您好,欢迎您

复发MM患者更优预后,更长生存,始于VGPR|首次复发患者的治疗选择至关重要,KPd方案可带来75%的≥VGPR率

2025年01月07日
整理:肿瘤资讯
来源:肿瘤资讯

多发性骨髓瘤(MM)仍是一种不可治愈的疾病,患者终将面临复发。复发按照发生次数分为首次复发(第一次复发)和多线复发(第二次或以上复发),多线复发的患者获得高危细胞遗传学的概率增加,治疗难度随之增加,复发次数越多,无进展生存和复发后的生存时间越短。部分患者因各种原因可能仅有两次机会接受抗骨髓瘤治疗。因此,首次复发MM患者的治疗非常重要,恰当的治疗可使这部分患者最大程度获益。在首次复发的MM患者中,以卡非佐米为基础的联合方案优势显著,NCCN(2024.V3)推荐对于来那度胺耐药的MM患者可采用KPd方案。本期《复发MM患者更优预后,更长生存,始于VGPR》将聚焦首次复发MM患者治疗达≥VGPR的重要性,以及KPd方案的疗效及安全性。

把握首次复发MM节点,疗效达到≥VGPR至关重要

近年来,随着临床研究的不断深入,MM领域新药的不断涌现,患者的生存率已显著提高。但MM依旧是一种不可治愈的疾病,患者复发在所难免,且若首次复发未得到有效的规范治疗,随着复发次数增加,治疗效果和预后随之下降,患者的无进展生存期(PFS)和复发后的生存时间也不断缩短。一项纳入4997例MM患者的真实世界调查显示,随着治疗线数的后移,患者缓解率逐渐降低,中位PFS逐渐缩短[1]。因此,首次复发时的治疗选择尤为关键,是MM患者获得深度缓解的重要契机。VGPR是MM疗效评估的重要指标之一,一项回顾性研究[2]显示,达到≥VGPR的患者与达到<VGPR的患者相比,早期复发的风险降低了约76%(OR 0.24,P<0.001),同时,患者达到≥VGPR有望实现长期的疾病控制,从而延长生存。

结合我国国情,基于前线复发/耐药情况选择适合首次复发MM患者的治疗方案

首次复发MM患者的治疗目标是获得最大程度的缓解,并尽可能延长无进展生存期(PFS)。而我国MM患者一线治疗多采用硼替佐米和(或)来那度胺-based方案,因此,首次复发方案选择应根据患者对硼替佐米、来那度胺的耐药情况进行分析。考虑到我国目前药物可及性情况,2022年中国肿瘤整合诊治指南(CACA-MM)建议,根据患者对来那度胺、硼替佐米的耐药情况更换新一代蛋白酶体抑制剂(PI;如卡非佐米)和新一代免疫调节剂(IMiD;如泊马度胺),或选择不同作用机制的药物如CD38单抗(如达雷妥尤单抗、isatuximab)、XPO1抑制剂(如塞利尼索)等药物[3]

其中,卡非佐米是第二代PI,由于结构的优化,其对蛋白酶体的抑制作用更强,脱靶率更低[4]。自2022年卡非佐米在中国商业化上市,并于2023年进入《国家基本医疗保险、工伤保险和生育保险药品目录》以来,国内卡非佐米的可及性大大提升。2024年CSCO指南中,KPd方案和Kd-Isa(卡非佐米+地塞米松+艾沙妥昔单抗)方案在全场景(硼替佐米敏感、硼替佐米耐药、来那度胺敏感、来那度胺耐药,及硼替佐米+来那度胺双耐药)RRMM患者中,均获Ⅰ级推荐[5]。因此,对于首次复发MM患者,以卡非佐米为基础的治疗方案成为了一个极具潜力的选择。

循证依据充分,KPD方案治疗首次复发患者,≥VGPR率可达约75%

EMN011/HOVON114研究是一项随机、开放性、Ⅱ期研究,纳入的是EMN02研究中接受治疗且根据IMWG标准为原发性难治或治疗期间进展/复发的MM患者[6]。共86例(77%)患者完成了8个周期的KPd治疗,其中48例(43%)患者的卡非佐米或泊马度胺(P)未减量。所有接受KPd治疗的患者,至首次缓解的时间为2个月,最佳缓解分别为:≥完全缓解(CR)率37%、≥VGPR率75%、≥部分缓解(PR)率为92%。

表1. 基于前线治疗的最佳缓解情况(IMWG标准)

image001.png

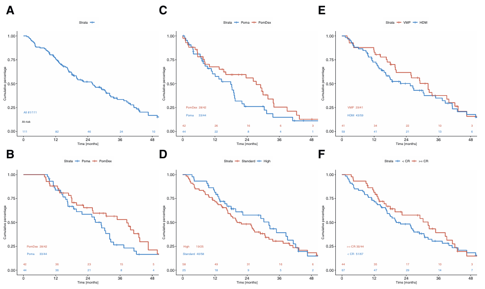
中位随访40个月(范围:9~66个月)时,意向性治疗人群从入组开始的中位PFS为26个月。Pd(泊马度胺、地塞米松)组(n=42)自随机化后的中位PFS为27个月,而P单药组(n=44)为18个月(HR=0.68,P=0.14)。从开始使用Pd或P至停药的中位时间分别为18个月和15个月。

image003.png

图1. PFS:(A)所有患者;(B)从注册开始计算;(C)从随机开始计算;(D)高危对比标危;(E)基于EMN02研究前线治疗;(F)基于EMN02前线治疗的最佳缓解

表2. PFS和OS结果

image005.png

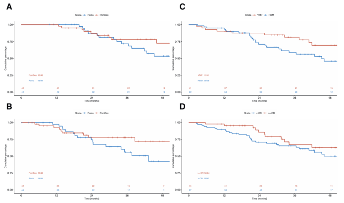
在该研究中,来那度胺维持治疗时间>36个月会对PFS产生负面影响(HR 3.56,P=0.035)。P和Pd组的中位OS均为67个月。研究人员还比较了HDM+ASCT和接受HDM但未ASCT的患者的OS,结果显示HDM+ASCT的结局更优。但与这两组相比,KPd+HDM/ASCT患者的OS优势更显著P=0.019)。

image007.png

图2.OS:(A)从注册开始计算;(B)从随机开始计算;(C)基于EMN02研究的前线治疗;(D)基于EMN02研究的最佳缓解

在安全性当面,KPd方案耐受性良好,111例患者中有86例完成8个周期治疗,接受全剂量卡非佐米、泊马度胺、地塞米松的患者分别占72%、68%、81%。

总体而言,对于首次复发MM患者,KPd序贯泊马度胺方案是一种有效且安全的三联方案,可使患者获得深度且持久的缓解。

专家点评
钟玉萍
血液科主任

青岛市市立医院 

青岛市高层次引进人才

亚洲骨髓瘤网成员(AMN)
中国医师协会血液科医师分会全国委员
中国人体健康科技促进会理事
中国人体健康科技促进会浆细胞疾病专业委员会主任委员
中国医师协会多发性骨髓瘤专业委员会 委员
中华医学会血液学分会浆细胞疾病学组委员
中国老年学会血液肿瘤专业委员会常委
中国少见浆细胞疾病联盟成员
山东省抗癌协会淋巴瘤专业委员会副主任委员
北京协和医学院博士,曾于美国德克萨斯大学安德森癌症中心淋巴瘤与骨髓瘤系做博士后研究,先后到梅奥,意大利都灵医学院和国际骨髓瘤基金会等国际医疗中心进行学习和交流。
2004年-2020年在首都医科大学附属北京朝阳医院工作
发表文章60余篇,SCI 30余篇。参编人民卫生出版社出版的《多发性骨髓瘤》2部;主持和参与多项基金。参与多部行业指南的撰写与讨论。
研究方向:淋巴、浆细胞疾病的诊断与治疗

钟玉萍教授:首次复发MM患者的治疗选择需综合考虑多种因素:(1)治疗相关因素,包括一线诱导治疗方案、首次缓解质量和持续时间、一线治疗相关毒性、是否接受过ASCT以及患者在复发/进展时是否处于维持阶段;(2)疾病相关因素,包括疾病表现和进展速度;(3)患者相关因素,包括器官功能、年龄和体能状态等[7]


早期干预对MM患者至关重要,恰当的治疗可使首次复发患者获得最大程度的缓解,同时延长PFS,这也是其治疗目标所在[8]。VGPR是MM疗效评估的重要指标之一,不仅标志着治疗的有效性,还关联着患者生存期的延长及生活质量的提升,达到≥VGPR有望延长患者生存期和提高患者生存质量。


卡非佐米作为新一代PI,已在我国获批与地塞米松联合用于治疗R/R MM成人患者,患者既往至少接受过2种治疗,包括PI和IMiD。因此,该药尤其适用于一线治疗硼替佐米和/或来那度胺耐药患者,可显著改善首次复发MM患者的缓解率和生存率,为这类患者带来了新希望。EMN011/HOVON114研究显示,KPd治疗首次复发MM患者的中位PFS达26个月,≥VGPR率达到了75%,且细胞遗传学高危患者OS与总人群间无显著差异,这一结果为卡非佐米在首次复发MM治疗中的应用提供了有力的证据。


总体而言,综合考虑患者的个体差异和疾病特点,制定适合的治疗方案,以实现VGPR或更深的缓解,对于改善首次复发MM患者的预后至关重要。随着新药的不断研发和临床应用,我们有理由相信,MM患者的治疗前景将更加光明。

往期回顾:

【1】MM患者更优预后,更长生存,始于MRD的优化评估

【2】MM患者更优预后,更长生存,始于VGPR | KRD用于老年初治高危MM的病例分享

【3】MM患者更优预后,更长生存,始于VGPR|VGPR 或更好的缓解率作为较好的预后因素可用于预测中位PFS

【4】MM患者更优预后,更长生存,始于VGPR|卡非佐米联合治疗1q21+高危初治MM患者中可快速实现≥VGPR

【5】MM患者更优预后,更长生存,始于VGPR | KPD方案治疗一例首次复发MM患者,2疗程即达sCR

【6】MM患者更优预后,更长生存,始于VGPR|ASCT前达到≥VGPR有望提高NDMM患者ASCT后疗效和缓解深度

【7】MM患者更优预后,更长生存,始于VGPR|卡非佐米联合方案治疗一线标准治疗中疾病进展的高危MM患者,4疗程便达VGPR

【8】MM患者更优预后,更长生存,始于VGPR|K-based方案开启适合移植NDMM治疗新篇章:提高≥VGPR率,克服高危,延长生存

【9】MM患者更优预后,更长生存,始于VGPR|一例合并中枢神经髓外病变MM患者接受含卡非佐米方案治疗后达≥VGPR,四肢肌力显著恢复

【10】MM患者更优预后,更长生存,始于VGPR|KDd方案治疗R/R MM可获得近70%的VGPR率

【11】MM患者更优预后,更长生存,始于深度缓解|不适合移植NDMM接受K-based方案治疗可获得较高≥VGPR率,有望改善预后和生存

【12】MM患者更优预后,更长生存,始于VGPR|“因材施药”,PI升级为一例高危NDMM患者带来显著获益,2疗程即达VGPR

【13】MM患者更优预后,更长生存,始于VGPR|聚焦高危,优化治疗,卡非佐米助力一例新诊断HRMM患者实现VGPR

【14】MM患者更优预后,更长生存,始于VGPR|卡非佐米联合方案治疗合并del(17p)的R/R MM患者,4疗程即达CR

【15】MM患者更优预后,更长生存,始于VGPR|卡非佐米联合方案治疗一例伴PN的MM患者,不仅降低PN风险,并能快速实现≥VGPR

【16】MM患者更优预后,更长生存,始于VGPR | 一例首次复发MM患者经KPd方案治疗后快速获得CR,并维持至今

【17】MM患者更优预后,更长生存,始于VGPR|适合/不适合移植NDMM,K-based方案可带来90%~95%左右的VGPR率

【18】MM患者更优预后,更长生存,始于VGPR|K-based方案作为NDMM移植后维持治疗,可带来较高的≥VGPR率,提示更好的预后

【19】MM患者更优预后,更长生存,始于VGPR | K-based方案治疗一例三打击的超高危NDMM,4疗程便达MRD阴性的CR

参考文献

[1] Yong. Br J Haematol. 2016;175(2):252-264.
[2] Corre J, et al. Haematologica. 2020;105(9):e480-e483.
[3] 中国抗癌协会. 中国肿瘤整合诊治指南. 2022.
[4] Thibaudeau TA, et al. Pharmacol Rev. 2019;71(2):170-197.
[5] 2024 CSCO-MM Guideline.
[6] Sonneveld P, Zweegman S, Cavo M, et al. Carfilzomib, Pomalidomide, and Dexamethasone As Second-line Therapy for Lenalidomide-refractory Multiple Myeloma [published correction appears in Hemasphere. 2023 Feb 22;7(3):e856]. Hemasphere. 2022;6(10):e786. Published 2022 Sep 30. doi:10.1097/HS9.0000000000000786.
[7] Devarakonda S, et al. Hematology Am Soc Hematol Educ Program. 2022 Dec 9;2022(1):560-568.
[8] 中国首次复发多发性骨髓瘤诊治指南(2022年版).

责任编辑:肿瘤资讯-mathilda
排版编辑:肿瘤资讯-kk
版权声明
版权归肿瘤资讯所有。欢迎个人转发分享,其他任何媒体、网站如需转载或引用本网版权所有内容,须获得授权,且在醒目位置处注明“转自:良医汇-肿瘤医生APP”。