您好,欢迎您

头对头比较FLOT与SOX!DRAGON III研究5年生存结果公布,胃癌新辅助化疗两者疗效相当

2025年10月11日
编译:肿瘤资讯
来源:肿瘤资讯

对于局部晚期胃癌(LAGC),FLOT(氟尿嘧啶、亚叶酸钙、奥沙利铂和多西他赛)和SOX(S-1联合奥沙利铂)均为广泛应用的新辅助化疗方案,但长期以来缺乏直接比较两者生存数据的研究。近日,《柳叶刀》子刊eClinicalMedicine发表了DRAGON III试验的预设次要终点分析结果。该研究由上海交通大学医学院附属瑞金医院的Birendra Kumar Sah教授担任通讯作者,首次通过前瞻性随机对照试验,直接比较了FLOT与SOX方案在新辅助治疗局部晚期胃癌中的长期生存结局。

1.png

研究背景

胃癌是全球第四大常见恶性肿瘤,在东亚地区发病率尤其高。围手术期化疗已证实能为局部晚期胃癌患者带来显著的生存获益。德国的FLOT4研究确立了FLOT方案的优势地位,成为西方指南推荐的标准方案。与此同时,在东亚,以SOX为代表的口服氟尿嘧啶类方案因其疗效确切且具有给药方便、周期更少、毒性可能更低等优势,也得到了广泛应用。

尽管两种方案都在临床上广泛使用,但全球范围内始终缺乏直接比较两者长期生存获益的“头对头”数据,这为临床医生的方案选择带来了不确定性。DRAGON III研究的前期结果已报告了FLOT和SOX两种方案在病理缓解率方面的疗效相当(20% vs 32.4%,P=0.29),但病理缓解能否完全转化为生存获益仍需长期随访数据来证实。因此,本研究旨在报告DRAGON III试验的长期随访结果,以明确两种方案的生存差异。

研究方法

DRAGON III是一项在上海瑞金医院进行的单中心、开放标签、随机、探索性II期临床试验。研究在2018年8月至2019年11月期间,共纳入了74名经组织学确诊的局部晚期(cT3-4b,cN1-3,cM0)胃或胃食管交界部腺癌患者。

入组患者按1:1的比例被随机分配接受新辅助FLOT方案或SOX方案治疗。FLOT组(n=40):接受4个周期的治疗,方案为氟尿嘧啶、亚叶酸钙、奥沙利铂和多西他赛,每2周重复。SOX组(n=34):接受3个周期的治疗,方案为奥沙利铂(第1天)联合口服S-1(第1~14天),每3周重复。新辅助化疗结束后,患者接受标准的D2根治性胃切除术。本报告分析的预设次要终点为总生存期(OS)和无病生存期(DFS)。

研究结果

截至数据分析时,中位随访时间为65.7个月,所有患者的生命状态均得以确认,随访率达到100%。两组患者的基线特征均衡可比。

生存结局:长期生存数据无显著差异

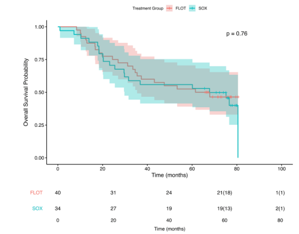
研究结果显示,两种方案的长期生存结果相当,未观察到统计学上的显著差异。FLOT组的中位OS为61.5个月,SOX组为67.8个月(HR 1.101,95% CI:0.595~2.036,P=0.76)。两组的3年OS率分别为62.5%和55.9%。FLOT组的中位DFS为23.0个月,SOX组为25.5个月(HR 1.060,95% CI: 0.597~1.884,P=0.84)。两组的3年DFS率分别为31.6%和43.6%。

表1 OS和DFS结果

2.png

图1 OS与DFS的Kaplan-Meier曲线

复发模式与预后因素

在接受手术的55名患者中,两组的复发率相似。总体复发率为49.1%,FLOT组的复发率数据更高(17/31;54.8%),而SOX组(10/24;41.7%)。最常见的复发部位是腹膜后淋巴结(FLOT:22.6%;SOX:20.8%)和腹膜(FLOT:16.1%;SOX:16.7%)。值得注意的是,肺转移仅在FLOT组中观察到(12.9% vs 0%),而脑转移在SOX组中更常见(8.3% vs 3.2%)。

多变量分析发现,胃切除术的类型是唯一独立的OS预测因子(P=0.0020)。在逐步选择中,排除了治疗组、肿瘤消退等级、Lauren分类和术后分期。这提示,与化疗方案本身相比,肿瘤位置决定的手术方式可能是更强的生存预测因子。

研究结论

作为首个直接比较FLOT与SOX方案长期生存的随机对照试验,DRAGON III研究的5年随访结果表明,两种新辅助化疗方案在局部晚期胃癌患者中具有相当的长期生存获益,中位总生存期均超过5年。

这一探索性II期研究的结果提示,临床医生在选择新辅助方案时,可以更多地基于患者的具体情况、个人偏好、机构经验以及方案的可及性与便利性(如SOX方案周期更少、有口服药物)来制定个体化决策,而无需过分担忧两种方案在生存疗效上的差异。尽管该研究存在单中心、样本量较小等局限性,其结论仍需在更大规模的III期试验中得到验证,但它为当前临床实践提供了重要的循证依据,并为未来联合治疗策略(如联合免疫治疗)的化疗基石选择奠定了基础。

参考文献

Birendra Kumar Saha, Zhenjia Yua, Benyan Zhang. et al.Neoadjuvant FLOT versus SOX chemotherapy in locally advanced gastric cancer: secondary outcomes of a single-centre, open-label, randomised, exploratory phase 2 trial.eClinicalMedicine.Online first, ctober 05, 2025.

责任编辑:肿瘤资讯-QTT
排版编辑:肿瘤资讯-AS
版权声明
版权归肿瘤资讯所有。欢迎个人转发分享,其他任何媒体、网站如需转载或引用本网版权所有内容,须获得授权,且在醒目位置处注明“转自:良医汇-肿瘤医生APP”。

评论
2025年10月13日
阚随随
安阳市肿瘤医院 | 肿瘤内科
FLOT组的中位OS为61.5个月,SOX组为67.8个月(HR 1.101,95% CI:0.595~2.036,P=0.76)。两组的3年OS率分别为62.5%和55.9%。FLOT组的中位DFS为23.0个月,SOX组为25.5个月(HR 1.060,95% CI: 0.597~1.884,P=0.84)。两组的3年DFS率分别为31.6%和43.6%。
2025年10月13日
马建增
阳光融和医院 | 肿瘤内科
DRAGON III研究5年生存结果公布,胃癌新辅助化疗两者疗效相当
2025年10月12日
王亮
暨南大学附属第一医院(广州华侨医院) | 肿瘤内科
这是II期研究,而非III期!