免疫治疗引领了晚期NSCLC治疗的变革,目前已有3个免疫检查点抑制剂获批用于晚期NSCLC。这一荟萃分析汇总了免疫治疗用于晚期NSCLC的III期临床研究,并探讨PD-L1表达在免疫疗效预测中的价值。
背景
癌细胞通过抑制T细胞活性来逃避免疫反应(图1)。免疫检查点抑制剂通过阻挡PD-1和PD-L1(PD-L1抑制剂)或PD-L1/2(PD-1抑制剂)的结合,激活T细胞的活性。目前,已有两个PD-1抑制剂(纳武利尤单抗nivolumab和帕博利珠单抗(pembrolizumab)和一个PD-L1抑制剂(atezolizumab)获得FDA批准用于含铂化疗或靶向治疗进展后的晚期NSCLC二线治疗,此外帕博利珠单抗单药还获批用于部分选择性患者的一线治疗。

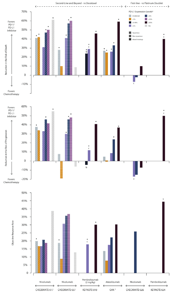
图1. 外周组织免疫系统激活和PD-1/PD-L1调节抗肿瘤反应
关于免疫检查点抑制剂的疗效预测标志物一直是研究的热点,PD-L1表达是唯一一个经过前瞻性III期临床研究验证的预测标志物,其他的标志物如肿瘤突变负荷(TMB)也显示出一定的前景。III期研究结果显示,PD-L1表达的预测作用不一,是否应该依据PD-L1表达来筛选患者仍存在争议。此外,不同药物伴随的PD-L1表达检测方法和抗体不同,cut-off值也不同。这一荟萃分析汇总了免疫治疗用于晚期NSCLC的III期研究,并探讨PD-L1表达作为疗效预测标志物的价值。
方法
系统性检索了pubmed上关于NSCLC免疫治疗的III期临床研究,截止日期为2016年11月15日;同时查阅了2015-2016年ASCO,ESMO和WCLC会议摘要。
结果
共纳入6项PD-1/PD-L1用于晚期NSCLC的随机III期临床研究,分别为二线或以上治疗的CHECKMATE-017,CHECKMATE-057,KEYNOTE-010,OAK研究和一线治疗的CHECKMATE-026和KEYNOTE-024研究。下表1和2分别总结了6大临床试验中ITT人群的疗效和安全性数据。
表1. 评估免疫检查点抑制剂治疗晚期NSCLC的主要疗效数据(ITT人群)


表2. 评估免疫检查点抑制剂治疗晚期NSCLC的免疫相关安全性数据(表中包括发生率>=3%的任意免疫相关的AE)

讨论
CHECKMATE-017研究显示,纳武利尤单抗单药对比多西他赛用于鳞癌患者(主要为既往和当下吸烟者,占92%),可降低41%的死亡风险(P<0.001,图2)。在其他研究中也观察到相似的结果,OAK研究不同组织学亚型患者的疗效分析:鳞癌(死亡风险降低27%,P=0.0383),非鳞癌(死亡风险降低27%,P=0.0015);CHECKMATE-057(死亡风险降低27%,P=0.002)。CHECKMATE-017研究和OAK研究中,鳞癌患者的疗效差异可能是因为研究入组人群的不同。此外,OAK研究中多西他赛组的患者后续有17%交叉接受了免疫治疗,而CHECKMATE-017研究中对照组接受免疫治疗的患者仅占2%,这可能降低了atezolizumab的生存获益。在CHECKMATE-057研究入组的非鳞癌患者中,20%的非吸烟者未观察到生存获益(HR 1.02),这可能是因为这部分患者的突变负荷较低。在OAK研究中,既往/当下吸烟者观察到显著的生存获益(HR 0.74;95%CI:0.61-0.88),而未吸烟者仅显示出生存获益的趋势,无统计学差异(HR 0.71;95%CI:0.47-1.08)。这些结果提示除了患者的组织学类型和突变负荷外,还有其他因素影响免疫治疗的疗效。
关于PD-L1表达与免疫治疗的疗效一直是研究的热点。除CHECKMATE-017研究外,其他二线治疗的研究均观察到PD-L1表达水平与OS的相关性(图2)。CHECKMATE-017研究鳞癌患者中未观察到PD-L1表达水平与患者疗效的关系可能是因为两治疗组之间PD-L1表达水平的差异,部分患者未检测PD-L1表达(检测了PD-L1表达的患者占83%)以及未采用PD-L1表达的进行分层。OAK和KEYNOTE010研究中,PD-L1分层分析结果显示,随着PD-L1表达水平的增高,显著减少患者的死亡风险。在OAK研究中,不同PD-L1表达分组的患者中,OS存在显著差异(P=0.0086);此外,PD-L1>=50%的患者OS显著更优:CHECKMATE-057研究(TC>=50%, HR 0.35, 95% CI 0.22–0.55),OAK研究(TC >=50%或IC>=10%, HR 0.41, 95% CI 0.27–0.64, P <0.0001),KEYNOTE-010研究(TC >=50%, HR 0.53, 95% CI 0.40–0.70),提示PD-L1高表达具有较强的预测作用。来自KEYNOTE-001研究的多因素分析显示,PD-L1表达相比于组织学具有更好的预测ORR的作用(ORR 4.45 vs 1.16),这就提示PD-L1表达是一个更有潜力的疗效预测指标。
目前,对于PD-L1未选择或轻度选择(>=1%PD-L1)的非鳞癌患者,以及EGFR突变,三线治疗和伴CNS转移的非鳞癌患者,免疫检查点抑制剂的疗效仍然未知。PD-L1未选择且伴有EGFR突变的患者从多西他赛的治疗中获益更多:CHECKMATE-057研究(占14%,HR 1.18, 95% CI 0.69–2.00)和OAK研究(占8%,HR 1.24, 95% CI 0.71–2.18)。在KEYNOTE-010研究中,EGFR突变伴PD-L1>=1%的患者,观察到帕博利珠单抗获益的趋势(HR 0.88,95% CI 0.45–1.70)。这3个研究均纳入了部分三线治疗的患者(11-30%),仅在OAK研究中观察到atezolizumab获益的趋势(HR 0.80, 95% CI 0.57–1.12)。3个研究均有纳入CNS转移的患者,仅在OAK研究中观察到atezolizumab显著的生存获益(占14%,HR 0.54, 95% CI 0.31–0.94)。考虑到免疫检查点抑制剂用于三线治疗,EGFR突变患者或CNS转移患者的疗效尚未完全明确,PD-L1表达水平在患者二线治疗选择上可能具有一定的指导意义。
另一个重要的问题是关于PD-L1<1%的非鳞癌患者能否从免疫检查点抑制剂单药治疗中获益,目前答案尚未确定。CHECKMATE-057研究中,纳武利尤单抗对比化疗未观察到疗效差异,但在OAK研究的PD-L1<1%的非鳞癌患者中,atezolizumab相比化疗显示出OS获益(HR 0.75)。尽管OAK研究根据组织学类型和PD-L1表达水平进行了亚组分析,但患者的疗效还有可能受到基线特征以及SP142抗体检测的影响。
来自CHECKMATE-057研究的分析还提示,对于部分选择性的PD-L1<1%的非鳞癌患者,免疫检查点抑制剂的使用需要慎重。欧洲药品管理局的事后分析显示,PD-L1<1%的患者接受纳武利尤单抗对比多西他赛,<3个月的死亡率接近增加1倍(24.1% vs 12.9%);二次探索性分析显示对于合并差的预后因素和/或具有疾病侵袭性的患者,纳武利尤单抗治疗反而有害。这一结果被另一项回顾性分析确认,入组I期研究中131例可评估疗效的患者,12例(9%)患者在接受PD-1/PD-L1治疗后,肿瘤生长加速超过2倍,与高龄有关(P<0.05)。这些结果提示,尽管部分PD-L1<1%的患者可以从免疫检查点抑制剂的治疗中获益或取得持久疗效,但有一部分高龄或合并差的预后因素或具有疾病侵袭性的患者,免疫检查点抑制剂的治疗反而有害,在选择治疗方案时应该慎重。
一线治疗
不同于二线治疗,一线治疗的研究主要在PD-L1选择、非鳞癌为主(76-82%)、EGFR/ALK阴性的NSCLC患者中进行,且研究结果存在争议。CHECKMATE-026研究,在PD-L1>=5%的患者中,纳武利尤单抗相比于含铂双药化疗并没有显著改善PFS(HR 1.15,P-0.25),OS(HR 1.02,P=NR)或ORR(26% vs 33%),见图2. 尽管研究结果显示PD-L1表达于疗效存在显著相关性,但即使在PD-L1高表达(>=50%)的患者中,也没有看到纳武利尤单抗组的显著获益。近期,CHECKMATE-026研究关于TMB的探索性分析发现,TMB可能是更好的疗效预测指标。TMB高的患者接受纳武利尤单抗治疗相比于化疗显示出更长的PFS(9.7 vs 5.8个月,HR 0.62, 95% CI 0.38-1.00)和更高的ORR(475 vs 28%)。但TMB中等或低的患者未观察到两组的疗效差异,此外,在PD-L1>=50%且高TMB的患者中,
纳武利尤单抗的疗效更显著(ORR 75% vs 25%)。KEYNOTE-024研究入组了PD-L1>=50%患者,帕博利珠单抗相比于化疗,可以显著延长PFS达4.3个月(HR 0.50,P<0.001),ORR提高接近1倍(45% vs 28%,P=0.0011),此外OS也观察到显著获益(HR 0.63,P=0.002)。无论患者的组织学类型和PS评分状态,帕博利珠单抗相比于化疗均显著延长PFS,虽然女性(占40%, HR 0.75, 95% CI 0.46–
1.21)获益少于男性(占60%, HR 0.39, 95% CI 0.26–0.58),此外非吸烟人群的获益尚未完全确定(占3.2%,HR 0.90, 95% CI 0.11–7.59),主要是因为患者人数少,95%可信区间较宽。
一线治疗两个研究的结果差异可能于入组患者的特征,临床试验设计,以及患者总体预后的差异有关。相比于KEYNOTE-024研究,CHECKMATE-026研究的入组标准没有那么严格,允许脑转移和既往接受过放疗的患者入组; CHECKMATE-026研究接受免疫检查点抑制剂的治疗的患者中,鳞癌(24.4% vs 18.8%)和非吸烟者(10.9% vs 3.2%)比例更高,这些都有可能影响研究结果。,
此外,CHECKMATE-026研究中,PD-L1表达并未作为分层因素,对PD-L1高表达进行分析,并没有足够的统计效能检测到两组的差异,PD-L1高表达(>=50%)的患者在两组中的分布不一:纳武利尤单抗(n=88,32%),化疗组(n=126,47%),这也可能影响到亚组分析的结果。结合KEYNOTE-024研究和CHECKMATE-026研究的结果,提示免疫检查点抑制剂用于一线治疗,PD-L1表达是重要的选择因子。

图2. 免疫检查点抑制剂单药治疗晚期NSCLC III期研究的疗效与PD-L1表达的关系
分子标志物和PD-L1检测
目前,不同免疫检查点抑制剂治疗晚期NSCLC III期临床研究的PD-L1表达检测方法不一,总结见下表3。最常用的2大平台为Dako Link48和Ventana Benchmark。其中,3个方法仅检测肿瘤细胞(TC)的PD-L1表达(纳武利尤单抗[28-8],帕博利珠单抗[22C3]和durvalumab[SP263]),另1个方法同时检测TC和或间质细胞()IC的PD-L1表达(atezoluzumab[SP142])。此外,不同的方法PD-L1表达阳性的cut-off值也不同。
表3. 免疫检查点抑制剂治疗晚期NSCLC III期临床研究的PD-L1表达检测方法总结

5个大型的研究评估了不同PD-L1检测方法的可比性,主要比较三个因素:检测PD-L1表达的敏感性,PD-L1阳性的cut-off值和不同病理学家评估的一致性。大多数的研究显示,检测TC为主的方法(28-8,22C3和SP263)之间有较好的相关性,而SP142检测TC的敏感性相对更低。采用SP142检测相比于其他的方法,PD-L1阳性患者比例更高(78.9% vs 52.6-60.5%)。此外,不同病理学家评估的一致性分析显示,28-8,22C3和SP263具有较高的一致性,而SP142与其他方法的一致性相对更低。在蓝印实验中,采用不同的方法和评分系统,有37%的患者PD-L1表达水平不一。鉴于不同的III期研究都有各自伴随的PD-L1检测方法,蓝印实验的专家组建议,不应该交叉使用PD-L1检测方法。基于目前的证据,还是推荐采用每个检查点抑制剂特意的PD-L1检测评分系统,直到形成一个标准的简便的可以广泛使用的方法。
PD-L1表达水平对于指导NSCLC患者选择免疫检查点抑制剂治疗的治疗顺序而言,是一个简单有效的方法,也是目前唯一一个经过前瞻性III期研究验证的生物标志物。TMB可能与一线免疫治疗的疗效相关,也在后线免疫治疗中进行了相关研究。其他在研的标志物包括效应T细胞基因表达谱(Teff GE,根据3个基因确定PD-L1,CXCL9和IFN-r),CD8+的浸润性T细胞,特定T细胞受体表位,细胞因子等。关于免疫检查点抑制剂的疗效预测标志物后续仍需进行更多的研究。
临床应用和排兵布阵
对于晚期NSCLC患者,目前可选治疗方案的最佳使用顺序尚未确定,此外对于PS评分2份和未经治疗的脑转移患者应该如何治疗,也尚未明确。在制定患者的治疗选择时,除了考虑到疗效和安全性,还应该考虑患者的临床和疾病特征,既往治疗史,患者个人倾向,更有效的使用顺序和治疗费用。对于部分疗效尚未明确的患者,PD-L1表达水平可能可以帮助制定治疗选择。
KEYNOTE-024研究的结果告诉我们,对于PD-L1>=50%且EGFR/ALK阴性的晚期NSCLC患者,应该考虑一线帕博利珠单抗治疗,但对于未吸烟者仍需慎重,如图2所示。对于PD-L1>=1%,一线化疗进展后的患者,帕博利珠单抗,atezoluzumab或纳武利尤单抗都是合适的二线治疗选择。对于PD-L1<1%的鳞癌患者二线治疗,免疫检查点抑制剂也有治疗适应症,但对于非鳞癌,尤其是哪些合并差的预后因素或疾病侵袭性强的患者,使用应该慎重。此外,免疫检查点抑制剂单药也可以用于三线治疗。对于携带驱动基因突变的患者,如EGFR突变患者,需要在所有靶向治疗和化疗均进展后才考虑免疫治疗。

图3. 免疫检查点抑制剂单药治疗晚期NSCLC潜在治疗模式
总结和展望
免疫联合治疗是新的研究热点。PD-L1表达在决定患者的治疗选择上具有重要意义。仍然推荐采用各个药物特定的PD-L1表达检测方法。
Keynote-042研究即将在ASCO重磅公布,该研究是评估帕博利珠单抗对比化疗一线治疗晚期NSCLC疗效的一项随机、开放标签的3期临床试验。中期分析数据显示,在PD-L1 阳性(TPS ≥1)患者中,keytruda优于标准化疗,能够显著延长患者总生存期。这是一个非常关键的临床研究,其对于帕博利珠单抗冲击PD-L1阳性(TPS ≥1%)EGFR-/ALK- NSCLC的一线治疗具有重要意义。keynote-042的成功对于帕博利珠单抗来讲是一个里程碑式的胜利,具体数据让我们一起期待6月3日ASCO的现场报道。
摘要链接:
http://abstracts.asco.org/214/AbstView_214_226263.html
Breaking the biomarker code: PD-L1 expression and checkpoint inhibition in advanced NSCLC. Cancer Treatment Reviews 65 (2018) 65–77.
责任编辑:肿瘤资讯-贾老师






苏公网安备32059002004080号