胃癌是全球第五大常见恶性肿瘤,2020年GLOBOCAN数据显示每年新发病例超100万,死亡约76.9万例。东亚、南美及东欧地区发病率居高位,且65岁以上老年人群占绝对多数。局部晚期胃癌的标准治疗方案为多学科综合治疗,新辅助化疗(NAC)可缩小肿瘤体积、提高R0切除率并改善长期生存。然而,NAC伴随的消化道毒性(厌食、恶心、呕吐、口腔炎)显著影响患者营养摄入,导致体重丢失、肌肉量下降及生活质量恶化。老年患者因基础肌肉量减少、共病负担重及生理储备不足,化疗期间营养不良发生率高达30%—60%,直接增加治疗毒性、感染风险及住院时间。
整合素家族在肿瘤微环境调控中发挥关键作用,而营养干预作为可调控因素,其临床价值日益凸显。欧洲临床营养与代谢学会(ESPEN)推荐老年患者每日蛋白质摄入不少于1.0-1.2 g/kg,严重疾病状态下可达2.0 g/kg。尽管口服营养补充剂(ONS)在肿瘤患者中的应用证据逐渐积累,但针对接受NAC的老年胃癌患者这一特殊群体,高蛋白ONS的特异性疗效仍缺乏高质量随机对照研究。本研究通过前瞻性设计,旨在填补该领域空白,为优化老年胃癌患者的营养支持策略提供循证依据。
研究背景
1. 老年胃癌患者的营养挑战
老年胃癌患者是营养不良的高危人群。肿瘤本身的代谢异常、吞咽困难及消化道梗阻导致摄入不足;NAC进一步强化分解代谢,静息能量消耗增加而体力活动减少。肌肉量的持续丢失引发或加重肌少症,形成"营养不良-功能衰退-化疗耐受性降低"的恶性循环。临床观察显示,约15%胃癌患者在诊断时已出现≥10 kg的体重下降,而NAC期间体重丢失超过5%是术后并发症的独立预测因子。
2. 蛋白质代谢的特殊性
与健康成人0.8 g/kg/d的蛋白质需求相比,肿瘤患者因全身性炎症、蛋白质分解加速及合成抵抗,需求升至1.5 g/kg/d以上。老年患者蛋白质合成效率降低,亮氨酸等必需氨基酸的促合成阈值增高,单纯膳食难以满足需求。高蛋白ONS通过浓缩营养素配方,可在小容量(200 mL)内提供18-20 g优质蛋白,成为实现蛋白质目标的有效途径。
3. ONS在肿瘤化疗人群中的应用现状
现有荟萃分析证实ONS可改善肿瘤患者能量-蛋白质摄入、增加体重并降低化疗相关毒性。然而,既往研究多纳入混合瘤种或术后辅助化疗人群,对NAC阶段老年患者的针对性不足。关键问题包括:① 高蛋白配方是否优于标准配方?② 营养改善能否转化为功能及生存获益?③ 干预时机与疗程如何优化?本研究聚焦NAC这一治疗窗口期,评估ONS对营养、功能及生活质量的综合影响。
研究方法
1. 研究设计与人群
本研究为单中心、前瞻性、随机对照试验,2023年2月至2024年2月于Erzincan Binali Yildirim大学附属医院肿瘤内科开展。纳入标准:① 年龄≥65岁;② 新诊断的组织学证实局部晚期胃癌(IIa-IIIB期);③ 计划接受FLOT方案NAC;④ ECOG体能状态0-2分;⑤ 签署知情同意。排除标准:③-④个月内预期生存<3月的严重共病、既往胃手术史、转移性疾病(IV期)及认知障碍。
采用计算机辅助随机化将56例初筛患者分配至ONS组(n=28)与对照组(n=28),最终完成8周干预且数据完整者46例(每组23例)。排除原因包括:化疗中断(n=1)、ONS依从性差(n=4)、未遵守标准营养指导(n=4)及跨组污染(n=1)。

2. 干预措施
ONS组:每日补充高蛋白ONS(雀巢健康科学,瑞士),每200 mL提供蛋白质18.8 g、脂肪7 g、碳水化合物28 g及能量250 kcal,联合标准营养护理。营养师每2周随访,监测消耗量并调整膳食。
对照组:仅接受标准营养护理,包括个体化膳食指导、营养教育及饮食日记监测。两组营养目标一致:能量30 kcal/kg/d、蛋白质1.5 g/kg/d,ONS组通过补充剂辅助达标。
3. 评估指标
营养状况:微型营养评估(MNA)于基线、第4周及第8周评估,总分30分,<17分为营养不良,17-23.5分为风险,>23.5分为正常。
身体功能:① 握力:采用Charder数字握力计测量优势手,取三次平均值;② ADL量表(Katz指数)与IADL量表(Lawton-Brody量表),评估基础及工具性日常生活能力。
生活质量:EORTC QLQ-C30问卷评估整体健康状态、5个功能领域(躯体、角色、情绪、认知、社会)及9个症状维度。
体成分:采用Tanita DC-360生物电阻抗分析仪测定体重、瘦体组织(LBM)、肌肉量(SMM)、体脂量(BFM)、总体水(TBW)及基础代谢率(BMR)。
膳食摄入:采用3天饮食记录法(基线、第4周、第8周),通过BEBIS营养软件(德国8.2版)计算宏量营养素。

4. 统计学分析
采用SPSS 20.0软件,连续变量正态性检验采用Shapiro-Wilk检验。符合正态分布数据以均值±标准差表示,组间比较用独立样本t检验;非正态数据以中位数[四分位距]表示,采用Mann-Whitney U检验。分类数据采用卡方检验或Fisher精确检验。重复测量数据采用重复测量方差分析或Friedman检验。生存分析采用Kaplan-Meier法及log-rank检验。多因素分析采用Cox比例风险回归模型。显著性阈值设为P<0.05。
研究结果
1. 基线特征
46例患者平均年龄72.5±5.24岁,男性占80.4%,两组在年龄、性别、体重丢失(10.6±7.25 kg)、共病指数(Charlson指数1—2分占73.9%)、肿瘤分期(IIa期58.7%)及化疗方案方面无统计学差异(P>0.05),基线可比性良好。
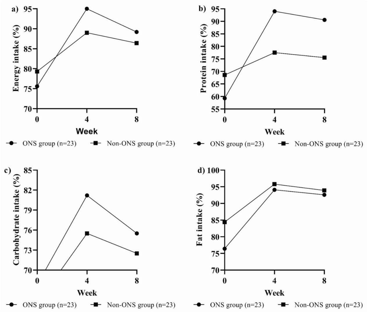
2. 膳食摄入与营养达标率
能量摄入:ONS组男性患者基线、第4周、第8周能量摄入分别为1487.0 kcal、1836.5 kcal及1751.0 kcal,呈显著上升趋势(P<0.001);女性患者对应值为1287.0 kcal、1657.8 kcal及1599.6 kcal。对照组同期能量摄入无明显改善。第8周时,ONS组能量达标率89.2%,显著高于对照组的86.4%(P<0.001)。
蛋白质摄入:ONS组男性蛋白质摄入从基线57.7 g升至第8周86.8 g(P<0.001),蛋白质达标率从59.7%升至90.4%;女性从51.2 g升至80.2 g。对照组男性仅能从68.7升至71.9 g(P>0.05)。第4周及第8周,ONS组蛋白质摄入均显著优于对照组(P<0.013)。
宏量营养素:ONS组碳水化合物(208.5±35.55 g vs 200.8±34.14 g, P=0.014)及脂肪摄入亦显著增加,但脂肪供能比低于对照组,提示营养结构更优。

3. 营养状况改善
基线时两组MNA评分无差异(女性P=0.873,男性P=0.932)。8周干预后,ONS组MNA评分显著提升(P<0.001),78.3%患者达正常营养状态,仅4.3%存在营养不良风险;对照组相应比例为52.2%与17.4%,组间差异具有统计学意义(P=0.003)。回归分析显示,ONS组营养不良风险较对照组降低73%(OR=0.27, 95%CI 0.09~0.81)。
4. 身体功能与生活质量
ADL/IADL:基线时ONS组ADL独立率为100%,对照组91.3%;第8周分别为95.7%与91.3%,组间及组内均无显著差异(P>0.05)。IADL独立率波动于56.5%—65.2%之间,ONS未显示保护优势。
握力:ONS组女性握力基线值(13.6±1.52 kg)显著高于对照组(9.6±1.13 kg, P=0.014),第8周差异持续存在(13.5±1.07 kg vs 9.0±0.90 kg)。男性握力两组均呈下降趋势,ONS组无保护作用。
生活质量:两组整体健康状况均恶化。ONS组第8周全球健康状态评分从72.8±14.48降至58.7±13.64(P<0.001),躯体功能从73.3降至66.7,情绪功能从91.7降至83.3。疲劳评分由11.1升至49.3±17.02(P<0.001)。值得注意的是,对照组便秘症状显著加重(0.0 vs 43.5, P=0.008),而ONS组改善趋势明显(P=0.038)。
5. 体成分变化
第8周时,ONS组体重增加(66.4±5.74 kg vs 57.8±4.18 kg, P=0.049)、瘦体组织(41.2±6.59 kg vs 34.6±1.29 kg, P=0.039)、肌肉量(44.2±9.30 kg vs 32.4±1.88 kg, P=0.004)、体脂量及总体水均显著高于对照组。对照组上述指标普遍下降,BMR从1475.2±236.35 kcal降至1385.0±310.00 kcal(P<0.001),提示代谢衰退。

6. 化疗毒性
两组在化疗延迟(P=0.78)、住院率(P=1.00)及≥3级毒性发生率(P=0.82)方面无差异。主要3-4级不良事件为中性粒细胞减少(40%)、贫血(22%)及疲劳(16%),分布均衡。
结论
本研究首次针对接受NAC的老年胃癌患者,证实高蛋白ONS干预8周可显著提升能量-蛋白质摄入,改善MNA评分并降低营养不良风险,有效维持体重、肌肉量及总体水,对机体组成具有保护作用。然而,短期ONS未能阻止生活质量及握力的下降趋势,可能与化疗累积毒性、干预周期较短及样本量限制有关。提示老年胃癌患者NAC期间应尽早启动高蛋白ONS,以营养优先策略缓冲化疗打击,为手术创造更佳条件。MNA作为动态监测工具可及时识别营养风险。未来需开展多中心、大样本、长周期研究,并探索ONS联合抗阻运动等综合干预模式,以期实现营养、功能及生存的全面获益。
Doğan Akagündüz D, Türker PF, Akagündüz B. Effects of high-protein nutritional supplementation on nutritional status, physical function, and quality of life in older gastric cancer patients receiving neoadjuvant chemotherapy: a randomized trial. Support Care Cancer. 2025;33(9):775. Published 2025 Aug 9. doi:10.1007/s00520-025-09822-x
审批编号:CN-173228 有效期:2026/12/1
声明:材料由阿斯利康支持,仅供医疗卫生专业人士参考
排版编辑:肿瘤资讯-Sally






苏公网安备32059002004080号