您好,欢迎您

袁宇宁教授:从循证到实践——泽布替尼为CLL/SLL一线治疗提供优选策略

2025年10月21日
整理:肿瘤资讯
来源:肿瘤资讯

慢性淋巴细胞白血病/小淋巴细胞淋巴瘤(CLL/SLL)作为一种异质性的B细胞肿瘤,其临床进程与治疗反应差异显著。传统上,以BR方案为代表的化学免疫疗法是初治患者的标准选择之一,但其长期应用所带来的毒性累积限制了临床获益。


在靶向治疗时代,布鲁顿酪氨酸激酶抑制剂(BTKi)通过精准干预BCR信号通路,重塑了CLL/SLL的治疗格局。作为新一代BTKi,泽布替尼凭借其优化的分子结构,实现了更高的靶点选择性,在保障卓越疗效的同时兼具更佳的安全耐受性,为患者长期管理提供了新选择。III期SEQUOIA研究直接对比了泽布替尼与BR方案在无del(17p)初治CLL/SLL患者中的表现,其5年随访数据的公布[1]为临床决策提供了关键证据。为此,【肿瘤资讯】特邀广东医科大学附属医院袁宇宁教授对研究结果进行深度解读。

图1.png

5年PFS率75.8%!泽布替尼单药治疗CLL/SLL疗效优越

SEQUOIA研究是一项随机、开放标签III期临床试验(NCT03336333),纳入年龄≥65岁或18岁~64岁伴合并症、至少符合国际CLL工作组制定的一项治疗指征、不携带del(17p)的TN CLL/SLL患者。入组患者按1:1比例随机分配至两组,一组患者接受泽布替尼口服治疗(160mg,每日2次),直至疾病进展或出现不可耐受的毒性;另一组患者接受BR方案静脉治疗6个周期(28天为一个治疗周期)。

该研究的主要终点是无进展生存期(PFS),次要终点包括完全缓解(CR)、伴不完全血液学恢复的完全缓解(CRi)、总缓解率(ORR)以及总生存期(OS)。

截至2024年4月30日,该研究共纳入479例CLL/SLL患者,其中241例患者分配至泽布替尼组,238例患者分配至BR组。两组患者的基线特征相似。

中位随访61.2个月,泽布替尼组患者中位PFS未达到,BR组中位PFS为44.1个月(风险比[HR]0.29,95%CI 0.21~0.40,P<0.0001)。泽布替尼组和BR组研究者估计的60个月PFS率分别为75.8%40.1%。(图1)

图2.png

图1.总体人群的PFS情况

在携带IGHV基因突变的患者中,泽布替尼治疗组患者PFS获益更多(HR 0.40,95%CI 0.23~0.69,P=0.0003)。在IGHV基因未突变患者中,泽布替尼组中位PFS未达到,BR组的中位PFS为33.6个月(HR 0.21,95%CI 0.14~0.33,P<0.0001)(图2)。

图3.png

图2.IGHV基因突变或未突变患者的PFS情况

在调整COVID-19的影响后,泽布替尼组和BR组研究者估计的54个月PFS率分别为83.2%和45.2%,60个月PFS率分别为78.7%和40.6%。(图3)

图4.png

图3.经COVID-19调整后的总体人群的PFS情况

泽布替尼组和BR组研究者评估的CR/CRi率分别为20.7%和23.5%,ORR分别为97.5%和88.7%。泽布替尼组和BR组中位OS(HR 0.89,95%CI 0.55~1.43,P=0.3090)均未达到,研究者估计的60个月OS率分别85.8%和85.0%(图4)。

图5.png

图4.总体人群的OS情况

在调整COVID-19影响后,泽布替尼组和BR组研究者估计的54个月OS率分别为91.3%和87.8%,60个月OS率分别为89.4%和86.8%(图5)。

图6.png

图5.经COVID-19调整后的总体人群的OS情况

泽布替尼组和BR组分别有30例(12.4%)患者和98例(41.2%)患者出现疾病进展。BR组59例(24.8%)患者在疾病进展后交叉至泽布替尼组接受治疗。

两组均有34例患者死亡,不良事件(AE)是导致患者死亡的最常见的原因(泽布替尼组23例[9.6%],BR组25例[11.0%])。其中,COVID-19、COVID-19肺炎和肺炎是研究中最常见的导致患者死亡的AE。

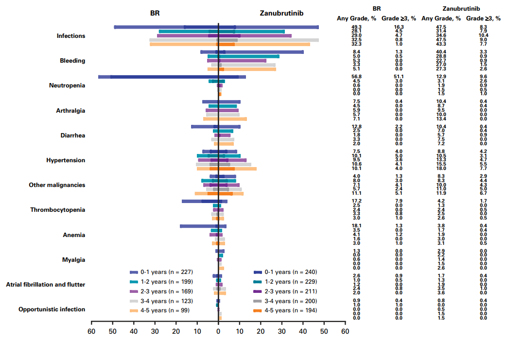
安全性分析结果显示,大多数CLL/SLL患者发生≥1次治疗相关AE(泽布替尼组:95.4%;BR:94.3%)或≥3级AE(泽布替尼组:67.9%;BR组:74.4%)。泽布替尼组和BR组在治疗期间/治疗后出现的AE包括:任何级别感染(79.6% vs 65.6%)、出血(52.1% vs 13.2%)、高血压(22.9% vs 13.7%)、中性粒细胞减少(17.1% vs 56.8%)、贫血(9.6% vs 21.1%)、血小板减少(7.1% vs 18.5%)和房颤/房扑(7.1% vs 3.5%);≥3级AE包括感染(30.0% vs 22.5%)、中性粒细胞减少(12.5% vs 51.1%)、出血(7.5% vs 1.8%)、血小板减少(2.5% vs 8.4%)和贫血(0.8% vs 2.6%)(图6)。

图7.png

图6.治疗中/治疗后出现的AE随时间变化的情况

综上所述,与BR方案相比,泽布替尼在不携带del(17p)的TN CLL/SLL患者中展现出更显著的PFS获益,且在中位随访61.2个月内耐受性良好。SEQUOIA研究长期随访数据,为泽布替尼用于CLL/SLL患者一线治疗提供进一步循证证据。

专家点评

袁宇宁教授:CLL/SLL疾病异质性高,患者临床转归与治疗反应不一,对临床管理构成持续挑战。回顾治疗发展史,化学免疫治疗曾是核心方案。经典的BR方案虽展现出确切的疗效,但随着实践深入,其在伴高危遗传学异常患者中的局限性日益凸显,如疗效不足及长期毒性叠加等问题,驱动着治疗策略的持续优化与迭代。


近年来,靶向药物的突破为CLL/SLL治疗注入了新活力。BTKi通过精确阻断BCR信号通路,深刻改变了治疗范式。泽布替尼作为新一代BTKi,其分子结构经过优化,靶点选择性更高,为此类患者提供了前景广阔的新选项。旨在评估泽布替尼对比BR方案用于无del(17p)初治CLL/SLL患者的III期SEQUOIA研究应运而生。


疗效数据显示,中位随访61.2个月后,泽布替尼组中位无进展生存期(PFS)仍未达到,显著优于BR组的44.1个月,风险比(HR)为0.29,表明泽布替尼可大幅降低疾病进展风险。尤为突出的是,泽布替尼组5年PFS率高达75.8%,相较于BR组的40.1%,绝对获益提升35.7%,充分印证了其强大的长期疾病控制能力。


亚组分析进一步巩固了其疗效优势。在IGHV未突变的高危患者中,泽布替尼组中位PFS未达到,对比BR组的33.6个月优势显著(HR=0.21);在IGHV突变患者中,PFS同样观察到显著改善(HR=0.40)。这证实了泽布替尼能够为不同遗传背景,尤其是高危患者带来显著临床获益,突破了传统化疗免疫疗法的疗效瓶颈。


在安全性方面,泽布替尼表现出良好的耐受性。相较于BR方案,其骨髓抑制事件显著减少,≥3级中性粒细胞减少发生率(12.5%)远低于BR组(51.1%),在贫血和血小板减少方面亦具优势。尽管泽布替尼组任何级别的感染和出血报告更多,但≥3级不良事件发生率与BR组相当,房颤/房扑等特殊关注事件的发生率与同类药物已知安全谱一致。这些数据为泽布替尼,尤其是在高龄或合并症患者中的长期管理提供了坚实的循证依据。


综上所述,SEQUOIA研究5年数据坚实表明,相较于BR方案,泽布替尼为初治CLL/SLL患者带来了更卓越的无进展生存获益与良好的安全耐受性。这一高级别证据有力支持泽布替尼成为CLL/SLL一线治疗的优选策略。

袁宇宁
主任医师

广东医科大学内科教研室副主任
广东医科大学附属医院大内科副主任

参考文献

[1] Shadman M, Munir T, Robak T, et al. Zanubrutinib Versus Bendamustine and Rituximab in Patients With Treatment-Naïve Chronic Lymphocytic Leukemia/Small Lymphocytic Lymphoma: Median 5-Year Follow-Up of SEQUOIA. JCO 43, 780-787(2025).

责任编辑:肿瘤资讯-Grady
排版编辑:肿瘤资讯-Vickey
版权声明
版权归肿瘤资讯所有。欢迎个人转发分享,其他任何媒体、网站如需转载或引用本网版权所有内容,须获得授权,且在醒目位置处注明“转自:良医汇-肿瘤医生APP”。