p<0.001)和化疗(HR=0.51,p<0.001)(表1)。

表1 OS预后因素的单因素和多因素Cox回归分析

亚组分析:

性别亚组:女性中埃克替尼(HR=2.16)和吉非替尼(HR=2.00)使用者死亡风险高于奥希替尼;男性中仅埃克替尼使用者死亡风险更高(HR=2.99,p<0.001)。年龄亚组:<60岁患者中埃克替尼使用者死亡风险更高(HR=2.61,p<0.001);≥60岁患者中埃克替尼(HR=2.46)和吉非替尼(HR=2.74)使用者死亡风险均高于奥希替尼。分期亚组:IVA级患者中埃克替尼(HR=3.19)和吉非替尼(HR=2.30)使用者死亡风险更高;IVB/IVC级患者中仅埃克替尼使用者死亡风险更高(HR=2.34,p<0.001)。

结论

本研究探索了IV期EGFR突变NSCLC患者接受EGFR-TKI治疗的独立预后因素,其中非腺癌、肝转移、脑转移、NSE阳性和CYFRA 21-1阳性是不良预后的独立风险因素,放疗和化疗则为独立保护因素,且一线使用奥希替尼的预后优于埃克替尼和吉非替尼,亚组分析进一步验证了不同性别、年龄和分期患者中EGFR-TKI类型的预后差异。
 
本研究为单中心回顾性分析,样本量有限,且仅以OS为终点,未探究无进展生存期等指标,部分患者可能存在一代TKI耐药后换用三代TKI的情况但未分层分析,可能影响结果解读。未来需开展多中心前瞻性研究,进一步验证这些发现,为IV期EGFR突变NSCLC患者提供更精准的治疗指导。

参考文献

Kuang L, Zhang Y, Wang H, Wang P, Li Y. Prognostic factors influencing overall survival in stage IV EGFR-mutant NSCLC patients treated with EGFR-TKIs. BMC Pulm Med. 2025;25(1):114. Published 2025 Mar 13. doi:10.1186/s12890-025-03569-1。

审批编号:CN-176092   有效期:2026-4-3

声明:本材料由阿斯利康提供,仅供医疗卫生专业人士进行医学科学交流,不用于推广目的

责任编辑:肿瘤资讯-Yuno
排版编辑:肿瘤资讯-Sally
版权声明
版权归肿瘤资讯所有。欢迎个人转发分享,其他任何媒体、网站如需转载或引用本网版权所有内容,须获得授权,且在醒目位置处注明“转自:良医汇-肿瘤医生APP”。

评论
01月15日
白文秀
平遥兴康医院 | 中医科
感谢分享受益匪浅
01月15日
白文秀
平遥兴康医院 | 中医科
感谢分享受益匪浅
01月15日
张医生
蒙城县中医院 | 血液肿瘤科
NSCLC是肺癌的主要类型,预后较差,初始诊断时46.8%-61.2%的患者已处于IV期,通常无法治愈,姑息治疗为主要治疗策略。