您好,欢迎您

贝林妥欧单抗巩固治疗或将改写高危复发儿童B-ALL预后,5年生存率显著提高

02月24日
整理:肿瘤资讯
来源:肿瘤资讯

儿童B细胞前体急性淋巴细胞白血病(B-ALL)的整体治愈率已显著提升,但高危首次复发患者仍是临床治疗的难点。这类患者的疾病进展迅速,传统化疗巩固后复发风险高,长期生存率低,异基因造血干细胞移植(allo-HSCT)是其缓解后的标准巩固手段,但移植前的疗效巩固质量直接影响移植成功率和长期生存。此前的中期分析(2年随访)已证实,贝林妥欧单抗作为第三次巩固治疗,相比传统化疗能显著提升高危首次复发儿童B-ALL的无事件生存(EFS)和总生存(OS),且能更深度清除微小残留病(MRD)。近日,发表于Leukemia杂志的一项国际多中心Ⅲ期临床试验5年长期随访结果重磅发布:对于高危首次复发的B-ALL儿童患者,在第三次巩固治疗中采用贝林妥欧单抗,相比传统化疗能显著提升EFS率和OS率,5年OS率近乎翻倍,且安全性更优,为这类预后极差的儿童患者带来了长期治愈的新希望。

图片16.png

研究方法:国际多中心随机对照,聚焦高危复发儿童群体

该研究为国际多中心、开放标签、随机对照Ⅲ期临床试验(NCT02393859),纳入2016年11月至2019年8月期间,来自多个国家的111例高危首次复发B-ALL儿童患者(年龄>28天且<18岁,费城染色体阴性)。患者需在诱导化疗和两周期巩固化疗后,骨髓形态学达到M1(原始细胞<5%)或M2(原始细胞 5%-<25%)标准方可入组。

患者按1:1比例随机分为两组:贝林妥欧单抗组(54例)接受连续4周静脉输注贝林妥欧单抗(15μg/m²/天);传统化疗组(57例)接受IntReALL HR 2010方案的第三周期传统化疗。达到第二次完全缓解(M1骨髓形态学)的患者后续均接受allo-HSCT。

研究的主要终点为 EFS;次要终点包括 OS、复发累积发生率、治疗结束时MRD缓解率(骨髓白血病细胞<10-4)、allo-HSCT后100天生存率及不良事件发生率。

研究结果:5年生存获益显著,安全性优势突出

5年长期随访结果显示,贝林妥欧单抗组的疗效优于传统化疗组,且获益持续稳定,安全性更优,为高危复发儿童B-ALL患者提供了更可靠的治疗选择。

核心生存结局:EFS与OS双重显著提升

EFS方面:贝林妥欧单抗组的5年EFS率达57.8%,显著高于传统化疗组的27.6%,风险比(HR)为0.38(P<0.001)。分层分析显示,无论患者年龄(1~9岁组 HR=0.34,P<0.001;<1岁或>9岁组HR=0.49,P=0.16)、基线MRD状态(MRD阴性组 HR=0.45,P=0.019;MRD阳性组 HR=0.28,P=0.020),贝林妥欧单抗组均展现出EFS优势,其中MRD阳性患者的获益更为显著。

OS方面:贝林妥欧单抗组的5年OS率高达78.4%,是传统化疗组(41.4%)的近两倍,HR=0.32(P=0.001)。各分层亚组中,1~9岁患者(HR=0.29,P=0.005)、基线MRD阴性患者(HR=0.37,P=0.020)和MRD阳性患者(HR=0.09,P=0.022)的OS均显著改善,<1岁或>9岁患者也呈现获益趋势(HR=0.43,P=0.16)。

图片17.png

图1.接受贝林妥欧单抗巩固治疗与常规化疗的高危首次复发B-ALL儿童患者的生存结局的Kaplan-Meier估计值。A)EFS和B)OS

复发与移植相关结局:复发风险大幅降低,移植成功率提升

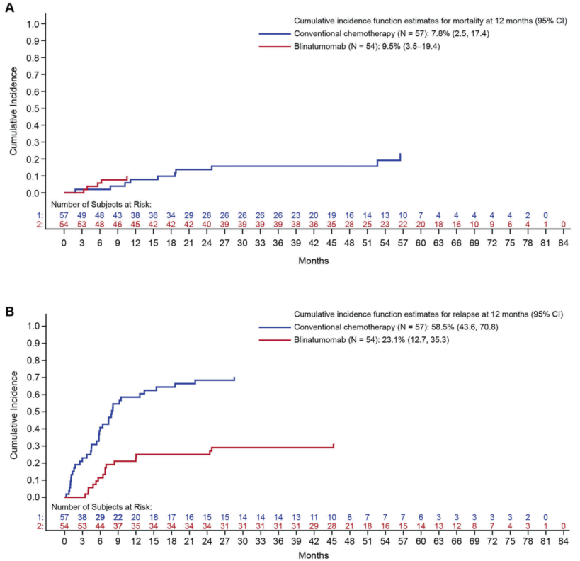
  • 复发风险:贝林妥欧单抗组的5年无复发生存率达63%,显著高于传统化疗组的31.4%(P<0.001);12个月复发累积发生率仅为23.1%,远低于传统化疗组的58.5%。贝林妥欧单抗组仅6例(11.1%)患者因复发或疾病进展死亡,传统化疗组则有18例(31.6%)。

图片18.png

图2. 接受贝林妥欧单抗巩固治疗与常规化疗的高危首次复发B-ALL儿童患者的累积死亡发生率。A)完全缓解期死亡和B)复发伴疾病以外原因死亡(竞争性事件)B-ALL
  • allo-HSCT相关:贝林妥欧单抗组接受allo-HSCT的患者比例(94.4%,51/54)显著高于传统化疗组(68.4%,39/57,P=0.0005);且贝林妥欧单抗组allo-HSCT后5年生存率达79.5%,显著高于传统化疗组的46.6%,提示贝林妥欧单抗的深度巩固为移植成功奠定了良好基础。

安全性:严重不良反应发生率显著更低

贝林妥欧单抗组的安全性优势显著,整体耐受性良好:

  • 贝林妥欧单抗组3级及以上治疗相关不良事件(TRAEs)发生率仅为16.7%,远低于传统化疗组的63.5%(P<0.001);

  •  细胞因子释放综合征(CRS)发生率低且程度轻微,贝林妥欧单抗组仅3.7%(2/54)出现1~2级CRS,传统化疗组为1.9%(1/52),两组均无3级及以上CRS发生,且所有CRS事件经标准治疗后均缓解;

  •  神经系统不良事件以1~2级为主,贝林妥欧单抗组发生率为57.4%,传统化疗组为32.7%,但贝林妥欧单抗组3级和4级神经系统不良事件发生率仅为3.7%和1.9%,整体可控;

  • 两组12个月非复发死亡率无显著差异(贝林妥欧单抗组 9.5% vs 传统化疗组 7.8%),且均未出现治疗相关死亡。

此外,贝林妥欧单抗组仅3例(6%)患者出现CD19阴性复发,传统化疗组为1例(2%),提示贝林妥欧单抗治疗后复发患者仍保留CD19靶向治疗的潜力。

研究总结:贝林妥欧单抗有望成为高危复发儿童B-ALL标准巩固方案,长期获益明确

这项5年长期随访的Ⅲ期临床试验,为贝林妥欧单抗在高危首次复发儿童B-ALL中的应用提供了最强级别证据:贝林妥欧单抗作为第三次巩固治疗,能显著降低复发风险,提升allo-HSCT成功率,使患者5年OS率近乎翻倍,且安全性远优于传统化疗,获益持续稳定,无长期安全性隐患。

总体而言,这项长期随访研究证实,贝林妥欧单抗为高危首次复发儿童B-ALL患者带来了长期生存的希望,其在疗效和安全性上的双重优势,使其成为这类患者巩固治疗的优选方案,将推动儿童B-ALL复发治疗进入精准免疫治疗的新时代。

参考文献

Locatelli, Franco, et al. "Blinatumomab consolidation in children with high-risk first-relapse B-cell precursor acute lymphoblastic leukemia: final 5-year follow-up analysis of a randomized multicenter phase 3 study." Leukemia (2025): 1-5.

责任编辑:Mathilda
排版编辑:htt
版权声明
版权归肿瘤资讯所有。欢迎个人转发分享,其他任何媒体、网站如需转载或引用本网版权所有内容,须获得授权,且在醒目位置处注明“转自:良医汇-肿瘤医生APP”。