您好,欢迎您

早期乳腺癌最新化疗使用趋势及专家治疗推荐

2017年12月14日
编译:曹守波
来源:肿瘤资讯

随着时间的推移,乳腺癌的治疗已经有了明显改观,随之而来的是患者日益增加的对乳腺癌过度治疗的担忧。近年来乳腺癌的化疗使用及肿瘤专家治疗推荐的变化趋势如何?最近发表在J Natl Cancer Inst杂志的相关文献对这一问题做了详细解答。

肿瘤领域专家一直致力于减轻可治愈乳腺癌患者的治疗负担。随着研究技术的不断进步,个体患者从辅助化疗获益程度的计算也越来越精确,而早期患者对过度治疗的担忧也越来越强烈。化疗决策的制定标准正在从主要以解剖学为基础向生物学方向发展。随着肿瘤基因组分析技术使用的增加,辅助化疗的使用正在逐渐减少。临床工作中,治疗决策的制定不仅受临床信息的影响,还会受到其他因素的影响,包括患者对复发的恐惧以及医生不愿错过任何提高生存率的潜在机会等。然而,我们目前对患者和医生对辅助治疗观点的变化所持有的态度却知之甚少。了解系统性治疗决策的转变模式对于旨在促进癌症个性化护理和护理质量的提高至关重要。因此,本研究在一个大型、多样化、以人群为基础的新发乳腺癌患者样本中分析了化疗使用率以及肿瘤科医师建议的变化趋势,并对肿瘤科医师对化疗决策所持的态度作一探讨。

研究共纳入2013至2015年期间诊断为乳腺癌的7303例女性患者,所有患者均为0-II期,排除标准为肿瘤直径大于5cm或存在远处转移,最终仅有5080例患者完成该项调查,有效率为70%。本研究通过两个监测、流行病学和最终结果登记处(格鲁吉亚和洛杉矶)收集化疗使用率和肿瘤科医师对化疗的建议。该研究还调查了504名肿瘤医师(60.3%的应答率)对淋巴结阴性和阳性病例的化疗建议,并且对化疗的使用情况以及肿瘤科医师的建议做了详细的描述性统计。

共有2926例女性患者满足入组标准,化疗接受率与发病年龄小(每10年: odds ratio [OR]= 0.44, 95%CI= 0.38-0.51)、高复发评分(recurrence score,RS;OR= 14.14, 95% CI= 6.08-32.88)、淋巴结浸润(淋巴结阳性vs淋巴结阴性/微转移,OR= 13.46, 95% CI= 9.39-19.28)以及分级(3级 vs 1级: OR= 10.45, 95% CI= 6.90-15.83)密切相关。

自2013-2015年,患者接受化疗的几率每季度降低14.3% (OR= 0.86, 95% CI=0.80-0.91),在其他因素保持不变的情况下,化疗的使用率从34.5% (95% CI=30.8%-38.3%)降低到21.3% (95% CI=19.0%-23.7%,P<0.001)。图1显示的是患者接受化疗的几率与淋巴结状态之间的关系,对于淋巴结阳性的患者,化疗使用率从81.1% (95%CI=76.6%-85.0%) 降低到64.2% (95% CI=58.6%- 69.6%),而对于淋巴结阴性/微转移的患者,化疗使用率从26.6% (95% CI= 23.0%-30.7%)降低到14.1% (95% CI=12.0%-16.3%)。

图片16.jpg

图1

半数患有淋巴结阴性/微转移的患者接受过RS,从2013年上半年的52.1%(95%CI=43.8%-60.3%)缓慢增加到2015年上半年的54.1%(95%CI=48.4%-59.8%)。与此同时,淋巴结阳性患者RS的检测率从26.1% (95% CI=11.3%-40.9%) 升高到42.7% (95% CI=28.3%-57.1%)。淋巴结阴性/微转移患者中21基因RS(21基因复发评分)的使用并没有发生变化,而淋巴结阳性患者中RS使用率增加是化疗使用率减少三分之一的重要原因之一。

在听取肿瘤科医师对化疗使用的建议后,如果肿瘤科医师不推荐化疗,仅有1.4%的患者会接受化疗,而在由肿瘤患者自己决定或推荐化疗的情况下,接受化疗患者所占百分比可以分别达到17.0% 和74.9%。在控制其他因素的前提下,患者报道的肿瘤科医师对化疗的推荐从44.9%(95%CI=40.2%-49.7%)下降至31.6%(95%CI=25.9%-37.9%),如图3所示。

图片17.jpg

图3

图片18.jpg

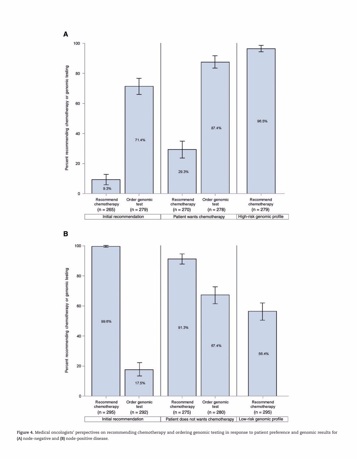
图4A和图4B

另外该研究还对肿瘤科医师对化疗使用的观点做了评价,在504名肿瘤科医师中共有304名完成了研究,有效率为60.3%。研究发现,对于预后良好的病例,很少有肿瘤科医师会直接推荐化疗(9.3%,95%CI=5.8%-12.9%),而超过三分之二(71.4%,95%CI=66.0%-76.8%)的肿瘤科医师会在基因组测试结果基础上作出最后决策,如图4A所示。对于预后欠佳的患者,几乎所有的肿瘤科医师(99.6%,95%CI=98.9%-100.0%)都会推荐使用化疗方案,很少(17.5%,95%CI =13.1%-22.0%)会在作出化疗决策之前选择肿瘤基因组检测,如图4B所示。如果患者个人偏好与肿瘤科医师的建议不符(67.4%,95%CI=61.7%-73.0%vs 17.5%,95%CI=13.1%-22.0%,一致),肿瘤科医生更有可能会选择进行RS,并且根据患者偏好和RS结果推荐治疗策略。

最近发表的一篇文献也对乳腺癌的辅助化疗作了评价,在过去的15年中,已经开发了多种基因组测定方法,能够更精确地表征乳腺癌的复发风险。在美国,雌激素受体阳性(ER)乳腺癌最广泛使用的基因组测定是21基因复发评分(21-gene recurrence score, RS)。

毫无疑问,预测风险和可能的化疗收益的基因组测序在减少化疗的使用方面发挥了重要作用。基因组表达分析可能最终对ER +年轻女性乳腺癌患者的治疗产生更大的影响,因为这些人群会长期面临着治疗毒性的困扰。尽管我们越来越有能力鉴定患有良好预后结果的患者,但治疗的缓解仍然是一个重大挑战。Kurian等的研究显示,低RS后肿瘤专家推荐化疗的比例从91.3%下降到56.4%。对于大多数肿瘤学家来说,在过度治疗方面比在不治疗方面犯错是可以理解和容易的。作为临床医生,我们害怕忽略一种可以挽救生命的疗法,但是必须平衡好临床获益和毒性。

乳腺癌治疗方式的提升并不是局限于ER阳性和HER2阴性疾病。在HER2阳性和三阴性疾病的情况下,包括卡培他滨、铂类、帕妥珠单抗等在内的多种药物已被用于提升治疗强度。这些治疗方式的进步对患者的临床获益往往是微不足道的。无论我们是关注传统的化疗还是靶向治疗,我们都必须努力整合预后的生物标志物,如病理完全缓解和开发新的预后和预测性生物标志物。我们最终达到的目标是通过提供辅助治疗,使每位患者不受癌症困扰,同时避免不必要的毒性。

点评
对于淋巴结阴性/微转移和淋巴结阳性的早期乳腺癌患者,化疗使用率和肿瘤科医师对化疗的推荐随着时间的推移显著下降,而目前实践指南没有实质性改变。目前正在进行的试验结果对于确认乳腺癌治疗方法的质量至关重要。
参考文献

Recent Trends in Chemotherapy Use and Oncologists’ Treatment Recommendations for Early-Stage Breast Cancer.

https://academic.oup.com/jnci/advance-article/doi/10.1093/jnci/djx239/4718501

Adjuvant Chemotherapy for ER+ Breast Cancer: A Sea Change is Underway.

https://academic.oup.com/jnci/advance-article/doi/10.1093/jnci/djx264/4718502

责任编辑:肿瘤资讯-斐斐