您好,欢迎您

中肿习勉/杨弘/李巧巧教授团队《JITC》发文:创新构建CYTOscore模型,精准预测食管鳞癌免疫联合疗效

02月04日
编译:肿瘤资讯
来源:肿瘤资讯

近日,中山大学肿瘤防治中心习勉教授、杨弘教授、李巧巧教授团队在Journal for ImmunoTherapy of Cancer(IF=10.9)上发表了题为“Serum cytokines predict response and survival in esophageal squamous cell carcinoma receiving chemoradiotherapy combined with anti-PD-1 antibody: analyses of two phase II clinical trials”的最新研究成果。该研究通过对两项前瞻性II期临床试验(EC-CRT-001和NEOCRTEC1901)的深度探索,首次证实了血清细胞因子谱在预测食管鳞癌(ESCC)放化疗联合抗PD-1治疗疗效中的关键作用,并创新性构建了CYTOscore风险分层模型,为ESCC的个体化精准免疫治疗提供了重要依据

图片1.png

研究背景:ESCC免疫联合治疗亟需精准生物标志物

食管鳞状细胞癌(ESCC)具有高度侵袭性。尽管同步放化疗(CRT)联合抗PD-1抗体在局部晚期ESCC中展现出良好的临床前景,但仍有部分患者无法从中获益。细胞因子作为肿瘤微环境(TME)中细胞间通讯的核心介质,在免疫应答和炎症反应中发挥关键作用。然而,在ESCC免疫联合治疗背景下,血清细胞因子能否作为疗效及生存的预测指标,此前尚不明确。

研究设计:双中心前瞻性队列与多组学深度解析

研究纳入了来自两项II期临床试验的81例ESCC患者作为探索队列(受试药物为特瑞普利单抗),并引入61例独立前瞻性队列进行外部验证(受试药物为替雷利珠单抗)。

多时间点纵向监测:分别采集基线(pre-CRT)、放疗中(during-CRT)及放疗后(post-CRT)的血清样本,检测29种细胞因子水平。

多组学机制探索:整合RNA-seq、全外显子组测序(WES)及空间转录组(Spatial RNA-seq)技术,从细胞功能和空间分布维度解析生物学机制。

核心发现:IL-8、CCL3与CCL4构建CYTOscore风险分层

1. 三种关键细胞因子的预后价值

通过Cox回归分析,研究团队筛选出IL-8、CCL3及CCL4作为核心生物标志物。

生存关联:基线高水平的IL-8(P=0.002)和CCL3(P=0.016)与总生存期(OS)显著缩短相关。

疗效关联:低水平的IL-8与更高的完全缓解(CR)率密切相关(基线:66% vs 39%, P=0.038)。

图片2.png

图1 用于预测治疗反应及生存结局的细胞因子初步筛选

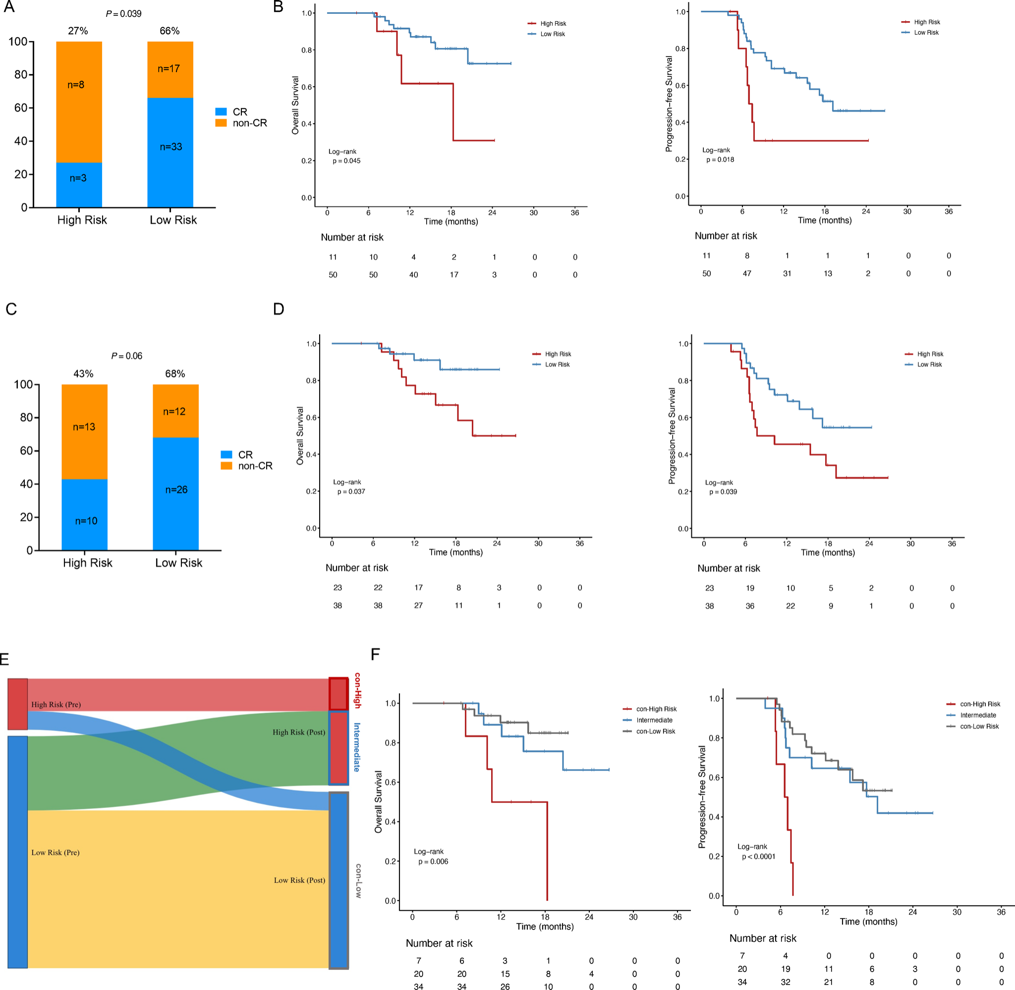
2. CYTOscore:精准定义高、低风险组

研究者基于这三种因子的水平构建了CYTOscore(0-3分),并将其简化为低风险组(0-1分)和高风险组(2-3分)。

生存预测:低风险组的OS(HR=0.31, P=0.00045)和无进展生存期(PFS)(HR=0.33, P=0.00036)均显著优于高风险组。

疗效预测:低风险组的CR率显著高于高风险组(66% vs 35%, P=0.014)。

外部验证:在独立验证队列中,CYTOscore同样展现了稳健的风险分层能力(CR率:66% vs 27%, P=0.039)。

图片3.png

图2 基于基线IL-8、CCL3及CCL4之和构建的CYTOscore用于风险分层及疗效、生存预测

图片4.png

图3 外部验证队列证实了CYTOscore在风险分层和生存预测中的作用

3. 机制探秘:B细胞功能差异与干扰素信号富集

为了揭示CYTOscore介导风险分层的深层机制,多组学分析显示:

功能而非数量:高、低风险组间主要免疫细胞的数量比例无显著差异

促炎表型:基因集富集分析(GSEA)显示,低风险组中干扰素-γ/α(IFN-γ/α)响应信号通路显著富集

空间定位:空间转录组分析进一步锁定,低风险组中B细胞内的IFN信号通路显著激活,提示低细胞因子环境可能营造了利于B细胞发挥功能的肿瘤微环境,从而增强抗肿瘤免疫

图片5.png

图4 多组学分析探索高风险与低风险群体间的免疫微环境及基因组景观

4. 临床转化:整合模型的应用前景

研究团队进一步构建了整合CYTOscore与临床指标(如TNM分期、BMI等)的列线图预测模型。该模型在预测1、2、3年OS方面的曲线下面积(AUC)分别达到0.77、0.78和0.76,其预测精度显著优于单一临床指标。

图片6.png

图5 预测患者OS的列线图模型

总结与展望

本研究首次明确了血清IL-8、CCL3及CCL4在ESCC免疫联合放化疗中的预测价值,开发的CYTOscore模型不仅能够有效识别免疫获益人群,还通过空间转录组揭示了B细胞功能的关键作用。这一发现为ESCC的精准分层和动态监测提供了便捷高效的血液学工具,有望推动ESCC个体化治疗策略的变革。

原文链接:https://doi.org/10.1136/jitc-2025-013065
 

参考文献

Chen B, Chen J, Wang S, et al. Serum cytokines predict response and survival in esophageal squamous cell carcinoma receiving chemoradiotherapy combined with anti-PD-1 antibody: analyses of two phase II clinical trials. J Immunother Cancer. 2026;14(1):e013065. Published 2026 Jan 12. doi:10.1136/jitc-2025-013065

责任编辑:肿瘤资讯-Skye
排版编辑:肿瘤资讯-Skye


版权声明
版权归肿瘤资讯所有。欢迎个人转发分享,其他任何媒体、网站如需转载或引用本网版权所有内容,须获得授权,且在醒目位置处注明“转自:良医汇-肿瘤医生APP”。

评论
02月04日
毛玉英
平遥兴康医院 | 肿瘤内科
感谢分享受益匪浅
02月04日
杜建帅
平遥县人民医院 | 肿瘤科
学习学习学习学习
02月04日
徐宝连
浙江中医药大学附属第二医院(浙江省新华医院) | 血液肿瘤科
血清细胞因子谱在预测食管鳞癌放化疗联合抗PD-1治疗疗效中的关键作用,并构建了CYTOscore风险分层模型,为ESCC的个体化精准免疫治疗提供了重要依据。