您好,欢迎您

干性-缺氧相关基因PPARGC1A、PFKFB3和SLC2A5与肝细胞癌预后及肿瘤免疫微环境的相关性研究

2025年12月23日
整理:肿瘤资讯
来源:肿瘤资讯

肝细胞癌(HCC)作为全球第六大常见癌症及第三大癌症致死原因,其高复发率和致死率一直是临床治疗的巨大挑战。尽管近年来在早期诊断和综合治疗方面取得了一定进展,但晚期患者的预后依然不容乐观。肿瘤干细胞(CSCs)作为肿瘤复发和耐药的根源,其具备的自我更新和分化潜能是导致治疗失败的关键因素。与此同时,实体肿瘤中普遍存在的缺氧微环境不仅促进了肿瘤的代谢重编程,还通过HIF-1α等途径诱导肿瘤细胞获得干性特征,进一步加剧了肿瘤的侵袭性和难治性。


鉴于干性和缺氧在肝癌进展中的协同作用,单纯针对某一特征的评估往往难以全面反映肿瘤的生物学行为。因此,构建一个整合干性与缺氧特征的综合预后模型,对于指导HCC的临床分层和个性化治疗具有重要意义。近期发表于 Translational Cancer Research 的一项研究,利用TCGA数据库的大样本转录组数据,构建一个基于干性-缺氧关键基因的预后特征模型,评估其对 HCC 患者总体生存率(OS)的预测能力,并深入探究其与肿瘤免疫微环境(TIME)的关联,从而为 HCC 的风险分层和精准免疫治疗提供新的分子标志物。【肿瘤资讯】特整理该研究精华,以飨读者。

研究背景

肿瘤干性是指肿瘤细胞拥有类似正常干细胞的自我更新和多向分化潜能,这使得肿瘤具有无限增殖、转移和耐药的能力。既往研究表明,缺氧微环境是维持和诱导肿瘤干性的重要外部因素。例如,缺氧可通过HIF-1α依赖性途径促进HCC细胞的干性转化。此外,一些缺氧响应基因如 PPARGC1A、PFKFB3 和 SLC2A5在肿瘤代谢和进展中扮演重要角色,但它们作为干性-缺氧联合标志物在HCC预后评估中的价值尚未被系统阐明。本研究旨在通过生物信息学手段结合体外实验,填补这一空白,为HCC的精准诊疗提供新的分子标志物。

研究方法

本研究从TCGA数据库获取了365例HCC患者的转录组数据及临床信息。首先,采用OCLR(One-Class Logistic Regression)机器学习算法计算每个样本的mRNA干性指数(mRNAsi),以量化肿瘤的干性特征。同时,从MSigDB数据库下载缺氧相关基因集。通过相关性分析筛选出109个与干性指数显著相关的缺氧基因,定义为“干性-缺氧基因”。

在模型构建阶段,研究者将样本随机分为训练集和验证集。利用单因素Cox回归分析初筛预后相关基因,随后通过多因素Cox回归及LASSO回归分析,最终确定了3个关键基因(PPARGC1A, PFKFB3, SLC2A5)用于构建风险评分模型。基于该评分的中位数将患者分为高风险组和低风险组,并通过Kaplan-Meier(K-M)生存曲线评估模型的预测能力。

此外,研究还利用CIBERSORT算法分析了22种免疫细胞的浸润情况,探讨了风险评分与免疫微环境及免疫检查点基因表达的相关性。最后,通过qRT-PCR在人HCC细胞系(HepG2, Hep3B)及正常肝细胞系(LO-2)中验证了关键基因的表达,并模拟缺氧环境观察基因表达的动态变化。

研究结果

干性-缺氧预后模型的构建与验证

经过严格筛选,研究确定了 PPARGC1A、PFKFB3 和 SLC2A5 为核心基因构建预后模型。其中,PPARGC1A 的回归系数为负,提示其为保护性因素(HR<1),与良好的预后相关;而 PFKFB3 和 SLC2A5 系数为正,为风险因素(HR>1),与不良预后相关。K-M生存分析显示,在训练集、验证集及总体数据集中,高风险组患者的总生存期(OS)均显著低于低风险组(P<0.05)(图1)。这一结果有力地证实了该三基因模型在区分HCC患者预后风险方面的稳健性和可靠性。

图1. 风险模型的K-M生存分析。(A) 训练集、(B) 验证集及 (C) 总体数据集中,高风险组(黄色)患者的生存率均显著低于低风险组(蓝色)。

风险评分与临床病理特征及独立预后价值

进一步分析发现,高风险评分与晚期肿瘤分期(Stage III-IV)及较高的病理T分期(T3-T4)显著相关(P<0.01),这表明该模型反映的干性-缺氧特征与肿瘤的恶性进展密切挂钩(图2)。

图2. 临床特征分析

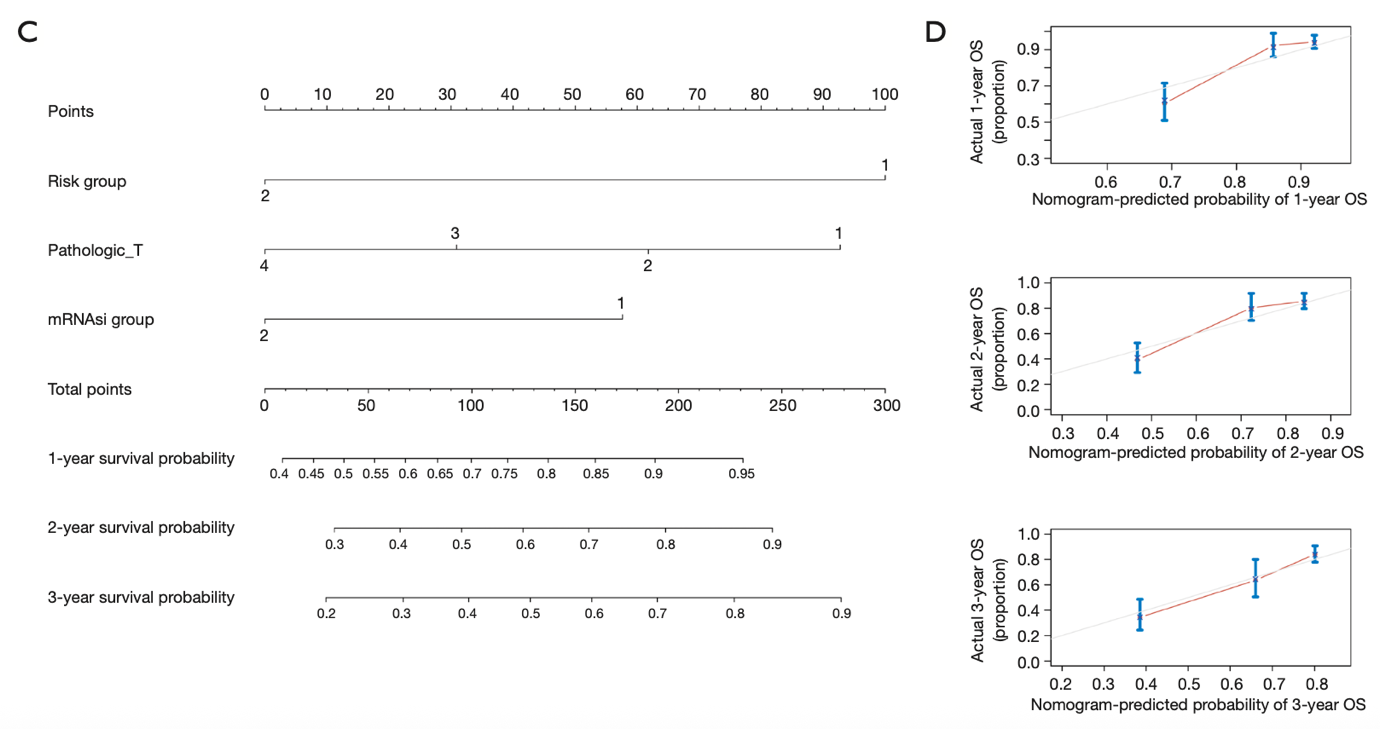
单因素和多因素Cox回归分析表明,风险评分是独立于TNM分期、mRNAsi等因素之外的独立预后因子(HR> 2.7, P<0.001)。基于此,研究者构建了包含风险评分、病理T分期和干性指数的列线图,该工具能较准确地预测患者的1年、2年及3年生存率(图3)。

图3. 独立预后因子的列线图

干性-缺氧特征塑造免疫抑制微环境

肿瘤免疫微环境(TIME)对于免疫治疗的响应至关重要。CIBERSORT分析揭示,高风险组的免疫细胞组成呈现出明显的免疫抑制特征:调节性T细胞(Tregs)、M0型巨噬细胞和中性粒细胞的浸润比例显著增加;而具有抗肿瘤功能的CD4+记忆T细胞(静息状态)和活化NK细胞的比例则显著降低(图4)。

图4. 肿瘤浸润免疫细胞分析。红色代表高风险组,蓝色代表低风险组

此外,研究还发现高风险组中多个关键免疫检查点基因的表达水平显著上调 (P<0.05),包括 PDCD1 (PD-1)、HAVCR2 (TIM-3)、CTLA4VTCN1 (B7-H4) 和 CD274 (PD-L1)(图5)。这一发现提示,干性-缺氧状态可能诱导了免疫检查点的表达,从而介导免疫逃逸。对于这部分高风险患者,免疫检查点抑制剂可能具有潜在的治疗价值。

图5. 高低风险组免疫检查点表达比较

功能富集与体外实验验证

KEGG通路富集分析显示,风险评分与代谢相关通路(如聚糖生物合成、嘌呤代谢)及p53、MAPK信号通路密切相关。这表明干性与缺氧可能通过重塑肿瘤代谢和激活关键信号通路来驱动恶性进展。体外实验结果显示,与正常肝细胞LO-2相比,HCC细胞系HepG2中 SLC2A5 显著高表达。更有趣的是,在物理缺氧(1% O2)或化学缺氧(CoCl2)条件下,HepG2和Hep3B细胞中 SLC2A5 的表达进一步上调,而 PPARGC1A  PFKFB3 的表达则显著下调(图6)。这一动态变化证实了这些基因确实是缺氧响应性的,且其表达模式与生物信息学预测相符(PPARGC1A 在肿瘤中通常低表达且受缺氧抑制)。

图片17.png

图6. 缺氧条件下模型基因在HCC细胞系中的表达变化

结论

综上所述,本研究成功构建了一个基于 PPARGC1A、PFKFB3 和 SLC2A5 的干性-缺氧基因预后模型。该模型不仅能准确预测HCC患者的生存期,还是独立于TNM分期的预后因子。更重要的是,高风险评分与免疫抑制微环境及免疫检查点的高表达密切相关。尽管本研究基于回顾性数据,且需要更多临床样本验证,但其发现为开发针对HCC干性和缺氧特征的靶向治疗及免疫联合治疗策略提供了重要的理论依据。

参考文献

Wang D, Wang R, Zhang Y, et al. Stemness-hypoxia genes PPARGC1A, PFKFB3, and SLC2A5 are associated with prognosis and tumor immune microenvironment in hepatocellular carcinoma. Transl Cancer Res. 2025;14(7):4009-4023. doi:10.21037/tcr-24-2030

审批编号:CN-174984

过期日期:2026-12-17

声明:本材料由阿斯利康提供支持,仅供医疗卫生专业人士参考

责任编辑:肿瘤资讯-Skye
排版编辑:肿瘤资讯-Sally
版权声明
版权归肿瘤资讯所有。欢迎个人转发分享,其他任何媒体、网站如需转载或引用本网版权所有内容,须获得授权,且在醒目位置处注明“转自:良医汇-肿瘤医生APP”。