您好,欢迎您

中国好声音丨牛晓辉教授团队领衔的国际多中心Ⅲ期研究登顶《柳叶刀》,匹米替尼有望重塑TGCT诊疗指南

03月10日
整理:肿瘤资讯
来源:肿瘤资讯

近日,一项由首都医科大学附属北京积水潭医院牛晓辉教授团队在国际医学顶级期刊The Lancet(《柳叶刀》,IF=88.5)上发表了题为“Pimicotinib versus placebo for tenosynovial giant cell tumour (MANEUVER): an international, randomised, placebo-controlled, phase 3 trial”的研究论文。


该研究由北京积水潭医院牵头,在亚洲、欧洲和北美共 40家医院开展,是首个同时纳入中国与非中国患者、比例均衡的腱鞘巨细胞瘤(TGCT)的国际多中心、随机、双盲、安慰剂对照Ⅲ期临床研究。研究系统评估了高选择性CSF-1R抑制剂匹米替尼的疗效与安全性,为TGCT的系统治疗提供了高质量、国际通用的循证医学证据,有望重塑不可切除或手术受限 TGCT 的治疗策略,具有重要的临床价值和国际学术影响。

专家介绍

牛晓辉
主任医师,教授、博士生导师

北京积水潭医院 骨与软组织肿瘤诊疗研究中心 主任
中国临床肿瘤学会(CSCO)理事
中国临床肿瘤学会(CSCO)黑色素瘤专家委员会 主任委员
中国临床肿瘤学会(CSCO)肉瘤专家委员会 前任主任委员
中国抗癌协会(CACA)常务理事
中国抗癌协会(CACA)肉瘤康复专业委员会 主任委员
中国抗癌协会(CACA)肉瘤专业委员会 前任主任委员
中国抗癌协会(CACA)骨肿瘤及转移瘤专委会 副主任委员
中国医师协会 肿瘤多学科肿瘤诊疗专业委员会 常务委员
中国医师协会 骨科分会骨肿瘤专业组 副组长
中华医学会 骨科分会 骨肿瘤专业组 副组长
北京医学会 骨科分会 骨肿瘤学组 前组长
国际保肢协会 ISOLS Bylaws Committee Member
SICOT Tumor Committee Member
亚太骨与软组织肿瘤学会(APMSTS)常务理事
东亚骨与软组织肿瘤协作组(EAMOG)前主席、常务理事
《中国骨与关节杂志》副总编辑
担任34家SCI期刊审稿专家
以第一作者或通讯作者发表论文262篇,其中SCI文章44篇

310.png

研究背景

TGCT是一种起源于关节滑膜、滑囊或腱鞘的罕见局部侵袭性软组织肿瘤,多发生于青壮年人群。尽管不易远处转移,但疾病进展可导致持续疼痛、关节僵硬、活动受限,严重影响患者生活质量。TGCT 的发生机制主要与肿瘤细胞异常高表达集落刺激因子-1(CSF-1)并激活 CSF-1R 信号通路有关,长期以来系统治疗选择极为有限。

研究设计

MANEUVER 研究是一项国际多中心、随机、双盲、安慰剂对照的Ⅲ期临床试验,纳入 ≥18 岁、不可切除且有明显症状的 TGCT 患者。研究按照 2:1 随机分配至匹米替尼 50 mg 口服每日一次组或安慰剂组,双盲治疗 24 周。主要研究终点为第 25 周由盲独立评审委员会(BIRC)根据RECIST v1.1评估的客观缓解率(ORR);关键次级终点按预先规定的层级顺序分析包括由BIRC根据肿瘤体积评分(TVS)评估 ORR以及临床结局评估。

研究结果

2023年4月27日至2024年3月29日期间,共筛选了126例患者,其中94例(中国患者45例,非中国患者49例)被随机分配至匹米替尼组(n=63)或安慰剂组(n=31)。30例(32%)为男性,64例(68%)为女性。MANEUVER研究达到了其主要终点。根据RECIST v1.1评估,第25周时,匹米替尼组的ORR为54%(34/63),而安慰剂组为3%(1/31)[绝对差异为51%(95%CI 33–63),p<0.0001]。匹米替尼组中,1例(2%)患者达到完全缓解(CR),33例(52%)患者达到部分缓解(PR)。

3101.png

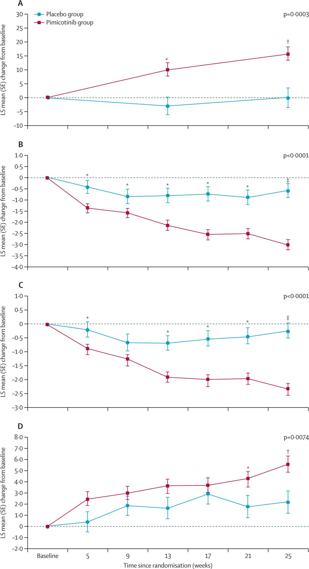
MANEUVER研究的所有关键次要终点均已达到。根据BIRC机遇TVS评估,第25周匹米替尼组的ORR为62%(39/63),而安慰剂组为3%(1/31)[绝对差异59%(95%CI 41–70),p<0.0001],与基于RECIST v1.1评估的结果一致。在第25周,与安慰剂组相比,匹米替尼组所有临床结局评估指标均显示出具有统计学意义的改善:相对关节活动度(p=0.0003)、最严重僵硬NRS评分(p<0.0001)、最严重疼痛NRS评分(p<0.0001)和通过PROMIS-PF评估的身体功能(p=0.0074)。无论根据RECIST v1.1评估的肿瘤反应和肿瘤体积评分如何,所有临床结局评估指标均观察到具有临床意义的改善。此外,匹米替尼在所有临床结局评估指标中均显示出早期改善,在首次计划评估中,相对关节活动度、最严重僵硬、最严重疼痛和身体功能均有所改善。

3102.png3103.png

安全性方面,匹米替尼主要引起轻度实验室指标异常(如肌酸激酶升高)及瘙痒、面部水肿等临床事件,大多可控,未发生胆汁淤积性肝毒性或药物性肝损伤,因不良事件停药率仅1.6%。

临床意义

作为国际多中心Ⅲ期临床研究,MANEUVER研究结果证实高选择性 CSF-1R 抑制剂匹米替尼为 TGCT 这一长期被忽视的罕见疾病提供了循证医学支持的系统治疗新方案。该研究结果有望推动 TGCT 治疗策略的更新,并改善患者的长期功能结局和生活质量。同时,MANEUVER研究结果具有地域多样性,为匹米替尼在全球范围内的监管审批和临床应用奠定了决定性的基础,标志着TGCT的药物治疗迈入了一个高效、安全的新阶段,有望直接改写该疾病的临床诊疗指南。

责任编辑:肿瘤资讯-古木
排版编辑:肿瘤资讯-古木
版权声明
本文专供医学专业人士参考,未经著作人许可,不可出版发行。同时,欢迎个人转发分享,其他任何媒体、网站如需转载或引用本网版权所有内容,须获得授权,且在醒目位置处注明"转自:良医汇-肿瘤医生APP"。

评论
03月16日
仲美玲
沭阳县中心医院 | 肿瘤内科
好好学习天天向上
03月16日
纪磊
青岛西海岸新区人民医院 | 呼吸内科
TGCT是一种起源于关节滑膜、滑囊或腱鞘的罕见局部侵袭性软组织肿瘤,多发生于青壮年人群。尽管不易远处转移,但疾病进展可导致持续疼痛、关节僵硬、活动受限,严重影响患者生活质量。TGCT 的发生机制主要与肿瘤细胞异常高表达集落刺激因子-1(CSF-1)并激活 CSF-1R 信号通路有关,长期以来系统治疗
03月16日
李朝辉
西安大兴医院 | 放疗科
好好学习天天向上