文献亮点
01.研究聚焦临床关键决策点:
首次系统性对比了IDH突变型2级和3级胶质瘤患者接受辅助放疗(术后3个月内进行)与延迟放疗(术后先观察)的疗效差异,直击临床中“何时启动放疗”的核心争议。
02揭示延迟放疗的可能性:
在严格筛选的患者群体中,延迟放疗并未显著影响患者的无进展生存期和总生存期,为部分患者避免早期放疗相关副作用提供了循证依据。
提出延期放疗的新证据
近期,来自美国斯坦福大学与华盛顿大学的研究团队,利用真实世界数据开展了一项规模可观的回顾性研究,纳入了2007年至2022年间确诊的450例IDHm 2/3级胶质瘤患者。研究重点比较了两类患者的结局:一类是在诊断后三个月内接受放疗的“辅助放疗”组(aXRT),另一类则是先行随访,直至疾病进展后再进行放疗的“延期放疗”组(dXRT)。
研究背景
标准尚未定论,争议仍在持续
在神经肿瘤学领域,放射治疗(XRT)一直被视为低级别胶质瘤术后的重要治疗方式。然而,何时实施放疗,是否应当在术后尽早启动,始终存在争议。近年来,随着分子病理学的发展,异柠檬酸脱氢酶突变(IDHm)逐渐被明确为胶质瘤分型中的关键生物学标志物。IDHm胶质瘤生物学上呈现弥漫进展性,手术往往无法完全切除,术后需要辅助治疗,以延缓疾病进展。在这样一类疾病中,放疗的节奏是否仍应遵循“越早越好”的逻辑,成为值得深入探讨的问题。
回顾既往的三项关键性临床试验——EORTC 22845、NOA-04 及 EORTC 22033,均未能证明术后早期放疗可以显著改善总生存率。这与临床长期以来的直觉形成反差:早治不一定代表获益更多。与此同时,越来越多的证据指出,放疗可能带来认知功能下降、血管病变甚至继发肿瘤等远期不良后果。这使得在IDHm胶质瘤这样一类自然病程较长的疾病中,放疗的真正价值与最佳时机尤显重要。
核心结果
总体生存获益清晰,早期放疗并不占优
在中位5.4年的随访期间,共有94例患者死亡。Kaplan-Meier曲线显示,延期放疗(dXRT)组在总体生存期(OS)方面具有显著优势:其中位OS为22.6年,而辅助放疗(aXRT)组仅为12.8年,两者差异显著(HR=1.69,95%CI 1.03–2.78,p=0.036)。这意味着在整体人群中,术后立即接受放疗的患者,其死亡风险反而更高。
在“至下次干预的时间”(TNI)方面,结果则呈现另一种复杂情形。多变量Cox模型提示aXRT与更长的TNI相关(HR=0.63,p=0.002),似乎表明早期放疗延缓了再次治疗的需要。然而,当数据以Kaplan-Meier曲线呈现时,aXRT与dXRT 之间并未表现出统计学显著差异。换言之,早期放疗并未在实际临床层面带来真正更长的无干预期。患者的寿命延长与否,并不能由TNI直接反映,这也提示我们需要谨慎解读“干预延迟”与“生存获益”之间的关系。
倾向性评分匹配进一步验证了这一结论。在匹配后的队列中,延期放疗组依然展现出显著的生存优势:中位OS延长超过9年(HR=2.05,p<0.01),而TNI差异依旧不具统计学意义。这种一致性结果表明,研究结论稳固,并非由基线差异或潜在混杂因素造成。

亚组分析
“高危人群”中延期放疗仍优于早期放疗,显示出更长的OS
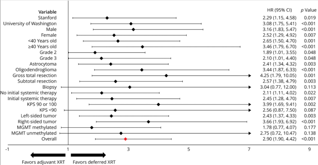
研究团队针对不同人群进行了亚组分析,以探讨是否存在受益于早期放疗的特定亚群。结果发现,在所有分层中,早期放疗均未体现生存优势。
在所谓“高危人群”中(包括3级肿瘤、2级但术后残留,或2级全切但患者年龄≥40岁),延期放疗依然优于早期放疗,显示出更长的OS。这一发现尤为重要,因为指南普遍建议高危患者在术后尽早接受放疗,但真实世界数据却提示这一做法可能需要重新审视。
在分子层面,星形细胞瘤与少突胶质瘤患者、MGMT启动子甲基化与未甲基化人群之间,均未出现aXRT的生存优势;在手术方式的分层中,无论全切还是部分切除/活检,趋势同样一致。换言之,即便是我们传统印象中“风险较高”的群体,也未能从早期放疗中获得生存延长。

综上所述,研究结果清晰表明:对于IDHm 2/3级胶质瘤患者,术后立即放疗未带来生存获益。而延期放疗策略,则展现出更优的长期生存结局。
可能的解释与机制
为何早期放疗反而缩短生存期?研究者推测,可能与放疗所带来的长期神经认知损害、脑血管病变或继发性肿瘤形成相关。既往已有研究指出,即便在疾病稳定期,接受放疗的患者也可能经历显著的生活质量下降和认知功能退化。这提示我们,延缓放疗并不意味着延误治疗,而可能在一定程度上避免了部分远期毒性累积,从而转化为更优的总体生存结局。
治疗格局的变化:放疗时机的再思考
放疗时机的再思考,与新兴药物的出现密切相关。近年来,IDH抑制剂(如Vorasidenib)的问世,为IDHm胶质瘤患者提供了新的选择。FDA已批准Vorasidenib用于延缓疾病进展,其低毒性和良好的耐受性,使其有望成为术后管理中的重要工具。在这一背景下,传统上以放疗为主的策略正在被重新审视,“观察+靶向药物”有可能成为未来的治疗新范式。
这一转变的启示在于:放疗不再是术后的第一步,而是治疗选项中的一环,其应用时机需要结合患者年龄、手术情况、分子特征以及药物可及性进行个体化决策。随着药物选择的丰富,治疗节奏可以更为灵活,而不是单一的“术后立即放疗”。
对指南与临床实践的思考
当前多家国际指南在面对高危低级别胶质瘤时,仍倾向于推荐早期放疗。然而,这项研究的结果无疑对这一立场提出了挑战。真实世界数据显示,即便在高危人群中,延期放疗仍可能带来更好的总生存期,这与既往临床直觉相悖。可以预见,随着更多类似研究的出现,未来指南可能会逐渐转向更为谨慎的表述,为延期放疗或“观察等待”留出更多空间。
鉴于本研究的局限性,结果应该谨慎解释。虽然我们的回顾性研究本身不会改变治疗模式,但它支持了这样一种观点,即前瞻性研究应包括不含 aXRT 的治疗组。
小结
总体而言,这项研究的重要意义在于,它打破了“早期放疗必然优于延期放疗”的惯性思维,为临床决策提供了新的思考。对于IDHm低级别胶质瘤,随着靶向药物的出现与应用,未来的治疗模式或许将逐步转向“观察+药物控制”,在需要时再实施放疗,以最大程度延长患者寿命并维护生活质量。
真正的挑战在于如何平衡“疾病控制”与“生活质量”之间的矛盾。在治疗策略重新定义的当下,临床实践应当更加个体化、更加注重患者长期利益,而不是被单一的“早治”逻辑所驱动。未来,随着前瞻性随机对照试验和新药物研究的进一步开展,我们或许能够更清晰地描绘出IDH突变型胶质瘤的最佳治疗路径。
Lanman T,et al. Characteristics and Outcomes of Patients With IDH-Mutant Grade 2 and 3 Gliomas After Deferred or Adjuvant Radiotherapy. Neurology. 2025;105(1):e213797.
本资料的内容仅作为科学信息参考,仅用于医疗卫生专业人士的学术交流,请勿用于任何其他用途。若您不是医疗卫生专业人士,请勿观看和/或传播此资料。
本资料可能会出现某些药品信息,但该药品/适应症可能尚未获得国家药品监督管理局的注册批准。医疗卫生专业人士做出的任何与治疗有关的决定应根据患者的具体情况并应参照国家药品监督管理局批准的药品说明书。对于本资料可能提到的相关诊断、治疗方法,请遵守国家卫生健康委员会以及相关部门批准使用的指南或规定。
审批号:M-VORAS-CN-202509-00005
本文转自:神外资讯






苏公网安备32059002004080号