您好,欢迎您

【会议资讯】STAS阳性可作为I期EGFR突变NSCLC患者的独立预测因素

2025年12月02日
整理:肿瘤资讯
来源:肿瘤资讯

气腔播散(STAS)是一种重要的不良预后因素,最近已被引入第9版TNM分期系统,作为I期肺癌的组织学描述指标之一。虽然已知STAS阳性(STAS+)与腺癌相关,但EGFR突变非小细胞肺癌(NSCLC)中STAS阳性患者的流行病学、分子特征以及预后意义仍不明确。今年ASCO大会上的一项研究探索了STAS阳性/阴性I期EGFR突变NSCLC患者的分子图谱特征和预后。

研究简介:

研究纳入新加坡国家癌症中心被诊断为I期的肺腺癌(AJCC第8版)患者,术后至少随访3年,且EGFR和STAS状态已知(+或-)。对新鲜冷冻的肿瘤和正常样本进行全外显子组测序(WES)和RNA测序。采用SP263法对PD-L1表达水平进行免疫组化评分。采用Wilcoxon和Fisher精确概率法进行相关性分析,采用KaplanMeier法进行生存分析。

主要结果:  

2016年1月1日至2021年12月31日,共纳入300例患者, EGFR突变型(EGFRm)、EGFR野生型(EGFRwt)患者分别有203例、97例。无论在EGFR突变型还是EGFR野生型患者中,STAS阳性和更高组织学分级显著相关(分别为p<0.001和p=0.011)。在EGFR突变患者中,STAS阳性还与淋巴血管侵犯(LVI)显著相关(p<0.001);而EGFRwt患者中这种差异无显著性(p=0.135)。在两组患者中,STAS状态与患者的中位年龄、性别、吸烟史等基本特征均无显著相关性;比如在EGFR突变患者中,STAS阳性和阴性患者中的从不吸烟者(77.2% vs 76.4%,p=0.248)和女性(52.5% vs 60.8%,p=0.292)患者占比无显著差异;EGFR突变类型分布也相似(ex19del,43.6% vs 41.2%;L858R,37.6% vs 44.1%;其他,18.8% vs 14.7%,p=0.576)。

STAS+/-患者的基线特征

EGFR突变型、EGFR野生型患者STAS阳性的发生率相似(49.8% vs 56.7%,p=0.316)。EGFR突变患者中,STAS阳性患者的5年无病生存(DFS)率明显低于STAS阴性患者(67.8% vs 93.2%,p=0.005),但EGFR野生型患者中STAS阳性或阴性患者的DFS结果无明显差异(78.9% vs 82.0%,p=0.6)。

按STAS分层的DFS结果

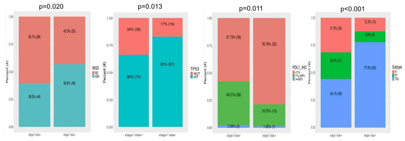
在EGFR突变患者中,193例患者进行了WES和RNA测序。STAS阳性患者中TP53共突变(60.7% vs 43.2%,p=0.020)和全基因组加倍(WGD)(34% vs 17%,p=0.013)的发生率显著高于STAS阴性患者。在共突变或拷贝数变异方面未观察到其他显著差异。此外,STAS阳性患者中PD-L1表达≥1%(42.3% vs 21.2%,p=0.011)和非TRU转录组亚型(55.9% vs 22.2%,p=0.001)占比也显著高于STAS阴性患者。调整分期(1A vs 1B)、年龄、吸烟状况、性别、组织学分级和LVI因素后,STAS阳性仍然是I期EGFR突变患者DFS较差的独立预测因素(HR=4.0,p=0.04)。

STAS阳性患者的分子特征

结论:

STAS阳性可独立预测I期EGFR突变NSCLC患者较差的DFS结果。STAS阳性I期EGFR突变患者中,TP53共突变、WGD、非TRU亚型和PD-L1≥1%的发生率高于STAS阴性患者。研究结果表明,STAS阳性可作为I期EGFR突变的风险分层因素。

参考文献

Genomic characterization of STAS in stage 1 EGFR-mutated NSCLC and prognostic implications. Abstract 8029, 2025ASCO.

审批编号:CN-172633

过期日期:2026-2-23

本材料由阿斯利康提供,仅供医疗卫生专业人士参考

责任编辑:肿瘤资讯- Yuno
排版编辑:肿瘤资讯-Sally
版权声明
版权归肿瘤资讯所有。欢迎个人转发分享,其他任何媒体、网站如需转载或引用本网版权所有内容,须获得授权,且在醒目位置处注明“转自:良医汇-肿瘤医生APP”。