导语:30年激增130%!最新全球研究揭示,2021年全球血液系统恶性肿瘤患者已突破539万。 1990-2021年不同血液系统恶性肿瘤呈现出迥异的发展趋势,到2030年将面临怎样的严峻考验?
徐医附院细胞研究和转化医学中心副主任
徐医附院血液科科副主任, 淋巴瘤病区主任
中华医学会血液学分会淋巴细胞疾病学组委员
中国抗癌协会淋巴瘤专委会委员
中国EBV相关疾病工作组秘书长
中国抗癌协会血液肿瘤专业委员会青年委员
中国抗癌协会血液肿瘤委员会慢淋工作组委员
中国抗癌协会第一届T细胞淋巴瘤工作组委员
中国老年医学会血液学分会淋巴瘤学组委员
江苏省淋巴瘤联盟副主席
江苏省医学会血液学分会淋巴瘤/骨髓瘤学组委员
江苏省“六大人才高峰”培养对象
江苏省“科教强卫工程”青年医学人才
安徽医科大学
研究方向:肌肉骨骼疾病的流行病学及发生发展机制
血液系统恶性肿瘤(hematologic malignancies, HM)是一大类起源于淋巴造血系统的异常细胞增殖疾病,可累及多个组织和器官。HM主要分为三类:白血病、多发性骨髓瘤(multiple myeloma, MM)和淋巴瘤。尽管医疗技术的进步改善了许多患者的预后,但患者生存率仍然存在差异。考虑到HM的动态性质和日益增加的全球负担,理解其流行病学趋势对于制定有效的公共卫生战略和评估当前医疗干预措施的有效性至关重要。
2025年11月,徐州医科大学附属医院桑威课题组联合安徽医科大学蔡国旗课题组,在iNew Medicine上发表题为Global Burden of Hematologic Malignancies From 1990 to 2021 With Projections to 2030: A Systematic Analysis for the Global Burden of Disease Study 2021的文章。该研究旨在全面分析1990-2021年HM的流行病学趋势和全球疾病负担,并预测到2030年的趋势。借助2021年全球疾病负担(Global Burden of Disease, GBD)研究数据,作者分析了四类年龄标准化指标,包括年龄标准化发病率(ASIR)、患病率(ASPR)、死亡率(ASMR)和伤残调整生命年率(ASDR),并系统评估了1990–2021年间HM的流行病学趋势。采用分解分析评估人口水平决定因素的贡献。建立年龄-时期-队列(age-period-cohort, APC)模型来预测HM的负担。从1990年到2021年,全球HM的患病率显著增加,从234.358万例增加到539.105万例。2021年,白血病、多发性骨髓瘤、霍奇金淋巴瘤(Hodgkin lymphoma, HL)和非霍奇金淋巴瘤(non-Hodgkin lymphoma, NHL)的年龄标准化发病率(age-standardized incidence rate, ASIR)分别为每10万人口5.6、1.7、0.8和7.1。从1990年到2021年,尽管白血病的ASIR、年龄标准化死亡率(age-standardized mortality rate, ASMR)和年龄标准化伤残调整生命年率(age-standardized DALYs, ASDR)下降,但年龄标准化患病率(age-standardized prevalence, ASPR)上升。MM和NHL的ASIR和ASPR都显示出上升趋势,其中MM的ASMR也有所增加。然而HL所有指标均呈下降趋势。2021年白血病、MM、HL和NHL的高峰发病率,分别在0-4岁、25-34岁、65-74岁和70-74岁年龄组。分解分析显示,人口增长对NHL ASDR增加的贡献最大。到2030年,白血病、HL和NHL的ASDR预计将下降,而MM的ASDR预计将上升,HM的全球负担发生了重大变化,不同类型的HM发病率和死亡率趋势各异。

材料与方法
概述
GBD数据提供了1990-2021年间针对204个国家/地区的年龄和性别特异性指标的系统性评估。在地理上,世界被划分为七个超级区域:(1)中欧、东欧和中亚,(2)高收入地区,(3)拉丁美洲和加勒比地区,(4)北非和中东,(5)南亚,(6)撒哈拉以南非洲,以及(7)东南亚、东亚和大洋洲。
数据来源与病例定义
使用全球健康数据交换查询工具,收集了从1990年到2021年按年龄组、性别、区域和国家或地区分类的HM数据。根据国际疾病分类系统,HM被分为三种主要类型:淋巴瘤、MM和白血病。具体而言,淋巴瘤又分为霍奇金淋巴瘤和非霍奇金淋巴瘤。
统计分析
作者使用年龄标准化率和相应的估计年度百分比变化来分析HM的长期趋势。EAPC使用公式计算:Y = α+βX+ε,其中Y代表ln(ASR),X代表日历年,ε是误差项。斯皮尔曼等级次序相关用于衡量ASR和EAPC与三个指标(即SDI、UHCI和HDI)之间的关联。
作者基于Das Gupta开发的方法进行了分解分析,以量化三个因素对1990年至2021年HM负担变化的相对贡献。使用GBD标准人口计算ASR以确保可比性。
使用R软件中Nordpred包的年龄-时期-队列分析,作者预测了HM从2021年至2030年的发病率、患病率、DALYs和死亡率。
结果
HM全球概况
自1990年以来,HM的患病病例数从2343.58千例上升到2021年的5391.05千例。在高收入地区,白血病和HL的患病人数下降,而MM和NHL的患病人数上升。
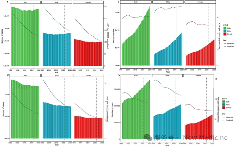
从1990年到2021年,白血病的ASIR、ASMR和年ASDR均呈下降趋势,但其ASPR显著上升。对于MM,ASIR、ASPR和ASMR上升,而女性患者的ASDR下降。HL的ASIR、ASPR、ASMR和ASDR均下降。对于NHL,ASIR和ASPR显著上升,ASMR和ASDR下降(图1) 。

在超级区域层面,对于白血病,北非和中东是没有表现出ASIR下降的超级区域。在南亚,ASPR下降。ASMR和ASDR在所有超级区域均下降。对于MM,在高收入地区,虽然ASIR、ASPR和ASMR上升,但ASDR下降。只有北非和中东HL的ASIR上升,而撒哈拉以南非洲和高收入地区ASPR下降。七个超级区域的HL的ASMR和ASDR均呈下降趋势。对于NHL,ASIR和ASPR普遍上升,尽管在东南亚、东亚和大洋洲以及高收入地区ASMR下降,但所有超级区域的ASDR均下降。
按年龄划分的HM全球负担
2021年,0-4岁儿童白血病的发病率、死亡率和DALYs与1990年相比略有下降,但最高发病率仍出现在0-4岁和70-74岁年龄组(图2A、C、D)。在成人中,白血病的发病率和患病率保持相对稳定,其中白血病在整个HM死亡中占显著比例。老年人中MM的发病率上升,尤其是在70-74岁年龄组(图2B、C)。对于淋巴瘤,HL的发病年龄比NHL年轻。

按性别划分的HM全球负担
从1990年到2021年,男性白血病的患病率呈上升趋势。MM的ASDR在男性中上升,但在女性中下降。NHL的发病率在男性患者中上升,而在女性患者中没有观察到显著增加。
ASR和EAPC与SDI、HDI和UHCI之间的关联
1990年,HM的ASIR和ASPR与SDI显著正相关(图3A、B),而HL的ASDR和ASMR与SDI没有表现出显著相关性(图3C、D)。2021 年,虽然HM的ASIR 和ASPR与SDI的正相关性保持稳定(p < 0.05,图3A、B),但HL的ASDR和ASMR与SDI呈负相关(图3C、D)。

1990年的分析显示,HM的ASIR和ASPR与UHCI的相关性与SDI相似。这种关系持续到2021年,ASIR和ASPR与UHCI保持正相关。
关于HDI,1990年HM的ASIR和ASPR与HDI正相关,而HL的ASDR和ASMR没有显示出显著相关性。到2021年,HM的ASIR和ASPR继续显示与HDI的正相关,但HL的ASDR和ASMR与HDI呈负相关。
从1990年到2021年淋巴瘤的ASIR和ASPR的时间变化与SDI、UHCI和HDI呈正相关。相反,从1990年到2021年MM的ASIR的时间变化与SDI、UHCI和HDI呈负相关。此外,从1990年到2021年HM的ASDR与SDI、UHCI和HDI也呈负相关。
HM的分解分析
为了确定人口增长和流行病学变化对HM流行病学趋势在过去30年中的贡献,作者按年龄结构、人口增长和流行病学变化对原始DALYs进行了分解分析。
从全球来看,从1990年到2021年,人口增长对NHL的DALYs增加贡献最大。流行病学因素的变化增加了白血病、MM和HL的DALYs,但降低了NHL的DALYs(图4A–D)。在七个超级区域中,老龄化对高收入地区白血病、MM和NHL的DALYs显著增加。在东南亚、东亚和大洋洲,HL的老龄化相关DALYs为358.67%。

到2030年HM全球趋势预测
基于Nordpred年龄-时期-队列模型进行的预测显示,到2030年HM的全球趋势如下:
白血病和HL的ASIR在所有性别中均观察到下降趋势。相比之下,预计MM的ASIR在男性中将略有上升。而NHL在女性中显示出发病率上升。虽然预计白血病和HL的ASPR将会下降,但NHL的ASPR显示出轻微上升。同样,预计白血病、HL和NHL的ASMR将下降,但预计MM在男性中将上升。预计白血病、HL和NHL的ASDR也将下降(图5A、C、D),而MM的ASDR呈上升趋势,尤其在男性中显著(图5B)。

讨论
本研究使用了GBD 2021数据库来分析从1990年到2021年HM的流行病学趋势和疾病负担。对不同年龄组的HM趋势分析显示,0-4岁儿童白血病的发病率很高,其DALYs呈现出年轻化趋势。此外,MM和NHL主要影响中老年人,并与免疫衰老和诸如肥胖及缺乏运动等生活方式因素相关联。此外,HL在年轻人中更常见,这与先前的研究结果一致。建议对所有年龄组加强癌症筛查和预防措施,特别是针对中老年人的MM和NHL,同时推广关于健康生活方式的教育以降低HM的风险。
本研究还发现HM在男性中更常见。HM负担中基于性别的差异可能源于生物学和行为因素的共同作用。进一步的相关性分析表明,HM的ASIR和ASPR与SDI、UHCI和HDI呈正相关。这种相关性很可能是由于具有更高SDI和HDI的地区能够获得更先进的医疗技术和全面的健康筛查服务,这提高了HM的诊断率。具有高SDI和HDI的地区应继续优化早期诊断和治疗流程,而指数较低的地区则需要加强医疗服务和加强针对HM高危因素的公共卫生干预措施,以降低总体发病率并提高患者生存率。
老龄化趋势在全球普遍存在,在发达国家尤其明显,但发展中国家也日益面临这一挑战。作者的分解分析发现,老龄化显著影响MM的疾病负担以及NHL的死亡率,特别是在高收入地区。因此,加强老年人的癌症筛查计划以促进早期发现和治疗至关重要。此外,考虑到老龄化和人口增长对HM全球负担的影响,国际合作和资源共享对于提高全球癌症护理标准至关重要。
Shen Z, Huang L, Xing X, et al. Global Burden of Hematologic Malignancies From 1990 to 2021 With Projections to 2030: A Systematic Analysis for the Global Burden of Disease Study 2021[J]. iNew Medicine, 2025: e70008.
排版编辑:肿瘤资讯-robin






苏公网安备32059002004080号