您好,欢迎您

袁宇宁教授:泽布替尼联合Zandelisib方案为R/R B细胞淋巴瘤提供协同治疗新策略

2025年11月16日
整理:肿瘤资讯
来源:肿瘤资讯

滤泡性淋巴瘤(FL)和套细胞淋巴瘤(MCL)作为常见的B细胞非霍奇金淋巴瘤,其复发/难治(R/R)阶段临床处理棘手,患者预后通常不佳。近年来,布鲁顿酪氨酸激酶抑制剂(BTKi)与PI3Kδ抑制剂在B细胞淋巴瘤治疗中显示出重要应用前景。


临床前研究表明,BTKi与PI3Kδ抑制剂联用可协同抑制B细胞受体(BCR)信号通路,增强抗肿瘤效果[1]。泽布替尼作为新一代BTKi,具有高度靶点选择性和良好安全性,为联合治疗奠定基础。为此,一项临床研究评估了泽布替尼联合Zandelisib在R/R FL和R/R MCL患者中的疗效与安全性[2]。【肿瘤资讯】特邀广东医科大学附属医院袁宇宁教授对研究结果进行深度解读。

图.png

协同增效:泽布替尼联合方案治疗R/R FL与R/R MCL实现高缓解

该研究是一项多臂Ib期临床试验(NCT02914938),纳入年龄≥18岁、ECOG体能状态0~2、器官功能正常、既往接受过至少1种治疗并出现疾病进展、未接受过BTKi或PI3Kδ抑制剂治疗的R/R FL和R/R MCL患者。

入组患者首先接受第1阶段治疗,包括泽布替尼(160mg;每日两次[BID],持续给药)和Zandelisib(60mg;每日一次[QD],先连续给药8周),随后采用间歇给药(ID)方案,即每个28天治疗周期的第1~7天给药。研究第2阶段的治疗方案根据第1阶段的疗效评估结果进行调整,具体为泽布替尼80mg,BID;Zandelisib 60mg,第1~7天间歇给药。

该研究的主要终点是研究者评估的剂量限制性毒性(DLT)、安全性和耐受性,次要终点是总缓解率(ORR)、完全缓解(CR)率、缓解持续时间(DOR)和无进展生存期(PFS)。

截至2023年4月,该研究共纳入50例患者,中位年龄为67岁(范围40~83岁),62%的患者为男性。其中,31例为FL患者,19例为MCL患者。在50例入组患者中,62%的患者在初始化疗免疫治疗后24个月内出现疾病进展(POD24),28%的患者对最近一次治疗耐药,36%的患者对利妥昔单抗耐药。

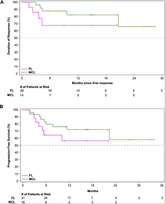
疗效方面,FL组的ORR为86.7%(95%置信区间[CI]:69.3~96.2%)CR率为33%;MCL组的ORR为73.7%(95%CI:48.8~90.9%),CR率为47%。两组中位DOR和中位PFS均未达到(图1)。FL组和MCL组的研究者估计的1年DOR率分别为82.2%(95%CI:58.7~93.0%)和67.5%(95%CI:34.1~86.6%);估计的1年PFS率分别为72.3%(95%CI:51.9~85.1%)和56.3%(95%CI:28.9~76.7%)。

图1.png

图1.FL组和MCL组的DOR和PFS情况

安全性方面,研究期间报告的不良事件(AE)主要为1级或2级包括腹泻(34%)、血小板减少症(32%)、贫血(30%)、中性粒细胞减少(30%)、肌酐升高(26%)、AST 升高(24%)、ALT 升高(22%)、挫伤(20%)和白细胞减少(20%)等。研究中发生的≥3级AE包括房颤(n=3)、发热性中性粒细胞减少(n=2)、肺炎(n=2)和高尿酸血症(n=2)。该研究报告的唯一死亡病例死因为COVID-19感染。

综上,该研究结果表明,泽布替尼联合Zandelisib治疗R/R FL和R/R MCL患者具有较高的缓解率,且相较于任一单药未见毒性增加。尽管该研究由于美国食品药品监督管理局(FDA)针对PI3Kδ抑制剂审批要求的变更而提前终止,但这些结果为未来进一步研究该联合治疗方案的潜力提供了重要依据。

专家点评

袁宇宁教授:FL和MCL同为B细胞非霍奇金淋巴瘤,其复发/难治患者的治疗仍是临床难点。尽管靶向药物不断涌现,但对于多次复发、耐药或伴有高危因素的患者,现有治疗方案的缓解深度和持久性仍不理想,亟需探索更有效的治疗策略。


泽布替尼联合Zandelisib方案的设计基于对BCR信号通路的双重抑制理念,通过同时作用于不同信号节点,理论上可增强抗肿瘤活性并延缓耐药性产生。


疗效数据显示,该联合方案在R/R FL和R/R MCL患者中均取得显著效果。FL患者客观缓解率(ORR)达86.7%,完全缓解(CR)率33%;MCL患者ORR为73.7%,CR率达47%。值得注意的是,在POD24、利妥昔单抗耐药等难治亚组中仍能诱导缓解,提示其可能克服部分耐药机制。FL和MCL组的1年缓解持续时间(DOR)率分别为82.2%和67.5%,初步证实了该方案在维持病情稳定方面的价值。


安全性方面,联合方案整体耐受性良好,未出现非预期毒性。不良事件以1-2级为主,常见类型包括腹泻、血小板减少和中性粒细胞减少等,与两类药物的已知安全特征一致。


综上所述,泽布替尼联合Zandelisib方案在R/R FL和R/R MCL患者中显示出良好疗效与可控安全性,为难治患者提供了新选择。尽管研究因监管原因提前终止,但现有数据为后续联合策略探索提供了依据。未来随着对协同机制和耐药管理的深入研究,此类精准联合的限时治疗模式有望为更多患者带来临床获益。

袁宇宁
主任医师

广东医科大学内科教研室副主任
广东医科大学附属医院大内科副主任

参考文献

[1] Gaudio E, Tarantelli C, Kwee I, et al. Combination of the MEK inhibitor pimasertib with BTK or PI3K-delta inhibitors is active in preclinical models of aggressive lymphomas. Ann Oncol. 2016 Jun;27(6):1123-1128.

[2] Soumerai JD, Diefenbach CS, Jagadeesh D, et al. Safety and efficacy of zandelisib plus zanubrutinib in previously treated follicular and mantle cell lymphomas. Br J Haematol. 2024 May;204(5):1762-1770.

责任编辑:肿瘤资讯-Grady
排版编辑:肿瘤资讯-Vickey
版权声明
版权归肿瘤资讯所有。欢迎个人转发分享,其他任何媒体、网站如需转载或引用本网版权所有内容,须获得授权,且在醒目位置处注明“转自:良医汇-肿瘤医生APP”。