您好,欢迎您

标危儿童B-ALL一线治疗添新证,贝林妥欧单抗联合化疗可显著降低复发风险并提升无病生存期

02月25日
整理:肿瘤资讯
来源:肿瘤资讯

B细胞急性淋巴细胞白血病(B-ALL)是儿童最常见的恶性肿瘤,尽管经过数十年的治疗优化,其整体治愈率已大幅提升,但复发仍是导致儿童癌症相关死亡的主要原因之一。传统治疗手段主要依靠化疗剂量强化和风险分层优化,但近年来的研究发现,进一步的化疗强化不仅无法有效降低复发率,还可能增加治疗相关毒性,导致患者生活质量下降,B-ALL患者的治疗效果进入平台期。在此背景下,儿童肿瘤协作组(COG)开展了AALL1731 Ⅲ期临床试验,旨在探索在标准化疗基础上加入贝林妥欧单抗,对初治标准风险(SR)儿童B-ALL患者预后的改善作用,同时评估该联合方案的安全性。近日,The New England Journal of Medicine杂志发表了该研究的更新结果:贝林妥欧单抗的引入能显著提升患者的3年无病生存(DFS)率,且该获益在平均复发风险(SR-Avg)和高复发风险(SR-High)的标危患者中均稳定存在。这一研究为儿童标危B-ALL的一线治疗优化提供了高级别循证医学证据,有望改变这类患者的临床治疗格局。

图片1.png

研究方法:国际多中心随机对照,精准分层与严格设计保障研究可靠性

该研究为国际多中心、开放标签、随机对照Ⅲ期临床试验,研究中心覆盖美国、加拿大、澳大利亚和新西兰,于2019年6月至2024年6月共纳入4264例初治标危B-ALL患者,患者年龄≥1岁且<10岁,确诊时外周血白细胞计数<50000/μL,排除合并睾丸白血病或严重中枢神经系统(CNS)病变的患者。

研究首先对入组患者进行诱导化疗后的风险分层,根据细胞遗传学特征、中枢神经系统状态、微小残留病(MRD)水平等指标,将患者分为标危有利型(SR-Fav)、标危平均型(SR-Avg)和标危高型(SR-High),其中仅SR-Avg和SR-High患者纳入随机化研究,SR-Fav患者直接接受标准化疗。最终1440例患者完成随机分组,按1:1比例分为化疗组和化疗联合贝林妥欧单抗组,其中SR-Avg患者835例(化疗组418例、联合组417例),SR-High患者605例(化疗组304例、联合组301例)。研究的主要终点为DFS率,次要终点包括总生存(OS)率、复发累积发生率(CIR)、治疗相关不良事件等。

研究结果:联合方案显著提升DFS率,获益覆盖各亚组且复发率大幅降低

2024年7月,数据和安全监测委员会完成首次疗效中期分析,此时已发生81例研究预设的终点事件(占预计的41.8%),中位随访时间2.5年,研究结果已达到预设的提前终止标准,委员会建议终止患者随机化。

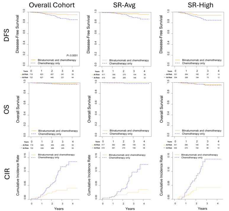
主要疗效终点方面,联合组的3年DFS率为96.0%±1.2%,显著高于化疗组的87.9%±2.1%,限制平均生存时间差异达72天(P=0.00004)。亚组分析显示,该获益在SR-Avg和SR-High患者中均显著:SR-Avg患者中,联合组3年DFS率为97.5%±1.3%,化疗组为90.2%±2.3%;SR-High患者中,联合组为94.1%±2.5%,化疗组为84.8%±3.8%。在校正年龄、性别、初诊白细胞计数、细胞遗传学风险等混杂因素后,联合贝林妥欧单抗仍能显著改善患者DFS率。

复发风险方面,联合组的3年CIR仅为3.3%±0.8%,远低于化疗组的11.8%±1.6%,且主要降低了孤立骨髓复发的风险:整体队列中联合组孤立骨髓复发率为1.5%±0.5%,化疗组为7.7%±1.3%;SR-Avg和SR-High亚组的骨髓复发率也均呈现类似的显著差异。但两组在孤立中枢神经系统复发、骨髓合并中枢神经系统复发的累积发生率上无明显差异,这与贝林妥欧单抗的中枢神经系统穿透性有限相关。此外,所有复发患者的白血病细胞均为CD19阳性,未发现CD19阴性复发的情况。

OS率方面,联合组和化疗组的3年OS率分别为98.4%±0.9%和97.1%±1.1%,组间无显著差异,这可能与复发后补救治疗的疗效有关;但SR-Avg患者中,联合组3年OS率达100%,显著优于化疗组的98.4%±1.0%,显示出该亚组的生存获益潜力。

图片2.png

图1. 根据随机化的疗效结果

亚组探索分析显示,贝林妥欧单抗的获益不受种族、民族、细胞遗传学风险、中枢神经系统状态、诱导化疗后MRD水平的影响,所有亚组患者均能从中获益。其中,西班牙裔患者的限制平均生存时间差异达150天,非西班牙裔黑人患者虽样本量较小,但接受联合治疗的患者均未出现复发,为消除儿童白血病的种族预后差异提供了新可能。唐氏综合征合并标危B-ALL的患者也能从联合方案中获益,联合组未发生终点事件,化疗组则有2例。

图片3.png

图2. 使用限制性平均生存时间估计的不同患者亚组的DFS

安全性方面,贝林妥欧单抗相关的3级及以上毒性反应发生率较低,化疗周期中未出现严重的CRS、癫痫等不良反应。整体而言,联合组和化疗组的治疗相关死亡率无显著差异,2年治疗相关死亡率均低于0.8%。但值得注意的是,SR-Avg患者中,联合组的3级及以上败血症和导管相关感染发生率为14.8%,显著高于化疗组的5.1%(P<0.001),且这类感染主要发生在后续的延迟强化化疗阶段,而非贝林妥欧单抗治疗周期;而SR-High患者中,两组的感染发生率无显著差异。此外,联合组的3级及以上过敏反应发生率显著低于化疗组(2.8% vs 7.2%,P=0.01),其余如发热性中性粒细胞减少、黏膜炎、胰腺炎等毒性的发生率组间无明显差异。研究中共发生5例缓解期死亡,均为SR-High患者,且均未发生在贝林妥欧单抗治疗周期内。

表1. 按随机化组列出的发生选定3级或以上毒性的患者比例

图片4.png

研究总结:贝林妥欧单抗成标危儿童B-ALL治疗新选择,未来可期

这项大样本Ⅲ期临床试验首次证实,在初诊标危儿童B-ALL的标准化疗中加入贝林妥欧单抗,能显著提升患者的DFS率,使SR-Avg和SR-High患者的3年DFS率均突破94%,达到此前标危有利型患者的治疗水平,且该获益覆盖了不同种族、细胞遗传学风险、MRD水平的亚组,为儿童标危B-ALL的一线治疗优化提供了关键证据。

从作用机制来看,贝林妥欧单抗的获益主要源于对骨髓中CD19阳性白血病细胞的特异性杀伤,大幅降低了孤立骨髓复发的风险,这也弥补了传统化疗在骨髓微小残留病清除中的不足。在安全性方面,该联合方案的整体耐受性良好,贝林妥欧单抗相关的严重毒性罕见,仅SR-Avg患者的感染风险略有升高,且可通过加强支持治疗进行防控,为临床应用奠定了安全基础。

总体而言,AALL1731研究为贝林妥欧单抗在初诊标危儿童B-ALL中的一线应用提供了高级别证据,有望成为这类患者的标准治疗方案。这一成果也标志着儿童B-ALL的治疗进入了化疗与免疫靶向治疗结合的新时代,为进一步提升治愈率、降低治疗相关毒性、消除预后差异奠定了基础。

参考文献

Gupta, Sumit, et al. "Blinatumomab in standard risk pediatric B-acute lymphoblastic leukemia." The New England journal of medicine 392.9 (2024): 875.

责任编辑:Mathilda
排版编辑:htt
版权声明
版权归肿瘤资讯所有。欢迎个人转发分享,其他任何媒体、网站如需转载或引用本网版权所有内容,须获得授权,且在醒目位置处注明“转自:良医汇-肿瘤医生APP”。