您好,欢迎您

2026 EBMT | 完全缓解期AML患者接受UD9/10(DQB1错配)与UD10/10无关供者造血干细胞移植的比较

03月18日
编译:肿瘤资讯
来源:肿瘤资讯
Session Type

Oral Session

Session Title

Oral Session 10 | Stem cell donor and source

摘要号

OS10-01

英文标题

COMPARISON OF UD9/10 WITH DQB1 MISMATCHES VS UD10/10 IN PATIENTS WITH AML TRANSPLANTED IN CR, A STUDY ON BEHALF ON THE ALWP

中文标题

ALWP研究:完全缓解期AML患者接受UD9/10(DQB1错配)与UD10/10无关供者造血干细胞移植的比较

讲者

Alessandro Criscimanna

讲者机构

San Raffaele Scientific Institute, Milan, Italy

背景

在8/8相合无关供者(MUD)移植(HCT)中,HLA-DRB1与HLA-DQB1之间的强连锁不平衡导致DQ位点通常一致,从而产生10/10全相合,但仍可能发生孤立性DQB1错配。在其余位点完全相合的MUD(UD 9/10)HCT中,孤立性单HLA-DQB1错配的临床影响仍不确定。虽然已有报道称HLA-DQB1的差异具有容许性,但EBMT指南在供者选择时仍会考虑DQB1。随着减低强度预处理方案应用的增加以及移植物抗宿主病(GvHD)预防方案的演变,DQB1错配在当代的意义值得重新评估。

方法

研究者代表ALWP进行了一项基于注册登记的研究,纳入2010年至2024年间在完全缓解(CR)期接受首次无关供者(UD)异基因造血干细胞移植(HCT)的成人急性髓系白血病(AML)患者,这些患者均具有HLA-A、B、C、DRB1和DQB1位点的高分辨率分型。研究包括UD 10/10或UD 9/10(孤立性DQB1错配)的HCT。共有16,083例MUD和627例UD 9/10患者可供分析。

基于HCT时年龄、HCT年份、干细胞来源、疾病状态、ELN2022细胞遗传学风险、Karnofsky功能状态(KPS)评分、患者性别、预处理方案强度、是否使用移植后环磷酰胺(PTCY)及体内T细胞清除(TCD)、以及供受者性别匹配(女性供者给男性受者)等因素,对UD 9/10(孤立性DQB1错配)与UD 10/10组进行了1:4配对分析。主要目的是评估孤立性HLA-DQB1错配对移植后结局的影响。

结果

在纳入的16,710例患者中,移植时中位年龄为57.7岁。HCT时疾病状态包括82.5%处于CR1。外周血是主要的移植物来源(94.6%)。42.7%的患者接受了清髓性预处理(MAC)方案。GvHD预防方案包括抗胸腺细胞球蛋白(ATG)、移植后环磷酰胺(PTCY)和Campath,使用比例分别为68.3%、9.6%和7.9%。供者中位年龄为28.9岁,其中UD 10/10组为28.8岁,UD 9/10 DQB1组为31.5岁。

匹配后,共纳入2,828例患者(UD 10/10 n=2,262;UD 9/10 DQB1 n=566)。UD 10/10组供者中位年龄仍较低(28.8岁 vs 31.5岁)。

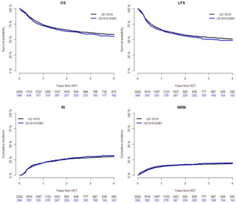
中位随访4.1年,HCT结局在HLA匹配组间无显著差异(图1)。在UD 10/10和UD 9/10 DQB1错配受者中,2年总生存率(OS)分别为65.6%(95%CI 63.4–67.6)和63.1%(58.7–67.2)(HR 1.09, 0.95–1.27; p=0.23);2年无白血病生存率(LFS)分别为57.2%(55.0–59.4)和56.0%(51.5–60.3)(HR 1.06, 0.93–1.22; p=0.38);2年累积复发率(RI)分别为26.0%和26.4%(HR 1.06, 0.89–1.27; p=0.48);2年非复发死亡率(NRM)分别为16.7%和17.6%(HR 1.06, 0.86–1.32; p=0.57)。

图片12.png

图1.  HCT结局

第100天时II-IV级急性GvHD(aGvHD)累积发生率分别为26.6%(95%CI 24.7–28.5)和22.5%(19.1–26.1)(HR 0.86, 0.72–1.03; p=0.11),而III-IV级aGvHD发生率分别为9.5%和6.9%(HR 0.77, 0.56–1.06; p=0.11)。2年慢性GvHD(cGvHD)累积发生率分别为34.4%(32.2–36.6)和29.4%(25.3–33.7)(HR 0.81, 0.68–0.98; p=0.03),广泛性/重度cGvHD发生率分别为10.0%和5.7%(HR 0.55, 0.37–0.81; p=0.002)。

结论

本研究表明,对于完全缓解期AML患者接受无关供者HCT,孤立性HLA-DQB1错配不影响2年OS、LFS、RI或NRM,这证实了在HLA-A、B、C和DRB1位点进行高分辨率配型相合后,DQB1错配的临床相关性有限。DQB1错配受者的cGvHD累积发生率较低。这一发现可能与各中心在免疫抑制剂减量策略或经验上的差异有关,值得进一步研究。

版权声明
本文专供医学专业人士参考,未经著作人许可,不可出版发行。同时,欢迎个人转发分享,其他任何媒体、网站如需转载或引用本网版权所有内容,须获得授权,且在醒目位置处注明"转自:良医汇-肿瘤医生APP"。