您好,欢迎您

CRAFITY评分在免疫检查点抑制剂治疗的肝细胞癌患者中的预后影响

12月28日
整理:肿瘤资讯
来源:肿瘤资讯

肝细胞癌(HCC)作为全球癌症相关死亡的主要原因之一,其治疗格局在过去十年间经历了从单一抗血管生成药物向免疫联合疗法的历史性跨越。以IMbrave150研究为里程碑,阿替利珠单抗联合贝伐珠单抗的确立,不仅打破了索拉非尼长达十余年的一线治疗垄断地位,更将晚期HCC患者的中位总生存期(OS)延长至前所未有的水平 。然而,仅有约30%的患者能从免疫检查点抑制剂(ICIs)中获得持久的客观缓解,而相当比例的患者表现为原发性耐药或在治疗初期即发生疾病进展 。因此,开发一种无创、经济且能够同时反映宿主免疫状态与肿瘤生物学行为的复合生物标志物,对于实现HCC的精准治疗及风险分层具有迫切的临床意义。

CRAFITY评分是一种基于C反应蛋白(CRP)和甲胎蛋白(AFP)两个常规临床指标构建的新型预后评分系统。CRP反映了机体的系统性炎症状态,而AFP则是经典的肿瘤负荷标志物。鉴于炎症微环境与肿瘤免疫逃逸的密切联系,将两者结合可能更全面地反映患者的免疫状态和肿瘤生物学行为。近期发表于 iScience 的一项研究,通过系统评价和荟萃分析,全面评估了CRAFITY评分在接受ICIs治疗的HCC患者中的预后价值,为临床决策提供了强有力的循证医学依据。【肿瘤资讯】特整理该研究精华,以飨读者。

研究背景

肿瘤微环境中的慢性炎症已被证实是促进肿瘤进展和抑制抗肿瘤免疫反应的关键因素。CRP作为一种急性期反应蛋白,其水平升高通常与促炎细胞因子(如IL-6)的释放相关,预示着不良的免疫微环境。另一方面,AFP不仅是HCC诊断和监测的重要指标,高水平AFP还与肿瘤血管生成、细胞增殖及免疫抑制有关。

最初,CRAFITY评分是在接受PD-1抑制剂治疗的HCC患者中被提出的,定义为:AFP>100 ng/ml计1分,CRP>1 mg/dl计1分;总分0分为低危,1分为中危,2分为高危。尽管已有多项回顾性研究探讨了其预测价值,但不同研究的样本量、截断值及人群特征存在差异,导致结论的普适性尚待验证。因此,本研究旨在通过汇总现有证据,定量评估CRAFITY评分与HCC患者在ICI治疗下的总生存期(OS)、无进展生存期(PFS)及肿瘤缓解率之间的相关性,以期确立其作为通用预后工具的地位。

研究方法

本研究严格遵循PRISMA指南进行。研究者系统检索了PubMed、Embase、Web of Science及Cochrane Library等数据库,系统检索截止日期为 2025 年 6 月,共纳入 17 项符合条件的公开研究,总计 3,730 名患者。所有纳入研究的质量均通过 Newcastle-Ottawa Scale (NOS) 评估,评分范围为 6 至 8 分,表明方法学质量可靠。Meta-Analysis 的主要终点包括OS和PFS,次要终点为客观缓解率(ORR)和疾病控制率(DCR)。由于研究之间存在显著的统计学异质性,本研究对所有效应值(HR OR)均采用随机效应模型进行合并。

研究结果

CRAFITY评分与OS的显著相关性

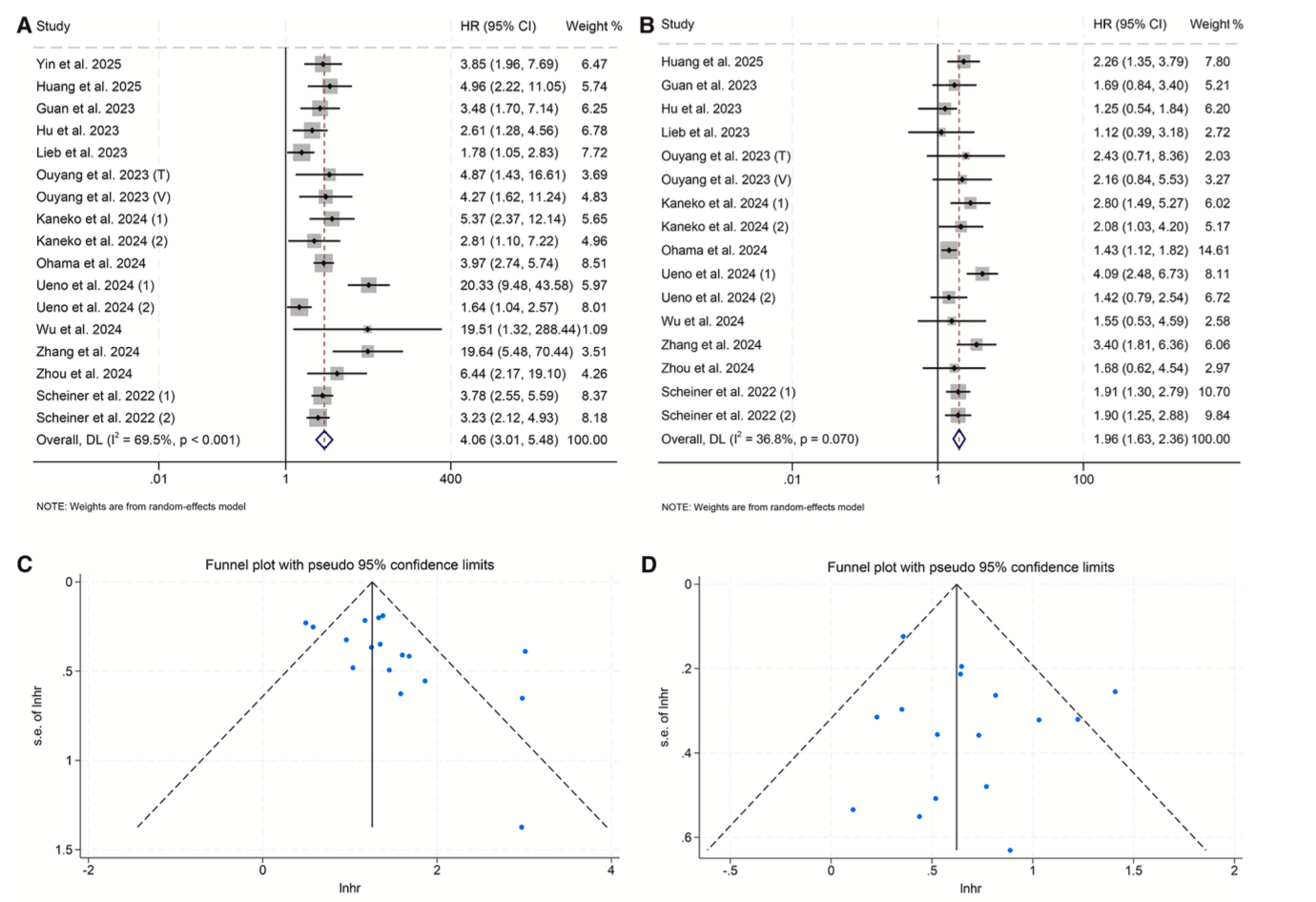
荟萃分析结果显示,CRAFITY评分是预测ICI治疗后HCC患者OS的强有力指标。与低CRAFITY评分(0分)患者相比,高评分(2分)患者的死亡风险显著增加,合并HR高达4.06(95% CI: 3.01-5.48, P<0.001)。即便是中等评分(1分)的患者,其死亡风险也几乎是低评分患者的两倍(HR= 1.96, 95% CI: 1.63-2.36, P=0.070)(图1)。这表明CRAFITY评分具有良好的风险分层能力,随着分数的增加,患者的生存获益呈梯度下降。

图片8.png

图1. CRAFITY基线分型预测HCC免疫治疗患者OS

CRAFITY评分与PFS及肿瘤缓解的关系

在PFS方面,CRAFITY评分同样展现出卓越的预测性能。高评分组(2分)相较于低评分组,疾病进展或死亡的风险显著升高(HR= 2.68, 95% CI: 1.95-3.68,P<0.001);中等评分组(1分)的风险也显著增加(HR=1.57, 95% CI: 1.25-1.97,P<0.001)(图2)。

此外,研究还分析了CRAFITY评分与肿瘤缓解率的关联。结果表明,低CRAFITY评分与更高的ORR和DCR相关。高评分患者往往表现出对ICI治疗的原发性耐药或更早的继发性耐药,提示全身性炎症和高肿瘤负荷共同削弱了免疫治疗的疗效。

图片9.png

图2. CRAFITY基线分型预测HCC免疫治疗患者PFS

亚组分析与敏感性分析

为了验证结果的稳健性,研究者根据治疗线数(一线 vs 后线)、治疗模式(单药 vs 联合)、地域(亚洲 vs 西方)等进行了亚组分析。结果显示,CRAFITY评分的预后价值在各亚组中保持一致,未受主要混杂因素的显著影响。敏感性分析也证实,逐一剔除单个研究后,合并结果未发生实质性改变,表明结论具有高度的可靠性。

真实世界数据的临床佐证

为了进一步夯实上述结论,研究团队对其中心的129例患者进行了详细的生存分析。该队列具有典型的中国HCC患者特征,绝大多数(79.07%)合并病毒性肝炎,且近四分之三(74.42%)伴有肝硬化 。根据CRAFITY评分系统,低、中、高风险组患者分别占比27.91%、41.86%和30.23%。Kaplan-Meier生存曲线分析清晰地展示了三组患者生存轨迹的分离(图3)。在总生存期方面,低CRAFITY评分组患者展现出显著的生存优势,中位OS长达25.6个月(95% CI: 14.0-未达到);相比之下,中评分组的中位OS缩短至18.0个月(95% CI: 11.2-26.7),而高评分组患者的预后极差,中位OS仅为6.2个月(95% CI: 4.6-16.3),组间差异具有极显著的统计学意义(<0.001)。

图片10.png

图3. CRAFITY基线分型预测回顾性队列HCC免疫治疗患者OS

同样,在无进展生存期方面,低评分组的中位PFS达到10.1个月,显著优于中评分组的5.6个月和高评分组的3.0个月(P <0.001)。这一单中心验证数据不仅重现了荟萃分析的趋势,更为CRAFITY评分在以乙肝相关性肝癌为主的中国人群中的适用性提供了直接的证据支持,证明了其作为一种普适性预后工具的稳健性。

结论

本系统回顾与 荟萃分析结合独立队列验证一致证实,CRAFITY 评分是预测 HCC 患者接受 ICIs 治疗后生存结局的可靠生物标志物。更高的基线 CRAFITY 评分与显著缩短的 OS 和 PFS,以及更低的 ORR 和 DCR 独立相关。需要指出的是,本研究的局限性主要包括:所有纳入研究均为回顾性,可能存在选择偏倚和混杂因素。此外,多数研究来自东亚人群,限制了结果对其他种族或 HCC 病因学群体(如西方国家常见的非酒精性脂肪肝炎相关 HCC)的普遍性。最后,不同研究间在治疗方案(ICI 单药 vs 联合治疗)和基线特征上存在异质性。但综合而言,CRAFITY评分提供了一种简单、可及的工具,用于实现晚期 HCC 患者的风险分层和个性化治疗指导。未来的研究应侧重于通过更大规模、前瞻性临床试验来验证 CRAFITY 评分的预后效用,并探索基于该评分的联合治疗策略,以进一步优化 HCC 患者的临床管理。

参考文献

Zhang L, Zhang Y, Wang K, Feng J, Chen C, Liu X, Wang W. Prognostic impact of CRAFITY score in hepatocellular carcinoma patients treated with immune checkpoint inhibitors. iScience. 2025;28:113976. doi:10.1016/j.isci.2025.113976

审批编号:CN-174991

过期日期:2026-12-17

声明:本材料由阿斯利康提供支持,仅供医疗卫生专业人士参考

责任编辑:肿瘤资讯-Skye
排版编辑:肿瘤资讯-Sally
版权声明
版权归肿瘤资讯所有。欢迎个人转发分享,其他任何媒体、网站如需转载或引用本网版权所有内容,须获得授权,且在醒目位置处注明“转自:良医汇-肿瘤医生APP”。

评论
12月28日
武亚东
首都医科大学附属北京友谊医院 | 肿瘤外科
好好学习天天向上