您好,欢迎您

阿柏西普(aflibercept)作为一线药物治疗转移性结直肠癌可行吗?

2016年04月23日

作者:Dr. Li 

来源:全球结直肠医学高峰论坛


目前转移性结直肠癌(mCRC)药物治疗已经成为热门话题,尤其针对特异性分子靶点的靶向药物治疗已成为mCRC治疗的新方向。研究表明针对表皮生长因子受体(epidermal growth factor receptor, EGFR)信号传导通路的分子靶向药物西妥昔单抗和帕尼单抗以及针对血管内皮生长因子(vascularendothelial growth factor, VEGF)信号传导通路的分子靶向药物贝伐珠单抗作为一线化疗方案,均能延长 mCRC 患者的总体生存(OS)。阿柏西普是一种新型强力血管形成抑制剂,能阻止肿瘤生长,属可溶性VEGF 受体融合蛋白,可与VEGF-A、VEGF-B 和胎盘生长因子结合。一项Ⅲ期临床研究结果显示阿柏西普加入二线治疗方案,能显著延长 mCRC 患者的总体生存时间(OS)。2012 年阿柏西普被美国食品和药物管理局批准用于 mCRC 患者。ESMO及NCCN 临床实践指南都推荐一线接受奥沙利铂联合靶向药物治疗进展患者,应该考虑最有效的治疗,选择FOLFIRI/伊立替康联合阿柏西普(Aflibercept)。有人会问,阿柏西普作为一线药物治疗转移性结直肠癌可行吗?患者能获益吗?ESMO及NCCN 均未推荐。

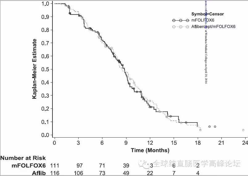
最近Folprecht G等在Ann Oncol.发表了一篇文章给出了答案。该研究目的评价奥沙利铂联合靶向药物阿柏西普作为一线治疗方案治疗mCRC的疗效。作者将mCRC患者随机分配接受一线治疗mFOLFOX6 / aflibercept(4毫克/公斤)或单独mFOLFOX6治疗两组。临床II期研究的主要终点是各组12个月内无进展生存(PFS)患者的比例。随机纳入的236患者,其中227名和235名患者分别进行了疗效分析和安全性分析。结果显示:在12个月中无进展生存(PFS)的概率25.8%(95%置信区间:17.2-34.4)aflibercept/mFOLFOX6组,21.2%(95%置信区间:12.2-30.3)mFOLFOX6组。PFS中位值为8.48个月(95%置信区间:7.89-9.92)aflibercept/mFOLFOX6组和8.77个月(95%置信区间:7.62-9.27)mFOLFOX6组,aflibercept/mFOLFOX6与mFOLFOX6的风险比是1.00(95%置信区间:0.74-1.36)。反应率(RR)分别为49.1%(95%置信区间CI:39.7-58.6)和45.9%(95%置信区间:36.4-55.7)无显著性差异。最常见的治疗诱发的3/4级不良事件(AEs)排除实验室异常报告,aflibercept/mFOLFOX6与mFOLFOX6神经病变(16.8%比17.2%)和腹泻(13.4%比5.2%)。中性粒细胞减少3/4级发生在36.1%和29.3%。最常见的VEGF抑制剂的3/4 Aes有显著差异, aflibercept / mFOLFOX6与mFOLFOX6高血压(35.3%比1.7%),蛋白尿(9.2%比0%),深静脉血栓形成(5.9%比0.9%)和肺栓塞(5.9%比5.2%)。所以作者认为奥沙利铂联合阿柏西普作为一线治疗方案治疗mCRC在无进展生存(FPS)方面没有明显差异,反而增加了药物的毒性反应。不建议用于一线治疗。

1234.png

责任编辑:Dr.q


参考文献:

1.G. Folprecht, C.Pericay, M. P. Saunders, A. etal .Oxaliplatin and 5-FU/folinic acid (modifiedFOLFOX6) with or without aflibercept in first line treatment of patients withmetastatic colorectal cancer – the AFFIRM study. Ann Oncol. 2016 Apr 18. pii: mdw176. [Epub ahead of print]

评论
2016年04月25日
安徽中医药大学第一附属医院 | 内科
不断完善
2016年04月25日
安徽中医药大学第一附属医院 | 内科
赞赞赞
2016年04月25日
安徽中医药大学第一附属医院 | 内科
推荐一线治疗