本期精选5篇在2026年2月份发表的结直肠癌领域文献,部分研究邀请到江苏省肿瘤医院的李晟教授进行深入解读
专家介绍
江苏省肿瘤医院 肿瘤内科 结直肠肿瘤病区主任
中国抗癌协会多原发和不明原发肿瘤专业委员会副主任委员
中国抗癌协会大肠癌专业委员会指南基层赋能专家委员会副主任
中国控烟与健康协会控烟与健康政策发展研究专业委员会委员
中国医疗保健国际交流促进会消化肿瘤综合诊疗学分会委员
中国医疗保健国际交流促进会肿瘤免疫治疗学分会委员
江苏省抗癌协会多原发和不明原发肿瘤专业委员会副主任委员
江苏省抗癌协会大肠癌专家委员会委员
江苏省健康教育协会烟草危害控制专业委员会副主任委员
江苏省整合医学研究会遗传性肿瘤专业委员会副主任委员
江苏省老年医学学会肿瘤学分会常务委员
江苏省肿瘤防治联盟胃癌专家委员会委员
江苏省免疫学会转化医学专业委员会委员
BRAF突变型转移性结直肠癌(mCRC)相关真实世界结果:恩考芬尼+西妥昔单抗±比美替尼的BEETS(JACCRO CC-18)研究[1]
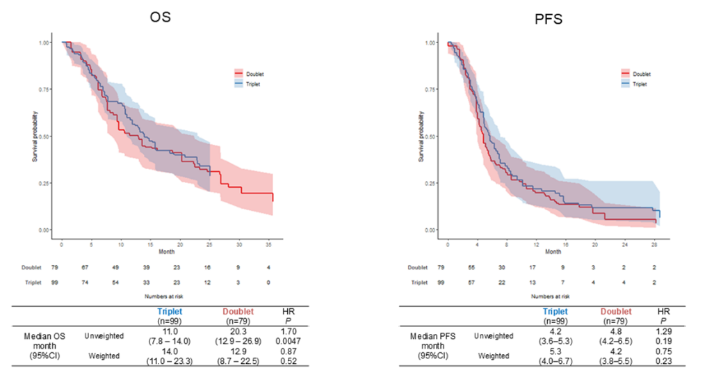
基于BEACON CRC试验的亚组分析,日本推荐三联疗法(恩考芬尼、西妥昔单抗和比美替尼)用于具有不良预后因素(PFs)的BRAF V600E突变mCRC患者。因此,研究者开展了一项全国性(日本)、前瞻性、观察性及转化研究项目- BEETS试验(UMIN000045530),以评估三联疗法对比双联疗法(恩考芬尼联合西妥昔单抗)作为二线或三线治疗在BRAF突变mCRC患者的真实世界有效性,同时也阐明BRAF突变的mCRC的治疗反应、耐药性和疾病异质性的分子基础。研究主要终点为总生存期(OS)。基于倾向评分的逆概率加权(IPW)探索性分析用于校正不良PFs(ECOG PS≥1、转移部位≥3个、C反应蛋白升高或原发肿瘤未切除)。
本研究共入组203例患者,其中195例可评估。中位年龄为67岁;52%为男性。三联队列(N=111)与双联队列(N=84)中恩考芬尼和西妥昔单抗的剂量强度具有可比性。在总队列中,中位OS和无进展生存期(PFS)分别为12.9个月和4.9个月。IPW调整后(图1),三联队列中位OS为14.0个月,双联队列为12.9个月(HR 0.87,95% CI 0.57~1.33);中位PFS分别为5.3个月和4.2个月(HR 0.75,95% CI 0.48~1.19)。在至少存在1项不良PF的患者中,三联方案的OS和PFS在数值上均更优。此外,研究验证了三联疗法对于具有不良预后特征的患者具有OS获益。最常见的毒性包括疲劳、痤疮样皮疹、腹泻和贫血。每个队列中大约四分之一的患者发生≥3级事件,没有新的安全性信号或治疗相关死亡。本项研究结果与BEACON CRC试验中观察到的结果非常接近,并且与西方现实世界的队列大体一致,支持BEACON研究结果在亚洲人群的日常实践中的普适性。

含恩考芬尼、西妥昔单抗和比美替尼的三联疗法在BRAF V600E突变型结直肠癌(CRC)中的安全性和有效性:一项系统评价和荟萃分析[2]
迄今为止,已有多项研究对恩考芬尼、比美替尼和西妥昔单抗三药联合疗法进行了探讨,关于其安全性和疗效结局尚未达成全面共识。
本研究按照PRISMA指南进行系统综述和荟萃分析,全面检索PubMed、Cochrane Central和ClinicalTrials.gov数据库,检索时间截至2024年10月,共纳入6项采用恩考芬尼、比美替尼和西妥昔单抗三药联合疗法的研究(1项随机试验、1项Ⅱ期试验和4项队列研究),涉及487例患者,旨在对其疗效和安全性进行全面评估,以指导未来的研究方向。主要研究终点包括OS、PFS和客观缓解率(ORR),次要研究终点为安全性和不良事件。
合并12个月OS率为44%(95% CI 29%~66%),中位OS为9.75个月(95% CI 7.22~15.69个月)(图2);12个月PFS率为13%(95% CI 7%~24%),中位PFS为4.89个月(95% CI 4.22~6.46个月);ORR为35%(95% CI 27%~44%),其中完全缓解率为5%,部分缓解率为32%。46%的患者发生≥3级不良事件,最常见的为痤疮样皮炎和腹泻。总体治疗中断率为60.4%。尽管存在一定异质性,这些结果表明,虽然三联疗法可为部分患者带来显著获益,但治疗常受毒性和应答个体差异的限制。这些结果与BEACON CRC试验及多项真实世界研究一致,尽管BRAF靶向联合疗法具有较高的缓解率,但生存期仍为中等水平。鉴于有限的生存改善和显著的毒性,在确定三联疗法是否适当时,整合患者体能状态、微卫星不稳定性(MSI)状态及治疗目标至关重要。

李晟教授:BRAF V600E突变在mCRC中虽仅占8%~12%,但其预后极差,传统化疗疗效有限。自BEACON CRC研究证实恩考芬尼联合西妥昔单抗(±比美替尼)可显著改善生存以来,三联或双联靶向治疗已成为这类患者的标准后线治疗。然而,临床实践中仍面临诸多问题:三联是否真的优于双联?在真实世界人群中能否复刻临床试验的结果?毒性管理应如何优化?
本研究是一项系统评价和荟萃分析,纳入6项研究(含BEACON CRC及多项真实世界队列),共487例BRAF V600E突变mCRC患者。其核心价值在于:
第一,提供了真实世界视角下的疗效数据。 本研究的中位OS为9.75个月,中位PFS为4.89个月,ORR为35%。这与BEACON CRC研究中的数据大致相当,且更有优势,证实了该方案在真实世界中的可重复性。值得注意的是,本研究12个月OS率为44%,但18个月时已降至27%,提示多数患者的获益难以持久,这与BRAF突变型肠癌的侵袭性生物学行为一致。
第二,揭示了影响疗效和毒性的关键因素。 通过meta回归分析,作者发现MSI-H状态与较低的ORR显著相关——这是一个极具临床意义的发现。MSI-H的BRAF突变肠癌往往对免疫治疗敏感,但对MAPK通路抑制剂反应欠佳,提示这类患者应优先考虑免疫治疗而非靶向治疗。此外,男性患者发生≥3级不良事件的风险显著较低,这一性别差异值得后续前瞻性研究进一步验证,或可为个体化管理提供参考。
第三,客观呈现了三联疗法的毒性负担。本研究中≥3级不良事件发生率达46%,治疗中断率达68.9%,这一数据对临床决策至关重要。尽管三联疗法带来较深的肿瘤退缩,但毒性累积可能抵消其生存获益,尤其对于体能状态较差的患者。这也呼应了BEACON CRC中双联疗法在生存上不劣于三联的结果——在真实世界中,双联或许更适用于多数患者。
当然,本研究存在局限性:纳入研究数量有限,异质性较高,部分结局(如PFS、ORR)证据等级较低,且无法直接比较三联与双联的优劣。此外,基于已发表KM曲线的生存数据重构存在一定的近似误差。
综上,本研究为BRAF V600E突变mCRC的靶向治疗提供了有价值的真实世界证据整合,进一步夯实了恩考芬尼联合西妥昔单抗+比美替尼在这一人群中的临床治疗地位。未来,如何通过生物标志物精准筛选获益人群、如何优化治疗顺序(靶向vs. 化疗vs.免疫),仍是值得深入探索的方向。
抑制脂肪酸合酶增强了结直肠癌中BRAF靶向疗法的治疗效果,并延缓了获得性耐药的发生[3]
BRAF V600E突变的存在与结直肠癌(CRC)的不良预后相关。尽管FDA批准的恩考芬尼联合西妥昔单抗方案在此人群中具有临床获益,但仅22%的患者产生应答,且大多数患者最终会产生耐药。本研究探讨了对第二代BRAF抑制剂PLX8394的耐药机制。通过使用原代和已建立的BRAF V600E CRC细胞,研究者发现对PLX8394耐药的产生会导致细胞对恩考芬尼产生交叉耐药性。此外,获得性耐药与增殖能力增强、侵袭能力提高以及脂质代谢上调相关,包括脂质合成的关键酶——脂肪酸合成酶(FASN)的表达增加。然而,PLX8394与FASN抑制剂TVB3664联合使用对亲代CRC细胞的细胞活力和集落形成具有协同作用,但对PLX耐药细胞无此作用。重要的是,本研究证明在PLX8394或恩考芬尼方案中添加TVB3664可通过降低pRb(Ser780)水平以及下调E2F转录因子和细胞周期蛋白D1(Cyclin D1)的表达来抑制细胞周期进展,从而显著延缓BRAF靶向治疗耐药的产生。临床数据一致显示,BRAF V600E CRC患者中肿瘤组织FASN高表达者,其细胞周期相关基因[包括CDKs、E2F、CCDN1(Cyclin D1)、生存素和MKI67]的表达水平更高。
综上所述,这些研究结果表明FASN驱动的脂质代谢是BRAF靶向治疗耐药的关键介导因素,并提示联合使用FASN抑制剂可能提高BRAF V600E CRC的治疗效果并延缓获得性耐药的产生。
抗EGFR再挑战与标准治疗在ctDNA RAS/BRAF野生型(WT)化疗耐药的mCRC患者中的比较:一项系统评价和荟萃分析[4]
抗EGFR再挑战已成为循环肿瘤DNA(ctDNA)RAS/BRAF WT 状态维持的化疗难治性mCRC患者的潜在治疗选择。然而,在随机对照试验(RCT)中,其与标准治疗(SoC)相比的疗效仍不确定。在本系统评价和荟萃分析中,研究者探讨了抗EGFR再挑战对比SoC三线治疗用于经治ctDNA RAS/BRAF WT mCRC患者的结局。本研究遵循PRISMA指南,于2025年10月对PubMed及ASCO/ESMO会议摘要进行系统检索,纳入3项II期RCT(分别为VELO、CITRIC、PARERE研究),涉及320例患者。本研究计算疾病控制率(DCR)和ORR的合并比值比(OR),以及生存结局的风险比(HR)。与SoC相比,抗EGFR再挑战显著改善DCR(OR 3.39,95% CI 2.13~5.39)、ORR(OR 5.13,95% CI 2.30~11.41)和PFS(HR 0.674;95% CI 0.499~0.909;P=0.009)。未观察到OS获益(HR 0.895;95% CI 0.736~1.087;P=0.263)。此外,研究根据抗EGFR药物类型(帕尼单抗vs.西妥昔单抗)以及单药治疗vs.抗EGFR药物联合治疗进行PFS和OS的亚组分析。使用西妥昔单抗再挑战对PFS有积极影响(HR 0.67,95% CI 0.40~0.91)。抗EGFR药物(西妥昔单抗或帕尼单抗)的选择对OS无显著影响。再挑战治疗作为单药治疗与联合化疗相比,PFS或OS均无显著差异。这些结果支持当肿瘤缩小为临床优先目标时,采用抗EGFR再挑战策略作为后线治疗,但仍需来自前瞻性试验的进一步证据。结合已发布的临床数据强调了恰当且更深入的分子选择对于正确筛选适合从该治疗策略中获益的患者的关键作用。为解决这一问题,研究者团队计划开展一项随机II期研究,即ROMANCE-GOIM试验(欧盟临床试验编号:2025–521319–38–00),比较西妥昔单抗联合伊立替康再挑战与曲氟尿苷/替匹嘧啶联合贝伐珠单抗三线治疗阴性超选择mCRC患者的疗效。
李晟教授:后线治疗选择匮乏,是mCRC临床实践中长期面临的困境。瑞戈非尼、曲氟尿苷/替匹嘧啶(±贝伐珠单抗)、呋喹替尼等药物虽可延长生存,但ORR长期徘徊于2%~6%,以疾病控制为主。在这一背景下,抗EGFR再挑战(rechallenge)策略的出现,为经筛选的患者群体提供了一种“主动缩瘤”的可能性。
本研究是一项针对RCT的系统评价和荟萃分析,纳入3项II期研究(VELO、CITRIC、PARERE),共320例经ctDNA确认RAS/BRAF WT的化疗耐药mCRC患者。其核心价值在于:
第一,首次以荟萃分析形式证实了抗EGFR再挑战的优效性。与SoC相比,再挑战组的DCR、ORR和PFS显著更优。这一结果令人振奋——在后线治疗“以稳为主”的格局中,再挑战策略带来了有临床意义的肿瘤退缩。
第二,为ctDNA指导的精准再挑战提供了高级别证据。三项入选研究均采用液体活检筛选RAS/BRAF野生型患者,这是再挑战策略成功的关键。基础研究早已揭示,抗EGFR压力下出现的耐药克隆(如RAS突变、EGFR胞外域突变)在停药后可逐渐衰减,其半衰期约为4个月。ctDNA的动态监测,使我们得以捕捉这一“治疗窗口”,将再挑战从“经验性尝试”升级为“分子指导下的精准干预”。
第三,客观呈现了OS无获益的可能原因。本研究中再挑战组OS并未显著优于标准治疗(HR=0.895,P=0.263)。这一结果并不意外——三项研究均存在高交叉率:VELO研究中41.2%的对照组患者后续接受了抗EGFR治疗,CITRIC研究交叉率达75%,PARERE研究本身即为序贯设计。这意味着,多数患者最终都暴露于抗EGFR再挑战,OS反映的是“治疗序列”的整体效应,而非三线单一步骤的差异。从临床角度看,这恰恰印证了再挑战策略的临床价值——它应被视为后线治疗序列中的一环,而非孤立的“救命稻草”。
第四,提示了更深层分子筛选的必要性。本研究中仍有30%~40%的患者对再挑战原发性耐药。VELO和CITRIC研究的亚组分析显示,在RAS/BRAF野生型基础上进一步筛选出“阴性超选”(即ctDNA中无其他潜在耐药突变)的患者,获益更为显著。CAVE-2 GOIM研究也证实,经FoundationOne CDX全面基因组测序筛选的“阴性超选”患者,接受再挑战的中位PFS达5个月,中位OS达15个月。这意味着,未来再挑战策略的优化方向,是从“单基因筛选”走向“全景基因组筛选”。
本研究的局限性:纳入研究数量有限(3项),均为II期研究;不同研究采用的ctDNA检测平台存在差异(PCR vs. NGS panel),可能引入异质性;无法进行个体患者数据(IPD)分析,限制了对深度分子亚组的探索;对照组中仅少数患者接受TAS-102+贝伐珠单抗(当前标准治疗),与现行临床实践存在一定时间差。
未来展望: ROMANCE-GOIM研究(比较西妥昔单抗+伊立替康 vs. TAS-102+贝伐珠单抗在三线阴性超选人群中的疗效)将提供更直接的对照证据。此外,基于ctDNA的动力学监测(如早期清除率)或可实现对再挑战疗效的早期预测,值得进一步探索。
结语: 本研究以严谨的方法学,为抗EGFR再挑战策略提供了迄今最高级别的循证支持。在后线治疗的“荒漠”中,精准筛选仍能开辟出“绿洲”。对于经ctDNA筛选的RAS/BRAF野生型患者,再挑战不是“重复用药”,而是一次基于肿瘤进化规律的“精准伏击”
ERBITAG:关于西妥昔单抗在RAS WT mCRC患者一线治疗中疗效的非干预性研究[5]
ERBITAG是一项非干预性研究,纳入728例在2010年至2018年期间接受西妥昔单抗一线治疗的RAS WT mCRC患者,旨在评估其在常规临床实践的疗效和安全性。研究采用Kaplan-Meier法分析OS和PFS,采用卡方检验比较选定的分类变量。
在基线特征中,中位年龄67岁,男性占69%,ECOGPS≤1分者占81.3%,左半肿瘤占64.4%,肝转移占73.4%,西妥昔单抗治疗前接受过肝转移灶切除者占16.4%,其中59.7%的患者达到R0切除。主要终点ORR为58.0%;在次要终点中,中位PFS为10.9个月,中位OS为23.6个月。基于西妥昔单抗治疗的肝和/或肺转移灶切除率为13.9%,其中肝转移灶切除率为18.9%。最常见的治疗期间出现的不良事件(TEAE)为痤疮样皮疹(所有级别:46.8%;3~4级:4.7%)。亚组分析显示,年轻患者(ORR、OS)、左半患者(ORR、PFS、OS)、低级别肿瘤患者(ORR、PFS、OS)、肝和/或肺转移灶已切除患者(PFS、OS)以及治疗中断患者(OS)的结局更好。采用全身抗生素和/或局部类固醇进行皮肤预防与更好的结局(ORR、OS、PFS)相关。

李晟教授:西妥昔单抗联合化疗在RAS WT mCRC一线治疗中的地位已由多项随机对照试验(如CRYSTAL、OPUS、FIRE-3、TAILOR)确立。然而,临床试验的严格入排标准往往无法完全反映真实世界患者的异质性。ERBITAG研究作为一项大型、前瞻性、非干预性研究,纳入了2010年至2018年间德国202个中心的728例RAS野生型mCRC患者,提供了真实临床环境下西妥昔单抗一线治疗的宝贵数据。本研究的核心价值在于:
第一,验证了临床试验结果在真实世界的可重复性。本研究中位PFS为10.9个月,中位OS为23.6个月,ORR达58.0%,与FIRE-3(PFS 10个月、OS 31个月、ORR 66%)和TAILOR(PFS 9.2个月、OS 20.7个月、ORR 61%)等关键研究高度一致。这一数据令人欣慰——它说明在规范的真实世界临床实践中,RAS野生型患者确实能够复现临床试验的获益水平。
第二,为肿瘤原发部位对疗效的影响提供了真实世界证据。本研究中,左半结肠癌患者(占64.4%)的ORR、PFS、OS均显著优于右半结肠癌患者(ORR 64.4% vs. 46.6%,PFS 12.1 vs. 7.6个月,OS 26.8 vs. 12.2个月)。这一差异与FIRE-3、CALGB/SWOG 80405等研究的回顾性分析结果高度吻合,进一步强化了“肿瘤部位应作为治疗决策重要依据”的临床共识。值得注意的是,本研究显示部分右半结肠癌患者仍可从西妥昔单抗治疗中获益(ORR 46.6%),这与ESMO指南中“右半肿瘤如需高缩瘤率可考虑抗EGFR治疗”的建议相符。
第三,提供了关于老年患者疗效的稀缺数据。老年患者(尤其>75岁)在临床试验中常代表性不足。本研究中,≤65岁患者与>75岁患者相比,ORR(64.9% vs. 45.5%)和OS(27.1个月 vs. 16.9个月)存在显著差异,但PFS无显著差异。这一发现提示:年龄本身不应对抗EGFR治疗构成绝对禁忌,但老年患者的整体获益确实受限于合并症、体能状态等因素,需个体化评估。
第四,强调了转移灶切除对长期生存的关键作用。本研究中,实现肝/肺转移灶切除的患者,中位OS长达61.0个月,而未切除者仅22.0个月(P < 0.0001)。这一差异远超任何药物干预所能达到的幅度,再次印证了“转化治疗-手术切除-长期生存”这一治疗路径在RAS野生型mCRC中的核心地位。研究中18.9%的肝转移局限患者实现了二次切除,这一比例与FIRE-3等研究相当,是临床实践的真实写照。
第五,对皮肤反应预防提供了真实世界洞见。61.4%的患者接受了皮肤反应预防(主要为系统性抗生素和/或维生素K1乳膏)。值得注意的是,接受预防性抗生素治疗的患者,ORR、PFS、OS反而更优,且未观察到治疗中断率增加。这一发现缓解了“抗生素可能影响疗效”的顾虑,支持在临床实践中积极采用皮肤毒性预防策略,以提高治疗依从性和患者生活质量。
本研究的局限性:作为非干预性研究,无法完全排除选择偏倚和混杂因素;部分数据缺失(如ECOG评分缺失7.8%);无独立中心影像学审核;未系统采集ctDNA等生物标志物数据,无法进行更深层次的分子分型分析。
未来展望:PARADIGM研究的ctDNA分析显示,基于循环肿瘤DNA的“阴性超选”可能进一步优化抗EGFR治疗的获益人群。期待更多真实世界研究能够整合液体活检数据,将“肿瘤部位”这一宏观变量与“分子图谱”这一微观特征相结合,实现更精准的患者筛选。
结语:ERBITAG研究是近年来罕见的大型、高质量真实世界研究,为RAS WT mCRC的一线治疗决策提供了坚实的现实依据。在规范的临床实践中,循证医学证据与真实世界疗效之间,可以没有鸿沟。
本期看点:
1. BEETS研究表明,在真实世界临床实践中,三联与双联疗法的生存结局相当,与BEACON试验结果一致。同时,三联疗法可能为具有不良PFs的患者带来潜在临床获益。
2. 一项系统评价和荟萃分析表明,恩考芬尼、西妥昔单抗和比美替尼三联疗法可为BRAF V600E突变型CRC患者带来有意义的生存改善和肿瘤缓解,尽管其毒性仍较显著。优化患者选择和不良事件管理对于更广泛的临床应用至关重要。
3. 一项研究结果表明,FASN驱动的脂质代谢是BRAF靶向治疗耐药的关键介导因素,并提示联合使用FASN抑制剂可能提高BRAF V600E CRC的治疗效果并延缓获得性耐药的产生。
4. 一项随机试验的荟萃分析表明,抗EGFR再挑战是分子选择的化疗难治性mCRC患者的有效治疗策略。从临床角度来看,抗EGFR再挑战治疗可在曲氟尿苷/替匹嘧啶联合贝伐珠单抗治疗进展后进行评估,或当肿瘤缓解是主要目标时进行评估。但这些结论应谨慎对待,并需要进一步验证。
5. ERBITAG研究为德国真实世界临床实践中大型RAS野生型mCRC队列中西妥昔单抗的应用提供了见解。西妥昔单抗联合一线化疗的临床结局和安全性数据与其他关键RCT的结果相似。
1. Kotani D, Inoue E, Denda T, et al. Real-world outcomes of encorafenib, cetuximab ± binimetinib for BRAF mutated metastatic colorectal cancer: the BEETS (JACCRO CC18) study. Oncologist. 2026;31(4):oyag068. doi:10.1093/oncolo/oyag068
2. Ansab M, Ramzan NUH, Ishaque G, et al. Safety and Efficacy of Triple Therapy Containing Encorafenib, Cetuximab, and Binimetinib for BRAF V600E-Mutated Colorectal Cancer: a Systematic Review and Meta-Analysis. J Gastrointest Cancer. 2026;57(1):42. Published 2026 Feb 12. doi:10.1007/s12029-026-01426-w
3. Geisen ME, Tessmann JW, Kelson CO, et al. Inhibition of fatty acid synthase enhances therapeutic efficacy and delays acquired resistance to BRAF-targeted therapy in colorectal cancer. Neoplasia. 2026;73:101283. doi:10.1016/j.neo.2026.101283
4. Kuznetsova O, Battaiotto E, Malvezzi G, et al. Anti-EGFR rechallenge compared with standard of care for patients with ctDNA RAS/BRAF wild-type chemorefractory metastatic colorectal cancer: A systematic review and meta-analysis. Crit Rev Oncol Hematol. 2026;220:105180. doi:10.1016/j.critrevonc.2026.105180
5. Sahm SW, Neumann UP, Zahn MO, et al. ERBITAG: Non-interventional study on the efficacy of cetuximab in first-line therapy in patients with RAS wild-type metastatic colorectal cancer. BMC Cancer. 2026;26(1):311. Published 2026 Feb 25. doi:10.1186/s12885-026-15753-5
排版编辑:Zika






苏公网安备32059002004080号