您好,欢迎您

【前沿进展】新辅助免疫/化疗达到ypN0,提示NSCLC预后良好

2025年11月30日
整理:肿瘤资讯
来源:肿瘤资讯

淋巴结(LN)转移是非小细胞肺癌(NSCLC)患者的关键预后因素。新辅助化学免疫治疗已被证明可有效降低LN转移;有LN转移病理证据且随后达到ypN0(cN+/ypN0)的患者比ypN+(cN+/ypN+)的患者表现出更好的生存结果。然而,新辅助治疗前伴有LN转移的ypN0(cN+/ypN0)与从未发生过LN转移(cN0/ypN0)的患者之间的预后是否存在差异仍不清楚。本研究回顾性分析了接受新辅助免疫联合化疗的不同LN状态NSCLC患者的预后。

主要结果:

人口统计学和临床   病理学特征

研究纳入186例符合标准的患者:18.3%的患者为“自然”N0,51.1%的患者为“降期”N0,30.6%的患者为ypN+。大多数患者为III期(IIIA,50.0%;IIIB,28.5%)。77.4%的患者为鳞状细胞癌,腺癌仅占22.6%。

LN消退的临床病理相关性

在淋巴结转移患者中,72.4%的患者在新辅助免疫联合治疗后达到淋巴结降期,其中62.5%的患者达到“降期”N0。70.0%的cN1患者、73.6%的cN2患者达到淋巴结降期,61.2%的cN2患者降期至ypN0。ypN+患者中,38.6%的患者为N1期,61.4%的患者为N2期。cN2患者中,55.4%的患者为单站N2转移,44.6%的患者为多站N2转移。新辅助免疫联合化疗后,79.1%的单站N2患者和66.7%的多站N2患者达到淋巴结降期,其中64.2%、57.4%的患者达到ypN0。与多站N2患者相比,单站N2患者在淋巴结降期方面显示出更高的疗效趋势,但两组间无统计学差异(P=0.253)。对于原发肿瘤,62.4%的患者达到MPR,39.8%的患者达到ypT0。LN状态与MPR之间存在显著相关性(P<0.001)。“自然”N0组和“降级”N0组的MPR发生率较高(分别为82.4%、73.7%),而ypN+组的MPR率为31.6%。相反,ypN+组的非MPR发生率较高(68.4%),而“自然”N0、“降级”N0组的MPR发生率为17.6%、26.3%。然而,N2站数与MPR之间没有显著相关性(P=0.740)。LN状态与cT分期之间没有显著相关性(P=0.199)。

LN状态的DFS和OS分析

中位随访时间为24个月。cN0、cN1、cN2组均未达到中位DFS和OS。cN0组的DFS显著长于cN2组(P=0.025),cN1组与cN2组(P=0.059)及cN0组与cN1组(P=0.959)之间的DFS差异无统计学意义。cN0组1年和2年OS率分别为100.0%、96.0%,cN1组为100.0%、92.9%,cN2组为96.7%、87.9%。3组间OS差异均无统计学意义(P=0.246)(图1)。

图1 DFS和OS的KM曲线:cN0、cN1 和 cN2 之间的比较。

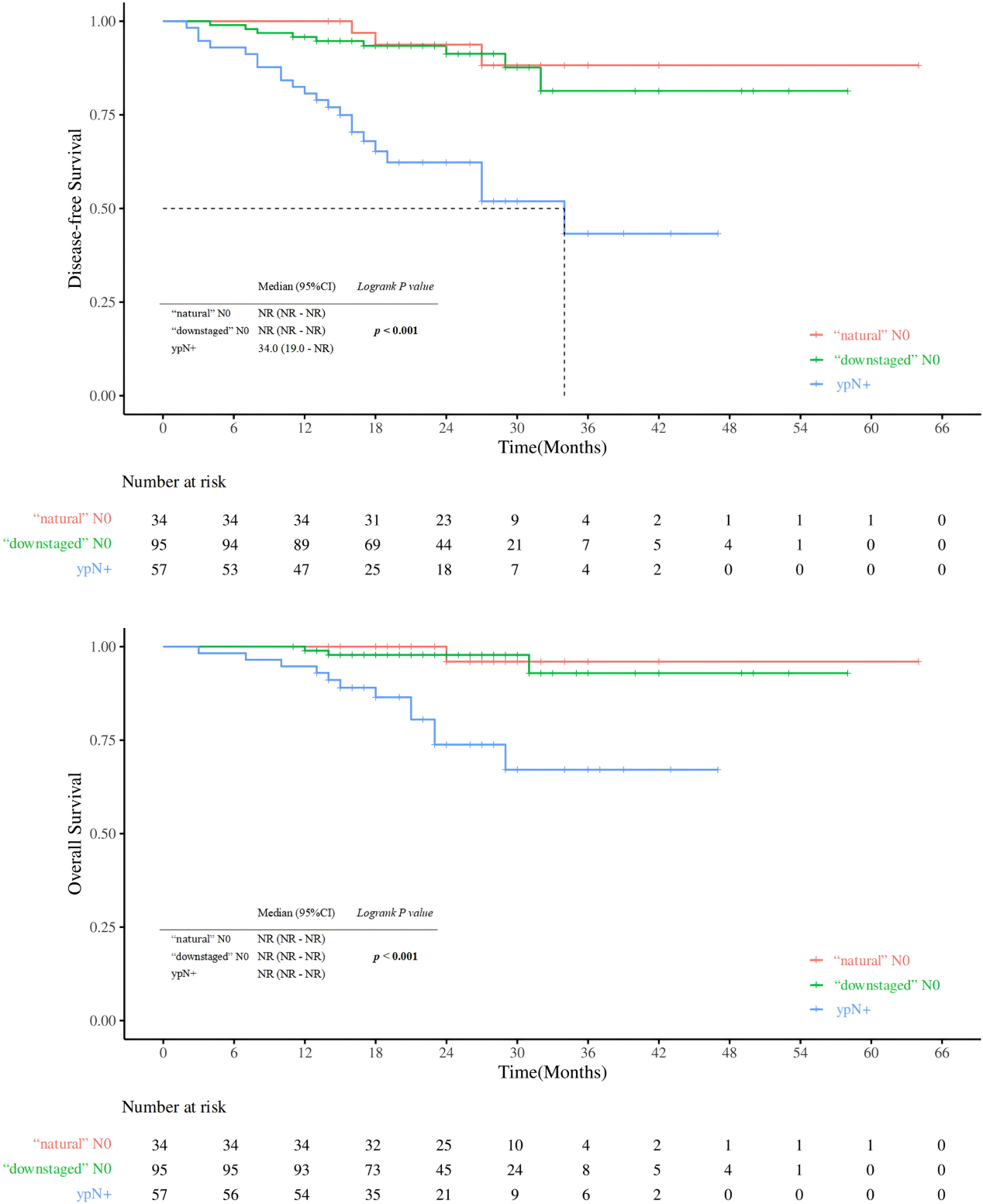
“自然”N0和“降级”N0的患者的中位DFS未达到,而ypN+患者的中位DFS为34.0个月。“自然”N0组,“降级”N0组,ypN+组的1年、2年DFS率分别为100.0%、93.8%,95.8%、91.3%,80.7%和62.3%。ypN+患者的DFS显著低于“自然”N0和“降级”N0状态的患者(P<0.001)。然而,“自然”N0组和“降级”N0组之间的DFS没有显著差异(P=0.695)(图2)。

“自然”N0、“降级”N0或ypN+组的中位OS均未达到。“自然”N0组的1年和2年OS率分别为100.0%和96.0%、“降级”N0组的98.9%和97.8%以及ypN+组的94.7%和73.8%。ypN+患者的OS显著低于“自然”N0和“降级”N0患者(P<0.001)。“自然”N0组和“降级”N0组的OS无显著差异(P=0.814)(图2)。

图2 DFS和OS的KM曲线:“自然”N0、“降期”N0 和 ypN+ 之间的比较

DFS和OS的Cox回归分析

单因素Cox回归分析显示,cN分期、ypT分期、ypN分期、MPR、受累淋巴结数目、受累站位数目及淋巴结状态是影响DFS的显著预后因素。多因素Cox回归分析显示,ypT3-4期(HR=5.239,P<0.001)、非MPR期(HR=2.874,P=0.016)及ypN+期(HR=4.637,P=0.017)与DFS较差相关。单因素Cox回归分析显示,ypT分期、ypN分期、MPR和淋巴结转移状态是OS的显著预后因素。多因素Cox回归分析显示,与DFS一样,ypT3-4期(HR=4.103,P=0.034)、非MPR期(HR=4.226,P=0.042)和ypN+期(HR=11.473,P=0.032)与OS较差相关。

LN状态和MPR的亚组分析

MPR/ypN0组、非MPR/ypN0组和MPR/ypN+组的中位DFS均未达到。然而,非MPR/ypN+组的中位DFS为27.0个月。MPR/ypN0组的DFS明显优于非MPR/ypN0组(P=.008)、MPR/ypN+组(P=.028)和非MPR/ypN+组(P<.001)。此外,非MPR/ypN0组和MPR/ypN+组的DFS明显优于非MPR/ypN+组(分别为P=.022和P=.044)。非MPR/ypN0组与MPR/ypN+组之间的DFS没有显著差异(P=.908)。非MPR/ypN+组的DFS最差。

结论:

无论治疗前cN状态如何,新辅助免疫联合化疗达到ypN0状态,强烈预示NSCLC患者预后良好,将MPR与LN状态相结合可有效区分患者的预后。

参考文献

Ma R, Yang H, Ge Y, et al. Prognostic Implications of Lymph Node Status in Non-Small-Cell Lung Cancer Patients Before and After Neoadjuvant Chemoimmunotherapy: A Multicenter Retrospective Study. Clin Lung Cancer. 2025 Jul;26(5):370-383. doi: 10.1016/j.cllc.2025.04.004. Epub 2025 Apr 8. PMID: 40316494.

审批编号:CN-172628

过期日期:2026-2-23

本材料由阿斯利康提供,仅供医疗卫生专业人士参考

责任编辑:肿瘤资讯- Yuno
排版编辑:肿瘤资讯-Sally
版权声明
版权归肿瘤资讯所有。欢迎个人转发分享,其他任何媒体、网站如需转载或引用本网版权所有内容,须获得授权,且在醒目位置处注明“转自:良医汇-肿瘤医生APP”。