您好,欢迎您

大型回顾性分析:非小细胞肺癌中的TROP2表达

11月27日
整理:肿瘤资讯
来源:肿瘤资讯

导读:TROP2在非小细胞肺癌(NSCLC)中普遍高表达,是抗体偶联药物(ADC)开发的热门靶点。尽管TROP2的mRNA表达谱已有报道,但蛋白质水平的表达谱仍有待阐明。本项研究整合了三个独立的大型数据集,较系统性地描述mRNA表达谱特征,并以期填补蛋白质表达谱分析的空白。

研究背景

尽管靶向治疗和免疫疗法为晚期NSCLC患者带来了显著生存获益,但晚期NSCLC的5年生存率仍有待提升。TROP2(又称TACSTD2)在多种实体瘤中高表达,已成为一个富有吸引力的ADC靶点。ADC的疗效依赖于靶蛋白的表达,以实现细胞毒性载荷的精准递送。因此,全面表征NSCLC中的TROP2表达,对探索TROP2 ADC疗效与肿瘤TROP2表达之间的相关性至关重要。为此,本研究利用三个独立的数据集中现有的mRNA和蛋白质数据集,检测了NSCLC中的TROP2表达。

主要研究结果

数据集

在三个独立数据集中分析了TROP2的表达:(1) 癌症基因组图谱(TCGA)数据,(2) 样本集1,和(3) 样本集2。TCGA NSCLC腺癌队列(LUAD)共纳入566例患者,其中包括:全转录组(RNAseq, n=510)、全外显子组测序(WES, n=566),以及与TROP2 mRNA数据相关联的5年总生存率信息(n=508)。NSCLC鳞状细胞癌(LUSC)队列共纳入487例患者,包括:RNAseq(n=484)、WES(n=484),以及与TROP2 mRNA数据相关联的生存信息(n=481)。

NSCLC中TROP2 mRNA的表达特征及预后

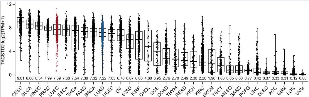
针对TCGA数据库泛癌种的分析显示,在32种实体瘤中,NSCLC中肺腺癌(LUAD)和鳞状细胞癌(LUSC)组织学亚型中TROP2的基因表达水平均位居前三分之一(图1)。在NSCLC中,TROP2基因表达在不同组织学亚型和I-IV期之间水平均相似,且与性别、种族和年龄无关。重要的是,Cox比例风险模型分析显示,TROP2并非TCGA数据库中LUAD或LUSC患者5年总生存率的预后因素。

图片8.png图1 多种实体瘤TROP2 mRNA表达

肺腺癌样本集1中的TROP2表达

研究者利用样本集1的数据探索了腺癌中的TROP2表达。结果显示,TROP2 mRNA表达在I-IV期之间、以及在野生型或突变型TP53和KRAS的样本中均相似。TROP2的膜H-score评分与膜阳性肿瘤细胞百分比呈高度相关(r=0.85,P<0.001)(图2)。然而,TROP2的mRNA与蛋白质表达之间仅观察到有限的相关性。TROP2的蛋白表达水平在不同肿瘤分期、TP53和KRAS突变状态下也无显著差异。

图片9.png

图2 腺癌样本集1中TROP2蛋白的表达

样本集2中TROP2的表达分析

在另一个独立的样本集2中,研究者观察到腺癌和鳞癌中的TROP2 mRNA和蛋白表达相似。两种组织学亚型中,TROP2蛋白阳性(定义为H-score> 0)的标本比例相近(腺癌92%,鳞癌91%)。与样本集1一致,该数据集中TROP2的膜H-score与阳性肿瘤细胞百分比也呈高度相关(图3)。

图片10.png

图3 腺癌和鳞癌样本集2中的TROP2 mRNA和蛋白质表达

结论

本研究结果表明,TROP2在NSCLC中呈高表达,与组织学亚型、其他基线特征或驱动因素改变无关。在两个独立的肿瘤样本队列中,分别有82%和90%的样本检测到任意水平的TROP2蛋白表达。这些数据为在NSCLC患者中广泛开展靶向TROP2的ADC临床试验提供了理论支持。

参考文献

Kuo P, Elboudwarej E, Zavodovskaya M, Lin KW, Lee CV, Diehl L, Patel J, Mekan S, Jürgensmeier JM. Trop-2 expression in non-small cell lung cancer. PLoS One. 2025 Apr 15;20(4):e0321555. doi: 10.1371/journal.pone.0321555. PMID: 40233061; PMCID: PMC11999141.

审批编号:CN-170632        

过期日期:2026-02-10    

声明:材料由阿斯利康支持,仅供医疗卫生专业人士参考

责任编辑:肿瘤资讯-Yuno
排版编辑:肿瘤资讯-Sally


版权声明
版权归肿瘤资讯所有。欢迎个人转发分享,其他任何媒体、网站如需转载或引用本网版权所有内容,须获得授权,且在醒目位置处注明“转自:良医汇-肿瘤医生APP”。


评论
12月01日
尹青
淄博市周村区人民医院 | 病理科
在NSCLC中呈高表达,与组织学亚型、其他基线特征或驱动因素改变无关。
12月01日
马国栋
莒南县人民医院 | 肿瘤内科
ADC的疗效依赖于靶蛋白的表达,以实现细胞毒性载荷的精准递送。
12月01日
吴超涛
厦门市第三医院 | 肿瘤科
好好学习,天天向上