您好,欢迎您

【CCR】21基因RS低风险组T1-2N1乳腺癌患者,全乳切除术后放疗是否有必要?

2018年08月29日
编译:肿瘤资讯编辑部
来源:肿瘤资讯

对于T1-2N1的早期乳腺癌患者,全乳切除术后是否进行放疗仍存争议。目前认为对于一部分低风险乳腺癌患者,全乳切除术后放疗的潜在远期毒性可能超过其获得的潜在局部复发率上的获益。目前的指南也推荐全乳切除术后放疗主要用于高风险女性。近日发布在Clinical Cancer Research杂志上的一项研究,分别纳入NCDB和SEER数据库患者,根据患者的21基因RS评分进行分组,分析全乳切除术后放疗及总生存的关系。

背景

对于T1-2N1的早期乳腺癌患者,全乳切除术后是否进行放疗仍存争议。尽管在多个随机研究中均证实对于局限性淋巴结转移的患者,全乳切除术后放疗可以降低局部复发率和乳腺癌病死率,此外,随着辅助治疗的进展,目前认为对于一部分低风险乳腺癌患者,全乳切除术后放疗的潜在远期毒性可能超过其获得的潜在局部复发率上的获益。目前的指南推荐,全乳切除术后放疗主要用于高风险女性,指南人群那些局部复发风险高的女性更有可能从辅助局部治疗中获得最大的生存获益。

在早期乳腺癌中,除了患者的临床特征以外,一些其他的预后因素也可能预测患者从辅助化疗中的获益。21基因复发风险评分已经证实可以预测T1-2N1乳腺癌的局部复发风险、DFS和OS。此外,一些其他的多基因检测也显示出相似的预测价值。近期,一些回顾性分析显示,21基因RS检测可以筛选除复发风险高的T1-2N1患者,这些患者能够从辅助化疗中获益。因此,研究假设全乳切除术后放疗可能会降低高复发风险患者的局部复发率从而改善生存。然而,21基因RS评分高的患者也存在较高的远处复发风险,是局部复发的竞争性因素。RS评分高的患者可能存在隐匿的全身转移,因此不一定能够从局部治疗中获得生存获益。为了验证这一假设,研究者从国立癌症数据库(NCDB)中纳入T1-2N1 ER+阳性接受过全乳切除术的患者进行分析;并从SEER数据库中纳入患者进行验证,根据患者的21基因RS评分进行分组,分析全乳切除术后放疗及总生存的关系。

方法

纳入2004年至2014年间NCDB数据库和SEER数据库pT1-2N1ER+接受全乳切除术的患者,检测21基因复发风险评分,见下图1所示。排除标准为接受过新辅助化疗、未接受辅助内分泌治疗、放疗状态未知、原发灶放疗而非乳腺/胸壁放疗、放疗剂量<45Gy、随访时间<2个月。根据RS评分高低分为低风险(<18)、中等风险(18-30)和高风险(>30)3组。

结果

NCDB和SEER数据库分别从2005年和2004开始报道21基因复发风险评分结果。符合入组标准的患者中,分别有11.1%和9.5%有记录的RS评分。在有复发风险评分的患者中,分别有53.3%(N=3907)和58.6%(N=1803)的患者属于低风险组,见图1。低、中等和高复发风险组的中位RS评分分别为12分、21分和38分。

1.png

图1. 研究筛选流程图

每个RS亚组患者根据其是否接受全乳切除术后放疗进行对比,临床病理和人口学特征总结见下表1和2。NCDB队列中因为禁忌症或拒绝接受全乳切除术后放疗的患者与RS评分,年龄增加或更高的合并症评分无关。所有配对队列中,每个RS亚组接受或不接受全乳切除术后放疗的患者基线特征均衡。

表1. NCDB队列中各RS亚组接受或不接受全乳切除术后放疗的基线对比

2.png

3.png

表2. SEER队列中各RS亚组接受或不接受全乳切除术后放疗的基线对比

4.png

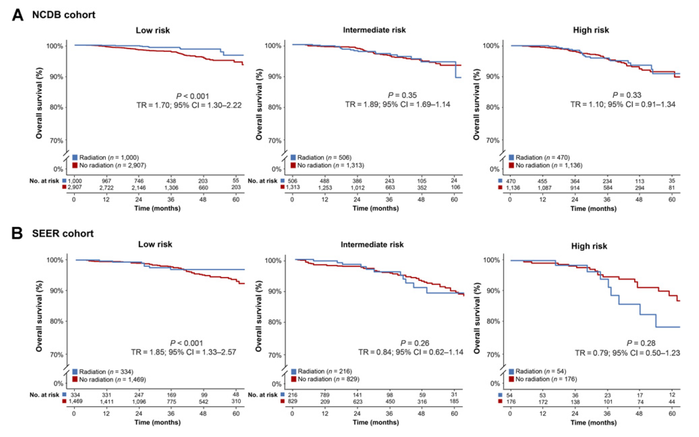
图2显示了两个队列中未校正的生存曲线以及预估的5年生存率。在单因素分析中,两个队列患者分析均显示,低风险患者接受全乳切除术后放疗的患者相比于未接受放疗的患者,5年OS率显著更高;此外,在中等风险女性和高风险女性中均观察到相似的现象。

5.png

图2. 两个队列中,各风险亚组患者接受或不接受全乳切除术后放疗患者的OS对比

多因素分析显示,NCDB队列中接受全乳切除术后放疗与OS无显著相关性,然而RS评分和全乳切除术后放疗与OS存在显著交互作用。年龄、病理分级3级、高肿瘤分期(pT2)、PR阴性、医疗补助计划/无保险状态、高合并症评分和既往癌症史与显著更差的OS相关。在各个RS亚组中,分析倾向性评分匹配队列,结果显示低风险RS评分组中,接受全乳切除术后放疗的患者相比于未接受的患者,显示出更长的OS,5年OS率分别为96.8% vs 94.9%;TR=1.70,95%CI 1.30-2.22;P<0.001;见表3。而在中等或高风险亚组中,全乳切除术后放疗与OS无相关性。对SEER数据库患者进行多因素分析,结果显示全乳切除术后放疗与OS无显著相关性,但RS评分和全乳切除术后放疗与OS存在显著交互作用。年龄、医疗补助计划/无保险状态和既往癌症史与显著更差的OS相关。亚组分析显示,低风险RS评分组中,接受全乳切除术后放疗的患者相比于未接受的患者,显示出更长的OS,5年OS率分别为97.4% vs 94.2%;TR=1.85,95%CI 1.33-2.57;P<0.001;见表3。而在中等或高风险亚组中,全乳切除术后放疗与OS无相关性。

表3. NCDB队列和SEER队列中采用K-M和参数加速失败时间模型分析OS

6.png7.png

结论和讨论

本研究采用两个不同的队列来进行验证,目前的分析显示对于T1-2N1 ER阳性早期乳腺癌,全乳切除术后放疗带来的生存获益在低风险RS评分患者中的获益更显著或仅限于这部分人群。尽管高RS评分的患者可能会取得最大的降低绝对局部复发风险,然而低RS评分亚组更可能从术后放疗中获得生存获益,因为患者在诊断时有更低的亚临床微转移疾病竞争风险。这一结果提示我们要慎重对待对于淋巴结阳性的患者仅根据21基因RS评分低风险来规避术后放疗,也提示我们后续应该进一步在前瞻性研究中进行验证。

参考文献

21-Gene Recurrence Score Assay Predicts Benefit of Post-Mastectomy Radiotherapy in T1-2 N1 Breast Cancer. Clin Cancer Res; 24(16); 3878–87.

责任编辑:肿瘤资讯-Grace