您好,欢迎您

【提示】晚餐与入睡的间隔时间越长,乳腺癌和前列腺癌的患病风险越低!

2018年07月25日
编译:陶白
来源:肿瘤资讯

进餐时间与癌症风险具有相关性?答案是肯定的。西班牙巴塞罗那庞培法布拉大学的Manolis Kogevinas教授进行了一项研究。研究显示,晚餐和入睡时间间隔越长,乳腺癌和前列腺癌风险越低。相关结果发表在7月17日的International Journal of Cancer上。

背景和目的

实验室和流行病学证据表明,长期打乱内源性昼夜节律可能与广泛的常见疾病相关,包括癌症、心血管疾病、肥胖症和2型糖尿病。由于生活方式的改变,目前进行了相关研究,表明昼夜节律紊乱和睡眠剥夺与癌症可能具有相关性。2007年,国际癌症研究署(IARC)基于动物实验证据,将涉及昼夜节律打乱的夜班工作定义为人类可能的致癌因素,而轮班工作和乳腺癌之间相关性的人类证据有限。之后,涌现出很多新研究调查了夜班工作与乳腺癌和前列腺癌之间的相关性,但结果相互冲突。

现代生活方式包括不合时宜的饮食模式,如深夜进食。实验研究显示,这种饮食模式与不良健康相关。

对营养和癌症进行的研究目前大都关注于摄入食物的类型(如水果和蔬菜的摄入)和数量而非进食时间对癌症的影响。这些研究显示,饮食和饮食模式,如地中海饮食,与乳腺癌相关,而对前列腺癌的病因研究不足,包括饮食因素。

在这项于西班牙进行的大型基于人群的研究中,研究者评估了进食时机和睡眠模式是否与两种人类最常见的癌症——乳腺癌和前列腺癌风险相关。研究者也评估了饮食的昼夜节律是否可改变对癌症预防建议的依从性。

方法

研究者于2008~2013年在西班牙进行了一项基于人群的病例对照研究。研究纳入了621例前列腺癌病例和1205例乳腺癌病例,以及872例男性和1321例女性对照,参与者都不曾不合时宜进食。参与者都接受了采访,采访内容为:进餐时间、睡眠类型,并完成了食品频率调查问卷。同时,研究者也检测了参与者对世界癌症研究基金会/美国国立癌症研究所关于癌症预防建议的依从性。

结果

基线特征

几乎所有研究对象都吃早餐、午餐和晚餐,约三分之一吃下午点心,约7%晚饭后吃零食。早餐时间平均为早上8点半左右,午餐为下午2点,晚餐为晚上9点。病例和对照的进餐模式一般相同,并且工作日和休息日也相似。

进餐时间与晚餐和入睡的时间间隔

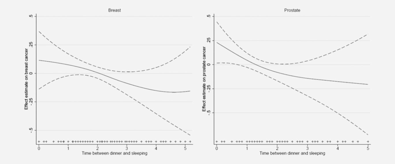
在男性和较少的女性中,不吸烟者趋于具有较短的晚餐和入睡之间的时间间隔。癌症风险随着晚餐和入睡时间间隔的增加而降低。与晚餐后立即入睡的参与者相比,晚餐后2小时或以上入睡的参与者,其患乳腺癌和前列腺癌的组合风险降低20%(OR,0.80;95% CI,0.67~0.96)。该效应在前列腺癌中稍微显著一些(OR,0.74;0.55~0.99),且前列腺癌风险随着晚餐与入睡时间间隔的增加而稳步下降(图1,无统计学意义)。乳腺癌病例中,也观察到相似但强度较弱的相关性(OR,0.84;0.67~1.06),同样,乳腺癌风险随着晚餐与入睡时间间隔的增加而稳步下降。与晚10点以后晚餐相比,晚上9点以前进餐与两癌症组合风险的降低相关(OR,0.82;0.67~1.00),该效应在前列腺癌中(OR,0.75;0.53~1.07)比在乳腺癌中(OR,0.85;0.66~1.09)稍显著些。

同时具有晚餐进餐时间早(晚9点前)和晚餐与入睡时间间隔长(大于2小时)两种特征的参与者,其两癌症组合风险(OR,0.76;0.57~1.00)约比晚10点后进餐和时间间隔较短的参与者降低25%。单独对两癌症进行分析,也观察到相似的相关性。

对癌症预防建议的依从性与癌症风险之间的相关性

与较低依从性相比,对癌症预防建议具有较高的依从性对乳腺癌具有保护作用(OR,0.84;0.67~1.04),该效应在前列腺癌中稍不显著(OR,0.90;0.66~1.25)。晚餐和入睡时间间隔对两癌症组合风险的影响在对癌症预防建议具有较高依从性的参与者(OR,0.65;0.44~0.97)中比较低依从性的参与者中(OR,0.90;0.66~1.22)更具显著性。对于两癌症单独分析,具有相似的模式,分别为:乳腺癌(较高依从性:OR,0.72;0.45~1.18;较低依从性:OR,0.87;0.59~1.28;P=0.21),前列腺癌(较高依从性:OR,0.51;0.25~1.05;较低依从性:OR,0.95;0.58~1.58;P=0.0.36)。

图片1.png

图1:晚餐和入睡时间间隔与乳腺癌(左)和前列腺啊(右)风险的相关性

结论

这是第一项在人类中进行的进食模式与乳腺癌和前列腺癌风险之间相关性的研究。研究表明,较长的晚餐和入睡时间间隔与两癌症较低的风险相关。研究结果受到实验室证据的支持,并且强调了评估昼夜节律对饮食和癌症的重要性。

点评

此项研究的意义在于,为研究和公共健康提供了重要的理论基础和借鉴意义。营养研究目前关注于饮食的数量、食物类型和饮食模式。然而,目前对进食时间模式的研究最少,并且主要集中在空腹期间对饮食限制的评价。目前动物实验中的证据显示,进食时间对食物代谢和癌症具有深远意义,因此有必要进一步在人类中评估这些来自于动物实验的现有证据。

参考文献

https://onlinelibrary.wiley.com/doi/full/10.1002/ijc.31649

Effect of mistimed eating patterns on breast and prostate cancer risk (MCC‐Spain Study)

责任编辑:肿瘤资讯-Grace