您好,欢迎您

PCNSL一线治疗新证:泽布替尼联合方案获益显著,为临床治疗带来新思路

02月14日
整理:肿瘤资讯
来源:肿瘤资讯

原发性中枢神经系统淋巴瘤(PCNSL)是一种罕见且具有高度侵袭性的结外淋巴瘤。因血脑屏障(BBB)的存在,传统化疗药物难以进入,导致PCNSL患者预后较差,未经治疗的患者中位生存期仅1.5-3.3个月,5年生存率约30%-40%。尽管大剂量甲氨蝶呤(HD-MTX)为基础的化疗方案是目前PCNSL的一线标准治疗,但存在一定的局限性和明显的副作用。由天津医科大学总医院付蓉教授团队开展的一项研究,评估了泽布替尼联合来那度胺、利妥昔单抗、替莫唑胺(RLZT)±甲氨蝶呤(MTX)一线治疗PCNSL的有效性和安全性,为临床治疗PCNSL提供了新的思路。

图.png

研究方法

该研究(ChiCTR2000039485)为前瞻性、开放标签、多中心临床试验,共纳入48名新诊断的PCNSL患者,并根据患者年龄和肾功能状态分为两组。

A组(RLZT + MTX,N=24):年龄≤65岁且肾功能正常的患者,交替接受以下两种方案(各3个周期,共6个周期)

方案1:HD-MTX方案(3.5 g/m²,输注3h),28天为1周期

方案2:RLZT方案(利妥昔单抗 375 mg/m² 第1天;来那度胺 15 mg/m² 第1-21天;泽布替尼 160 mg 每日两次 第1-21天;替莫唑胺 150 mg/m² 第1-5天),28天为1周期。

B组(RLZT,N=24):年龄>65岁或因肾功能不全患者,仅接受RLZT方案治疗,共6个周期。
 
每周期治疗后均进行脑MRI检查,评估疗效。治疗6周期后未达到客观缓解的患者,进行全脑放疗(WBRT)或挽救性化疗;达到≥部分缓解(PR)且适合自体造血干细胞移植(ASCT)的患者则进行ASCT巩固治;达到≥PR、拒绝ASCT者接受泽布替尼单药维持治疗,直至疾病进展或出现不可耐受的毒性。

研究结果

截至2025年8月31日,在45名可评估疗效的患者中,总客观缓解率(ORR)达86.6%,完全缓解率(CRR)为44.4%。A组(RLZT + MTX)患者ORR为91.3%,CRR为39.1%;B组(RLZT)ORR为81.8%,CRR为50%。

表1. 患者基线特征和疗效

ScreenShot_2026-02-14_191806_933.png 
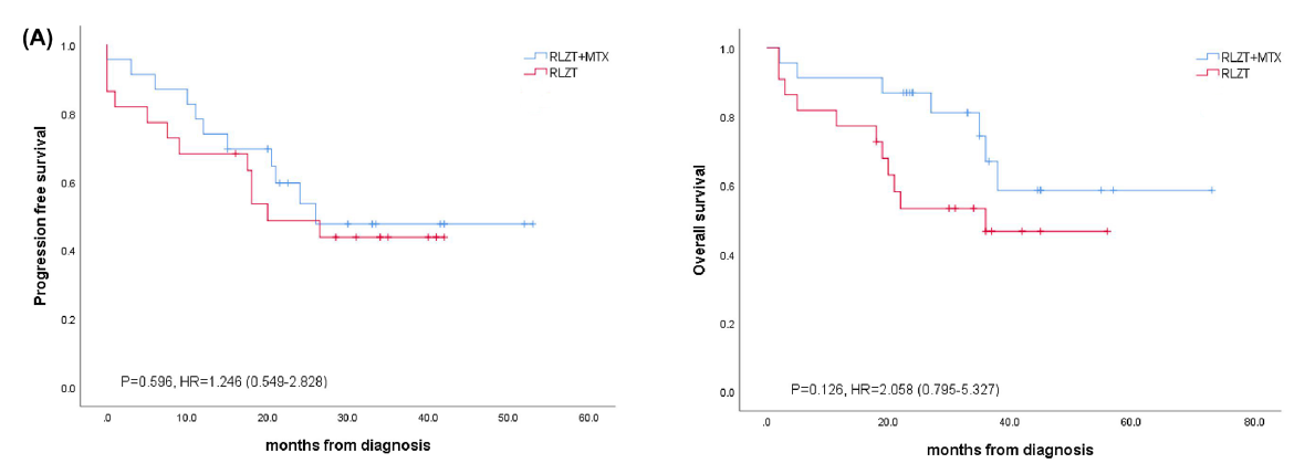
中位随访33个月,总人群中位无进展生存期(mPFS)为26个月,中位总生存期(mOS)未达到。2年PFS率和OS率分别为51.7%和70.8%。A组mPFS为26个月,mOS未达到。2年PFS率和OS率分别为53.7%和81.2%;B组mPFS为20个月,mOS为36个月,2年PFS率和OS率分别为43.8%和53.3%。

a.png 图1. 两组PFS和OS

接受巩固/维持治疗的患者,其mPFS和mOS均显著优于未接受者(mPFS: 未达到 vs. 7.5个月, p = 0.029; mOS: 未达到 vs. 11.5个月, p = 0.011);2年PFS率(59.4% vs. 35.7%)和OS率(83.4% vs. 42.9%)更高。多因素分析显示,巩固/维持治疗是改善OS和PFS的独立因素。

b.png

图2. (未)接受巩固/维持治疗的PFS和OS 

值得注意的是,在MCD基因亚型患者中,RLZT±MTX方案显示出较非MCD亚型更优的疗效趋势,ORR达到90%(CRR 50%),且mPFS和mOS均未达到。这提示,RLZT ± MTX方案对于非MCD亚型亦有效。
 
安全性方面,RLZT±MTX方案血液学毒性主要为轻中度,≥3级不良事件发生率低。非血液学毒性同样可控。特别是对于老年患者,RLZT方案的良好耐受性使其成为一个极具吸引力的选择。

研究结论

该前瞻性研究显示,含泽布替尼的RLZT±MTX方案一线治疗PCNSL具有良好的疗效和可控的安全性。对于老年/肾功能不全无法耐受HD-MTX的患者,RLZT方案是有效选择。此外,研究还揭示了巩固和维持治疗在PCNSL全程管理中的重要地位,为临床实践提供了重要指导。虽然该研究存在样本量有限、非随机设计等局限性,但其提供的循证证据无疑为PCNSL的未来研究开辟了新的道路。
 

参考文献

Jia Song, Huijuan Jiang, Kai Ding, et al. Zanubrutinib, lenalidomide, rituximab, temozolomide ± methotrexate as first-line treatment for primary central nervous system lymphoma: A prospective, open-label, multicentre clinical trial. Br J Haematol . 2026 Jan 26. doi: 10.1111/bjh.70335.


责任编辑:肿瘤资讯-Elva
排版编辑:肿瘤资讯-Elva



评论
02月14日
亢启军
喀什地区第一人民医院 | 肿瘤内科
含泽布替尼的RLZT±MTX方案一线治疗PCNSL具有良好的疗效和可控的安全性。
02月14日
徐宝连
浙江中医药大学附属第二医院(浙江省新华医院) | 血液肿瘤科
泽布替尼联合方案为PCNSL临床治疗带来新思路
02月14日
苗军程
金乡县人民医院 | 肿瘤外科
泽布替尼联合方案获益显著,为临床治疗带来新思路