您好,欢迎您

中美突破性疗法大PK:4年1233份申请验证新药研发蓬勃兴起

2025年10月09日
来源:王一树


突破性疗法认定(BTD)是一条新药加速批准的监管路径,旨在加快具有潜在显著临床获益的新型疗法的研发进程,尤其适用于存在未满足需求的严重疾病。在美国于2012年设立了该项目,而中国在2020年7月推出了类似项目。两者均以药物-适应症组合为认定对象,一种药物可因不同适应症获得多个BTD。短短几年间,中美在BTD领域的发展路径差异明显,下面是一些其中关键信息。

总体趋势:中国启动晚但增速显著

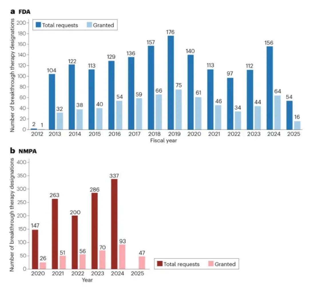
从申请数量来看,2020年至2024年(美国按财政年度、中国按自然年度),美国FDA共收到672份BTD申请,而中国NMPA的申请量达1233份,且呈逐年上升趋势,从2020年的147份增长至2024年的337份,增速十分显著。



但获批率方面,美国表现更高:FDA在672份申请中批准265份,获批率39.4%,且项目初期前5年获批率35.1%,经多年完善后,第6-13年稳定在41.3%;中国NMPA批准343份,获批率仅27.8%。不过中国有一突出亮点,获批的343份BTD中,237份属于国产自研药物,占比69.1%,直观体现出中国生物制药创新的快速发展。

中国获批率偏低,并非审核标准过严,而是多数申办方对产品临床价值估计过高,或在缺乏充分临床数据时过早申请,本质是中国BTD项目尚处初期,企业经验不足所致。我们也看到药监部门对于BTD的要求越来越清晰完善,对于突破性亟需性药品的要求,也是保障了速度及患者获益并避免同质化加速的平衡。


已获批BTD的上市与加速效果


在上市进展上,中国343份获批BTD中,81份(23.6%)已获上市批准,涉及72种独特药物,2024年单年批准30个相关药物-适应症组合,2025年上半年又批准22个,按此趋势2025年有望再创新高;美国因起步早,积累更深厚,项目启动以来630份获批BTD中,336份(53.3%)已上市,涉及227种独特药物,仅前5年获批的165份BTD中,就有61份(37.0%)成功上市。


BTD之所以能加速新药落地,核心在于监管机构的密集指导与其他加速路径的叠加。美国BTD药物可叠加加速批准,中国BTD药物可叠加附条件批准,两者均允许药物基于替代指标获批,只要该指标大概率能转化为患者实际临床获益,如改善症状、功能或延长生存期。数据显示,中国前5年上市的BTD中,61.7%同时获附条件批准,远高于2021-2023年非BTD药物约16%的附条件批准率;美国42.9%的上市BTD同时获加速批准,同样高于同期非BTD药物约15%的加速批准率。此外,中美均为BTD药物提供优先审查,进一步缩短审查周期。


获批BTD的药物类型与治疗领域


从药物类型看,中美获批BTD的主力高度一致,小分子药物和单克隆抗体均占比约80%,是当前研发的核心方向。但美国覆盖范围更广,除主流类型外,还批准了ADC(抗体药物偶联物)、细胞疗法、疫苗、基因疗法、核酸药物等新兴疗法;中国虽也在跟进,已上市的81份BTD中,ADC占8.3%、细胞疗法占7.1%,但整体新兴疗法布局仍不及美国全面。


治疗领域方面,肿瘤(含实体瘤和血液系统肿瘤)是两国共同焦点,但中国侧重更集中:77.8%的上市BTD针对肿瘤,非肿瘤领域中仅皮肤病占4.9%,其他领域几乎无存在感;美国肿瘤领域BTD占比57.2%,非肿瘤领域则多点开花,感染性疾病占9.2%、神经系统疾病占5.4%、代谢性疾病占4.8%,布局更均衡。




BTD体系的问题与改进方向


当前BTD体系存在不少待解决的问题。一是认知偏差,医生和患者常将BTD标签视为更高临床价值的象征,但部分BTD药物最终并无明确临床优势,因早期临床结果未必能转化为后期成功,且存在不确定性。想来FDA最近加大对于OS的关注,应该也是考虑到患者长期获益才是硬道理。二是透明度不足,中美监管机构均未建立清晰的BTD授予机制,FDA甚至未公布完整获批名单,导致企业宣布获BTD时,外界易产生困惑。三是缺乏动态评估,美国虽每年报告BTD撤销情况,但中国尚未建立相关机制,可能造成监管资源浪费。


针对这些问题,改进方向十分明确:首先需制定清晰的BTD认定标准,明确合格与不合格边界,减少不必要申请,引导企业聚焦真正满足医疗需求的药物;其次要提升审批透明度,公开流程与理由,方便外界理解监督;最后需建立动态评估机制,定期复查已获批BTD,对不符合要求的及时撤销,将资源集中于真正具有变革性的疗法。


中国BTD的创新来源与国际化布局


中国BTD项目高度聚焦本土生物制药产业,已上市的81份BTD中,51份(62.9%)为国产自研,且所有获批细胞治疗产品均为国产。更值得关注的是,这些国产新药积极开拓国际市场,51份国产BTD中,35份(43.2%)在美国开展过临床试验。例如,2020年中国为sunvozertinib授予BTD,2024年该药获美国BTD及加速批准;Akeso公司研发的PD-1×VEGF双特异性抗体ivonescimab,2022年获中国BTD后,与美国Summit Therapeutics达成50亿美元授权合作,展现出中国新药的国际化潜力。

中国BTD项目成效显著,国产新药崛起、上市速度加快、国际化步伐提速,每一项都是实打实的突破。尽管与美国相比,在经验积累、领域布局广度上仍有差距,但随着中国监管体系持续完善,企业对BTD标准的理解不断加深,未来必将有更多国产好药通过这条绿色通道,更快地为患者带来希望。中美两国也需共同优化BTD监管流程,以更严格明确的标准和动态评估机制,推动真正的变革性疗法落地。


doi:https://doi.org/10.1038/d41573-025-00153-4(0)IF:101.8

评论
2025年10月10日
李刚
梧州市红十字会医院 | 肿瘤内科
总体趋势:中国启动晚但增速显著!
2025年10月10日
李云龙
磐石市医院 | 乳腺外科
获益良多,谢谢分享。
2025年10月09日
雨夜
钦州市中医医院 | 肿瘤内科
路漫漫其修远兮,吾将上下而求索