男性乳腺癌(BC)非常罕见,发病率远低于女性,约占全部乳腺癌的1%,在男性所有癌症,占比小于1%。既往,对男性乳腺癌的研究多为小样本量回顾性数据,男性乳癌的治疗也多基于女性乳腺癌的治疗经验。近日,《Annals of Oncology》发布一份大样本量的男性乳腺癌回顾性分析数据,总结了1990-2010期间,9个国家93个癌症中心的数据。
背景
男性乳腺癌的发病率远低于女性,约占全部乳腺癌的1%。尽管过去25年,男性乳癌的发病率增长26%左右,但对男性乳癌的临床研究非常缺乏,多数为回顾性的观察性研究。15-20%的男性乳癌患者是有家族史的,这类人群相比正常人群,患癌风险增加2.5倍。此外,约10%的男性乳癌有BRCA2突变,但很少有BRCA1突变。基于此,ASCO指南推荐所有男性乳癌患者,无论是否有乳癌家族史,应该接受遗传咨询和检查。男性乳癌还可能合并的其他变异基因包括PTEN,P53和CHEK2。
目前,关于男性乳癌的管理多是源于女性乳癌的经验。最常用的手术方式为改良根治术,接受保乳手术的患者不到1/7。化疗和放疗的指征和方案也是根据女性乳癌而定。既往关于男性乳癌的临床研究因为入组困难,都提早结束。为了更好的了解男性乳癌的生理和可能不同于女性乳癌的特征,也为进一步优化男性乳癌的管理,2016年欧洲癌症治疗研究组织(EORTC)联合乳腺癌转化研究联盟(TBCRC),北美乳腺癌小组(NABCG),乳腺癌国际组(BIG)共同发起了这一项目,称为“国际男性乳腺癌项目”。这一项目包括3个部分:1. 回顾性分析过去20年所有参与中心的男性乳腺癌患者数据;2. 前瞻性的登记30个月内新发的男性乳癌,并进行随访,收集组织标本;3. 前瞻性的进行临床研究,优化这类患者的管理。本次的分析数据为这一项目的第一部分。
方法
这一回顾性的队列研究入组了1990-2010年期间,所有参加中心组织,经组织学确诊的男性乳癌患者。无论患者是否接受抗肿瘤治疗,所有分期的患者均纳入。要求患者能够提供可供分析的组织标本。本研究的目的为回顾性的分析患者的临床特征,包括组织和病理标志物,治疗方案,临床结局。
结果
研究共纳入1822例患者,其中22例(1.2%)患者临床信息缺失,317例(17.6%)患者临床标本不能进行分析,最终1483例患者纳入分析。所有患者的中位随访时间为8.2年,M0患者的中位随访时间为7.2年。
1. 一般临床特征
患者诊断的中位年龄位68.4岁,其中仅24例(1.6%)患者诊断时年龄小于40岁。在诊断时明确M状态的患者中,大多数(1054例,94.9%)患者诊断为早期乳腺癌,接近一半(592例,56.2%)的患者为N0。初诊为转移性疾病的患者仅有57例(3.8%)。
2. 治疗情况
大部分M0的患者(794例,95.5%)接受了改良根治术,仅4%(33例)患者接受了保乳手术。大多数的患者(76.4%,628例)接受了腋窝淋巴结切除(伴或不伴前哨淋巴结活检), 17.9%的患者仅接受了前哨淋巴结活检。对不同年份的数据进行分析对比,近年来,接受腋窝外科管理的患者比例显著增加。
分别有130例(31.6%)N0的患者和237例(68.1%)N1的患者接受了辅助放疗。245例(29.8%)患者接受了辅助化疗,其中105例(42.3%)接受蒽环为基础的方案,79例(32.3%)接受蒽环和紫衫为基础的方法,36例(14.6%)患者接受CMF方案。627例(76.8%)患者接受辅助内分泌治疗,主要为他莫昔芬。仅3%(32例)的患者接受了AI,2.5%(26例)的患者接受他莫昔芬序贯AI。时间趋势分析提示,近年来,更高比例的患者接受内分泌治疗。自2006年来,共有32例HER2阳性的患者,其中75%(15例)的患者接受辅助曲妥珠单抗治疗。
3. 病理分析
1054例M0的患者,大多数(84.8%)为浸润性导管癌。几乎所有患者均为ER阳性(99.3%),其中93.4%为强阳性。PR阳性患者比例为81.9%,其中37.8%为强阳性。AR阳性的患者比例为96.9%,其中87.6%为强阳性。共91例(8.7%)的患者为HER2阳性。1033例在中心实验室进行了Ki-67检测,778例(75.1%)患者,Ki-67<20%;255例(24.9%)患者,Ki-67>=20%。基于免疫组化的结果,48.6%属于Lumina-B型,41.9%属于Lumina-A型,0.3%为TNBC。
4. 生存数据
在N0M0的早期患者中,中位OS为10.4年;N+M0的患者,中位OS为8.4年;M1的患者,中位OS为2.6年,如下图1A. 对不同分期患者的RFS进行分析,N0M0,N1-3M0,中位RFS分别为8.6年和6.4年。共112例患者诊断有第二原发癌,5年和10年的累积发病率分别为8.8%和15.3%。最常见的原发癌分别为前列腺癌(26.7%),结直肠癌(11.6%),肺癌(10.7%)和非黑色素瘤的皮肤癌(8.9%)。

图1:不同分期患者的OS(1a)和RFS(1b)比较。
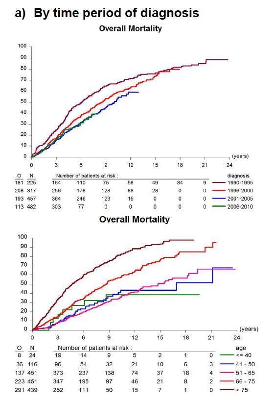
从1990到2010年,以5年为一个时间段,计算患者的病死率和乳腺癌特异性死亡率。总体而言,患者的病死率呈下降趋势,从1990-1995年的44.8%(95%CI:38.5-51.7)到2006-2010年的26.9%(95%CI:22.6-31.9%),见下图2a。

图2. 乳腺癌总体病死率:a. 诊断时期;b. 不同年龄。
分析不同时段的乳腺癌特异性死亡率,呈现小幅度的改善。5年年龄校正的BSCM分别为:1990-1995年15.1%;1996-2000年8.3%;2001-2005年7.8%;2006-2010年7.6%,见下图3。

图3. 乳腺癌病死率和年龄调整的乳腺癌病死率
6. 根据生物标志物分析患者的生存结局
根据患者ER表达的强度来分析:ER低表达(allred评分3-6)的患者,mRFS和mOS分别为6.4年和7.8年;ER高表达(allred评分7-8)的患者,mRFS和mOS分别为7.5年和9.4年,如下图4a。
根据患者AR表达的强度来分析:AR低表达(allred评分3-6)的患者,mRFS和mOS分别为5.9年和7.0年;AR高表达(allred评分7-8)的患者,mRFS和mOS分别为7.4年和9.3年,如下图4b。
根据患者PR是否表达和表达强度来分析:PR阴性的患者,mRFS和mOS分别为6.9年和8.4年;PR低表达(allred评分3-6)的患者,mRFS和mOS分别为6.5年和8.4年;PR高表达(allred评分7-8)的患者,mRFS和mOS分别为8.6年和11.2年,如下图4c。


图4. M0的患者,根据ER,AR和PR的表达强度分析患者的OS:a. ER表达强度;b. AR表达强度;c. PR表达强度。
结论和讨论
本研究是目前发表的最大样本量的男性乳腺癌研究报告,患者的临床资料可靠,生物标志物检测均在中心实验室进行,将为后续男性乳癌研究提供重要数据。对于这类发病率低的罕见肿瘤,本研究多中心联合的方法值得借鉴。后续这一项目将会前瞻性的提供关于男性乳癌生物学特征和临床试验的数据,值得期待。
Characterization of male breast cancer: Results of the EORTC 10085/TBCRC/BIG/NABCG International Male Breast Cancer Program,Annals of Oncology, 28 October 2017.






苏公网安备32059002004080号