我国是胆道恶性肿瘤高发国家之一,据统计,胆道恶性肿瘤发病率与病死率仍在逐年增加1。在倡导全身综合治疗理念的今日,靶向与免疫治疗不断发展,仍在为改善胆管癌患者的生存获益持续积累证据。如何改善胆管癌患者的整体预后结局,并提升生活质量,已成为临床亟待解决的难题之一。
2026年美国临床肿瘤学会胃肠道肿瘤研讨会(ASCO GI)于当地时间1月8日-10日在美国加利福尼亚州旧金山举行。本期医脉通特邀青岛大学附属医院邱文生教授和青岛大学附属医院刘自民教授围绕胆管癌领域的最新进展与热点前沿话题进行深入探讨,为临床治疗胆管癌提供更多有价值的学术观点。
专家简介
青岛市专业技术拔尖人才、青岛市市北区人大代表
青岛大学附属医院肿瘤医院院长
山东省肿瘤分子与转化重点实验室主任
青岛大学肿瘤学系主任
国家卫健委能力建设和继续教育肿瘤学专家委员会委员
中国临床肿瘤学会(CSCO)理事
中华结直肠癌MDT联盟山东分盟主席
北京市希思科临床肿瘤学基金会理事
中国药学会抗肿瘤药物专业委员会委员
中国抗癌协会肿瘤支持治疗内科专业委员会主任委员
中华结直肠癌MDT联盟执行主席
山东省抗癌协会姑息治疗分会主任委员
青岛市医学会肿瘤分会主任委员
中国医师协会肿瘤科普专业委员会副主任委员
CSCO免疫治疗专家委员会 、中西医结合专家委员会副主任委员
中国医促会肿瘤舒缓治疗学分会副主任委员
中国医药卫生文化协会肿瘤防治与科普分会副主任委员
中国癌症基金会肿瘤心理协作组副组长
山东省抗癌协会副理事长
山东省医学会类器官分会分会副主任委员
中华结直肠癌MDT联盟山东分盟主席
青岛大学附属医院消化肿瘤诊治中心副主任
中国临床肿瘤学会理事
中国抗癌协会神经内分泌肿瘤专业委员会常委
中国医促会消化肿瘤综合诊疗学分会常委
中国临床肿瘤学会胃肠间质瘤专家委员会委员
中国临床肿瘤学会神经内分泌肿瘤专家委员会委员
中国临床肿瘤学会智慧医疗、患者教育专家委员会委员
山东省医师协会神经内分泌肿瘤专业委员副主任委员
山东省研究型医院协会肿瘤精准治疗分会副主任委员
山东省抗癌协会消化道肿瘤专委会常委
青岛市医学会精准医学分会主任委员
基因技术检测与IDH1靶向治疗研究进展解读,2026 ASCO GI诊疗前沿
基因检测是指导胆管癌精准诊疗的重要手段,二代测序与循环肿瘤DNA检测技术为胆管癌治疗策略选择提供了重要参考。在您看来,本次年会上关于基因检测有哪些值得关注的研究进展?
ctDNA监测在胆管癌临床实践中的应用价值
邱文生教授:循环肿瘤DNA(ctDNA)在评估治疗反应和耐药性方面的应用正处于临床探索阶段,但指导临床实践的数据尚不充分。本研究描述了真实世界无组织ctDNA监测在胆管癌患者中的临床应用及结果2。53例胆管癌患者利用临床实验室开发的FoundationOne Monitor(F1 Monitor)检测。55%(29/53)的患者检测到ctDNA肿瘤分数(TF)或NCCN指南中具有临床指导意义的突变, 63%(25/40)的患者接受治疗。可以靶向治疗的突变检出率为23%,包括FGFR2重排(7例)、IDH1突变(3例)、KRAS G12C(1例)及ERBB2扩增(1例)。在检测过程中,51%(18/35)的患者出现ctDNA TF变化。在具有确认的治疗前和治疗后测试时间点的单中心队列中,18例接受化疗和/或免疫治疗的患者中有7例治疗前ctDNA TF阳性,其中6例在首次疗效评估(12周)时ctDNA TF降低>50%。研究表明,在胆管癌真实世界无组织ctDNA监测中,F1Monitor在临床实践中展现出高敏感性,可检测低至0.2%的ctDNA TF及低至0.1%的肿瘤体细胞VAF。值得注意的是,63%的患者在治疗期间检测到ctDNA TF或具有临床指导意义的突变。

(引自2026 ASCO GI Poster 515)
IDH1是胆管癌重要的驱动基因之一,目前,多项国内外指南/共识一致推荐胆管癌患者应进行IDH1检测。本次ASCO GI年会中,关于IDH1突变型胆管癌的研究有何值得关注的亮点?
艾伏尼布联合方案治疗胆管癌的安全性结果
邱文生教授:一项1b/2期研究旨在评估艾伏尼布联合度伐利尤单抗/吉西他滨/顺铂方案治疗IDH1突变型胆管癌患者的安全性,以确定推荐联合剂量(RCD)(安全性导入期,SLI),并探索该联合方案的初步疗效(扩展期)3。本研究将呈现安全性导入期的研究结果。安全性导入期共纳入7例局部晚期或转移性IDH1突变型胆管癌患者。所有患者均报告了治疗期间出现的不良事件(AE);4例(57.1%)需暂停给药,1例(14.3%)需降低剂量。1例患者(14.3%)因不良事件(唯一的剂量限制性毒性)终止研究治疗,该不良事件为药物性肝损伤,表现为肝功能检查指标及胆红素升高,停用四药联合方案后症状缓解。6例患者可评估剂量限制性毒性,1例患者因第一个周期艾伏尼布给药剂量未达到计划剂量的75%而无法评估剂量限制性毒性。该患者出现3级QT间期延长这一特别关注的不良事件,需降低艾伏尼布剂量,但在优化电解质水平且QT间期延长症状于7天内缓解后,第二个周期恢复艾伏尼布500mg全剂量联合度伐利尤单抗/吉西他滨/顺铂治疗,该事件未被判定为剂量限制性毒性。无其他患者出现特别关注的不良事件。数据截止时,1例患者(14.3%)达到部分缓解(PR),4例患者(57.1%)达到疾病稳定(SD)。艾伏尼布500mg每日一次联合度伐利尤单抗/吉西他滨/顺铂方案的安全性特征与度伐利尤单抗+吉西他滨/顺铂方案相似。该剂量将在扩展期进一步评估,扩展期计划纳入约40例患者。
表1. 安全性结果
(引自2026 ASCO GI Poster 558)真实世界研究为艾伏尼布治疗获益再添新证
邱文生教授:胆管癌患者诊断时多处于晚期或转移阶段,约10%-15%的肝内胆管癌患者存在IDH1基因突变。一项回顾性研究旨在进一步明确IDH1突变型胆管癌患者的治疗现状4。研究纳入2007年-2025年确诊的602例胆管癌患者;其中女性占60%,中位年龄(范围)为59.5(22.3-85.8)岁。大多数患者(61.0%)为肝内胆管癌,且诊断时即处于晚期或转移阶段(59.8%)。绝大多数患者(n=499,83%)接受了生物标志物检测。其中395例患者(79%)采用组织样本检测,106例患者(21%)采用液体活检检测。主要检测方法为NGS(n=275,55.1%)。在接受IDH1基因评估的患者中,88例(18%)为IDH1突变,其中60例(68%)确诊时即为晚期/转移性疾病。80例患者(91%)接受了一线治疗。一线治疗的中位无进展生存期(mPFS)为8.0个月,中位总生存期(mOS)为30.0个月,疾病控制率(DCR)为84%。63例患者(71.6%)接受了二线治疗,包括艾伏尼布单药治疗(n=22,34.9%)或艾伏尼布联合治疗(n=7,11.1%)。在二线治疗中,接受含艾伏尼布方案的患者的mPFS为6.1个月,mOS为25.1个月,DCR为69%;而接受其他方案的患者(n=34)的mPFS为4.1个月,mOS为20.1个月,DCR为56%。根据当前指南推荐,IDH1突变型胆管癌患者的一线治疗以吉西他滨-顺铂或吉西他滨-顺铂-度伐利尤单抗为主,二线治疗以艾伏尼布为主。本真实世界研究验证了ClarIDHy研究的疗效结果,支持艾伏尼布作为IDH1突变型胆管癌患者有价值的二线治疗选择。
表2. IDH1突变型患者2线治疗的结果
(引自2026 ASCO GI Poster 507)IDH1突变型胆道癌患者特征与治疗获益趋势
邱文生教授:一项真实世界研究旨在明确携带致病性IDH1突变的胆道癌患者队列的流行病学特征、治疗模式及疗效结局。本研究纳入西班牙注册库中确诊的胆道癌真实世界患者队列,共纳入31家中心的445例患者,均明确了IDH1状态5。其中16.4%存在致病性IDH1突变,53.4%为R132C突变。IDH1突变患者的确诊中位年龄为67.0岁,65.8%为女性,最常见的肿瘤为肝内胆管癌(91.8%)。在所有肝内胆管癌患者中,24.2%携带IDH1突变。77.8%的患者确诊时已发生转移。在IDH1突变患者中,27.4%接受了抗IDH1治疗。中位随访时间为16.7个月,IDH1突变患者与IDH1野生型患者的mOS分别为20.2个月和18.4个月(p=0.270)。IDH1突变患者一线治疗的mPFS和客观缓解率(ORR)分别为8.3个月和22.4%,而IDH1突变患者分别为6.1个月和28.9%。接受抗IDH1治疗的IDH1突变患者的mOS为26.1个月,接受其他治疗的IDH1突变患者的mOS为20.0个月(p=0.53),IDH1野生型患者的mOS为17.3个月(p=0.19)。49例(67.1%)IDH1突变患者存在其他生物标志物共表达,最常见的共突变基因为CDKN2A(20.4%)、CDKN2B(16.3%)和ARID1A(16.3%)。与IDH1野生型患者相比,IDH1突变患者中RAS/MAPK信号通路相关基因(如KRAS、BRAF和ERBB2)的突变频率更低(分别为10.2% vs 23.8%、6.1% vs 6.7%和4.1% vs 9.2%)。在TP53/RB通路中,IDH1突变患者的TP53(10.2% vs 36.5%)和MDM2(4.1% vs 4.4%)突变频率更低,但CDKN2A/B突变频率无明显差异(36.7% vs 34.2%)。本研究揭示了真实世界中IDH1突变胆道癌患者的特征,接受抗IDH1治疗的胆道癌患者呈现出生存改善的趋势。

(引自2026 ASCO GI Poster 500)
靶向治疗临床进展与BMI相关机制新视角,2026 ASCO GI热点速递
胆管癌靶向治疗的临床探索持续深入。请您结合本次年会公布的研究结果,谈谈胆管癌靶向治疗领域的研究进展,这些进展将为临床实践带来哪些影响?
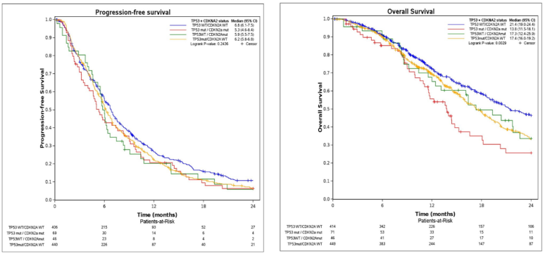
TP53/CDKN2A分型的预后价值与治疗启示
P53和CDKN2A是BTC中最常突变的肿瘤抑制基因,均与不良预后相关。一项国际多中心研究,使用NGS技术对组织或血液样本进行基因组分析6。研究纳入了1079例胆管癌患者,中位年龄66岁。治疗方案包括化疗(87%)、化疗联合免疫治疗(12%)及单纯免疫治疗(1%)。最常见的可靶向基因包括HER2(8%)、IDH1(7%)、BRAF(6%)、FGFR2融合(4%)及高度微卫星不稳定性(MSI-H)(3%)。HER2突变在TP53突变型/ CDKN2A野生型组 vs TP53野生型/CDKN2A野生型组更常见(10.5% vs 4.4%,p<0.001)。IDH1突变在TP53野生型/CDKN2A野生型组vs TP53突变型/ CDKN2A野生型组更常见(10.3% vs 3.9%,p<0.001)。四组间ORR、DCR和PFS无显著差异。TP53突变型/CDKN2A突变型组中位OS最短,为13.8个月;TP53野生型/CDKN2A野生型组OS最长,为21.4个月。研究提示,TP53突变型/ CDKN2A突变型代表一类高危亚群,该亚群富含MSI-H和高突变负荷TMB-H患者,强调了优先开发免疫治疗策略的必要性。TP53/CDKN2A状态具有预后意义,可将患者分层至不同的生存组别,并支持NGS技术应用于一线治疗场景。
表3. 患者基线特征



(引自2026 ASCO GI Poster 593)
ReFocus研究证实Lirafugratinib胆管癌治疗价值
刘自民教授:Lirafugratinib是首个高选择性、不可逆的FGFR2抑制剂,专为靶向致癌性FGFR2驱动突变及耐药突变而设计。ReFocus研究是一项开放标签、多中心、1/2期临床试验,纳入了晚期/转移性胆管癌及其他携带FGFR2改变的实体瘤患者7。关键队列共纳入114例晚期/转移性胆管癌患者,均携带FGFR2融合/重排,既往接受过至少1线系统治疗且未接受过FGFR抑制剂治疗。主要终点为独立审查委员会(IRC)评估的ORR。关键次要终点为缓解持续时间(DoR);其他次要终点包括DCR、PFS、OS、安全性及EORTC QLC-C30评估的生活质量。患者中位年龄为57岁,61.4%为女性。IRC评估的ORR为46.5%,DoR为11.8个月。mPFS为11.3个月,12个月的PFS率为49.2%。mOS为22.8个月,12个月的OS率为74.6%。DCR为96.5%。常见的≥3级治疗相关不良事件(TRAEs)包括掌跖红斑感觉异常(32.8%)和口腔炎(12.1%)。治疗相关不良事件导致75.9%的患者剂量降低,82.8%的患者剂量暂停,4.3%的患者治疗终止。患者生活质量得以维持。lirafugratinib在携带FGFR2融合/重排的胆管癌患者中展现出具有临床意义的抗肿瘤活性,且耐受性良好。

泽尼达妥单抗助力改善HER2阳性胆管癌患者生存结局
刘自民教授:泽尼达妥单抗是一种靶向HER2的双特异性抗体,在关键2期HERIZON-BTC-01试验中显示出有临床意义的抗肿瘤活性和临床获益。一项事后分析评估了肿瘤对泽尼达妥单抗的反应是否预示着更长的生存期8。这项事后分析仅纳入IHC 3+肿瘤患者,采用第9周(初始反应评估)和第25周(所有反应发生的时间点)的里程碑生存模型。应答者在该时间点至少有1次完全缓解(CR)或PR评估。研究共纳入60例IHC 3+的患者,中位随访时间为34.0个月。至第9周时,27例患者出现应答(3例CR,24例PR);20例患者表现为疾病稳定(SD),13例患者出现疾病进展(PD)。达到疗效评估时间点后,应答者(24.5个月)和SD患者(14.4个月)的中位OS均长于PD患者(8.9个月)。在第9周达到SD的20例患者中,有7例(35%)于第25周达到PR。至第25周时,共36例患者获得缓解(3例CR,33例PR),12例患者SD,6例患者PD。考虑到额外4个月的随访期,里程碑事件后中位OS与第9周里程碑事件结果一致(缓解组:20.0个月;SD组:8.4个月;PD组:5.4个月)。研究显示,在HERIZON-BTC-01研究中,第9周或第25周对泽尼达妥单抗产生应答的患者以及第9周达到SD的患者,其OS较其他所有患者(PD及未评估者)更长。这些结果支持其客观应答或SD与胆管癌患者更长OS之间存在预后关联。


(引自2026 ASCO GI Poster 545)
BMI与恶性肿瘤的发生发展和治疗应答相关,但其在肝内胆管癌领域的作用机制和影响尚未得到充分阐明。结合本届年会公布的研究成果,您认为有哪些研究为该领域提供了新思路
肥胖或可预测胆管癌免疫联合化疗生存获益
刘自民教授:肥胖和体重指数(BMI)升高与癌症风险增加相关,该因素对肝内胆管癌治疗结局的影响尚未明确。一项回顾性研究旨在探讨BMI与基因组改变、肿瘤免疫微环境及肝内胆管癌患者化疗联合免疫治疗结局的关联9。研究纳入661例肝内胆管癌患者。患者中位年龄62岁,51%为女性,肥胖患者占28%。肥胖组与非肥胖组的mOS无显著差异(29.6个月 vs 28.5个月,p=0.73)。在接受化疗联合免疫治疗的患者中(n=265),肥胖组的mOS数值更高(31.6个月vs 19.2个月,p=0.0046)。基因组谱分析(n=653)显示,肥胖患者的FGFR2融合(OR=0.57,p=0.039)、KRAS突变(OR=0.41,p=0.023)和IDH1突变(OR=0.64,p=0.051)发生率更低,而IDH2突变(OR=2.4,p=0.054)和NRAS突变(OR=1.93,p=0.09)发生率更高。RNA测序分析显示,肥胖患者的CD8+T细胞(p=0.047)和静息肥大细胞(p=0.044)免疫浸润水平更高。CODEX空间谱分析(n=38:肥胖组17例,非肥胖组21例)显示,肥胖患者的CD141+树突状细胞丰度增加(p=0.023),同时CD163+M2巨噬细胞减少(p=0.023)。肝内胆管癌患者的肥胖状态与独特的基因组特征及免疫激活特征相关,这可能是化疗联合免疫治疗后长期生存者结局改善的原因之一。肥胖作为肝内胆管癌免疫治疗相关预后生物标志物的潜在价值,需在更大规模的独立队列中进一步验证。

(引自2026 ASCO GI Poster 587)
总结
2026 ASCO GI年会上胆管癌领域公布了多项研究成果,在精准检测与靶向治疗方面,研究证实了ctDNA监测在胆管癌临床实践中的应用价值,进一步夯实了艾伏尼布在IDH1突变型胆管癌患者二线治疗中的地位,其联合免疫、化疗的探索也显示出初步的可行性。同时,新型高选择性FGFR2抑制剂Lirafugratinib及泽尼达妥单抗分别在FGFR2、HER2阳性的胆管癌患者中展现出抗肿瘤活性。在预后分层与机制探索方面,研究明确了TP53/CDKN2A共突变可作为识别高危预后亚群的重要标志。此外,肥胖状态与胆管癌独特基因组及免疫特征相关,或可预测免疫联合化疗的生存获益。这些前沿研究成果的公布,将推动胆管癌临床实践向更精准化的方向深度演进。
1.李相成,黄彬,长江.晚期胆道恶性肿瘤免疫与靶向治疗的现状与进展[J].中华消化外科杂志,2025,24(7):832-839.
2.2026 ASCO GI. Poster 515.
3.2026 ASCO GI. Poster 558.
4.2026 ASCO GI. Poster 507.
5.2026 ASCO GI. Poster 500.
6.2026 ASCO GI. Poster 593.
7.2026 ASCO GI. Poster 476.
8.2026 ASCO GI. Poster 545.
9.2026 ASCO GI. Poster 587.
免责声明:
本资料的内容仅作为科学信息参考,仅用于医疗卫生专业人士的学术交流,请勿用于任何其他用途。若您不是医疗卫生专业人士,请勿观看和/或传播此资料。
本资料可能会出现某些药品信息,但该药品/适应症可能尚未获得国家药品监督管理局的注册批准。医疗卫生专业人士做出的任何与治疗有关的决定应根据患者的具体情况并应参照国家药品监督管理局批准的药品说明书。对于本资料可能提到的相关诊断、治疗方法,请遵守国家卫生健康委员会以及相关部门批准使用的指南或规定。审批号:M-TIBSO-CN-202601-00019






苏公网安备32059002004080号