您好,欢迎您

【Nature Cancer】早期PSMA上调可预测疗效,ENZA-p研究亚组分析揭秘高危mCRPC最优治疗选择

04月28日
编译:肿瘤资讯
来源:肿瘤资讯

高危转移性去势抵抗性前列腺癌(mCRPC)预后极差,传统治疗手段有限,患者生存期短且生活质量低下。近年来,前列腺特异性膜抗原(PSMA)靶向治疗与雄激素受体信号通路抑制剂(ARSI)的联合应用,为这类患者带来了新的治疗希望,但临床中仍存在部分患者对治疗应答不佳的问题,缺乏有效的疗效预测生物标志物。
本文分享的这项随机2期ENZA-p试验亚组研究发表于肿瘤领域顶级期刊NATURE CANCER(IF=28.5)。核心探索了早期PSMA上调对高危mCRPC患者接受恩扎卢胺(enzalutamide)单药或联合¹⁷⁷Lu-PSMA-617治疗应答的预测价值;同时分析了PSMA表达动态变化与患者临床结局的关联,为高危mCRPC患者的个性化治疗选择、疗效监测及预后评估提供了重要的临床依据。

高危mCRPC治疗瓶颈与精准预测需求

恩扎卢胺是mCRPC一线标准治疗,可强效抑制肿瘤进展,但高危患者单药疗效有限、易出现耐药。PSMA是前列腺癌特异性靶点,新型放射性配体疗法¹⁷⁷Lu‑PSMA‑617在mCRPC中已展现出优异的抗肿瘤效果,对ARSI耐药患者同样获益明确。
既往研究提示PSMA表达与治疗应答、预后密切相关,但早期PSMA上调能否预测恩扎卢胺±¹⁷⁷Lu‑PSMA‑617的疗效,目前仍不清楚。
为此,ENZA‑p随机2期试验亚组研究专门对此进行探索,以期为高危mCRPC精准治疗提供关键依据。

研究设计

本研究为随机、开放标签、2期临床试验的亚组分析,入组人群为PSMA PET/CT检查提示至少1处可测量病灶且PSMA表达阳性(肿瘤/肝脏摄取比≥2)的高危mCRPC患者。
研究将患者随机分为两组:恩扎卢胺单药组(ENZA组)恩扎卢胺联合¹⁷⁷Lu-PSMA-617组(ENZA+RLT组),两组患者均持续接受恩扎卢胺治疗(160 mg,每日1次口服),ENZA+RLT组额外接受¹⁷⁷Lu-PSMA-617治疗(每6周1次,共4个周期,每次剂量根据体重调整为7.4 GBq)。
主要研究终点:早期PSMA上调对治疗应答(PSA应答率、影像学无进展生存期)的预测价值。

早期PSMA上调是高危mCRPC患者治疗的独立不良预测因素

患者分别在基线(治疗前)、治疗6周(第1次¹⁷⁷Lu-PSMA-617治疗后,ENZA组为单纯恩扎卢胺治疗6周)进行PSMAPET/CT检查,评估PSMA表达变化;每12周进行PSA检测及影像学评估,监测疾病进展。早期PSMA上调定义为:治疗6周时,PSMAPET/CT提示肿瘤病灶的PSMA摄取较基线升高≥20%。

1.早期PSMA上调与PSA应答的关联:

PSMA非上调组患者的PSA应答率(PSA水平较基线下降≥50%)显著高于上调组:整体PSA应答率分别为68.3%(56/82)、35.7%(15/42)(P<0.001);其中ENZA组中,非上调组PSA应答率为57.1%(20/35),上调组为25.0%(7/28)(P=0.008);ENZA+RLT组中,非上调组PSA应答率为78.7%(37/47),上调组为50.0%(7/14)(P=0.042)。提示早期PSMA上调与PSA应答不佳显著相关,且无论是否联合¹⁷⁷Lu-PSMA-617,这一关联均存在。

2.早期PSMA上调与生存数据的关联:

影像学无进展生存期(rPFS):PSMA非上调组中位rPFS为14.2个月(95%CI:12.5~15.9),显著长于上调组的6.8个月(95%CI:5.3~8.3)(P<0.001);亚组分析显示,ENZA组中,非上调组中位rPFS为11.5个月(95%CI:9.8~13.2),上调组为5.6个月(95%CI:4.1~7.1)(P<0.001);ENZA+RLT组中,非上调组中位rPFS为16.8个月(95%CI:14.9~18.7),上调组为8.9个月(95%CI:7.2~10.6)(P<0.001)。

图1  ENZA组和ENZA+RLT组的影像学无进展生存期

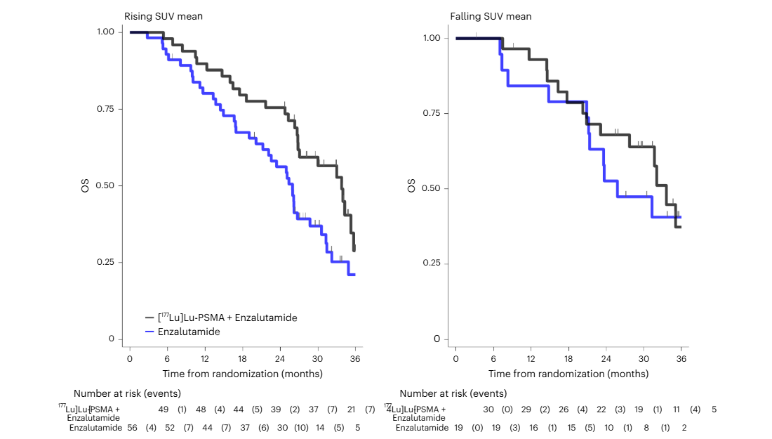
总生存期(OS):PSMA非上调组中位OS为25.3个月(95%CI:23.1~27.5),显著长于上调组的15.7个月(95%CI:13.4~18.0)(P<0.001);亚组分析显示,ENZA组中,非上调组中位OS为22.1个月(95%CI:19.8~24.4),上调组为14.3个月(95%CI:11.9~16.7)(P=0.002);ENZA+RLT组中,非上调组中位OS为28.5个月(95%CI:25.8~31.2),上调组为17.9个月(95%CI:15.2~20.6)(P=0.003)。
此外,PSMA上调幅度与疗效呈负相关:上调幅度越大,PSA应答率越低,rPFS和OS越短(P均<0.05)。

图2   ENZA组和ENZA+RLT组的总生存期

3.不同治疗组的疗效差异及PSMA上调的影响

整体人群中,恩扎卢胺联合¹⁷⁷Lu‑PSMA‑617治疗显著优于单药恩扎卢胺,中位rPFS、中位OS及PSA应答率均更具优势。
进一步分类显示:在PSMA非上调的患者中,联合治疗的生存获益尤为突出;而在PSMA早期上调的患者中,联合治疗与单药治疗的疗效无明显差异。这提示,早期PSMA上调可能会抵消¹⁷⁷Lu‑PSMA‑617带来的联合治疗获益。

两组治疗方案耐受性良好,无未知不良反应发生,且PSMA上调组与非上调组不良反应发生率无显著差异。

总结

本研究通过ENZA-p试验亚组分析,明确了早期PSMA上调是高危mCRPC患者接受恩扎卢胺±¹⁷⁷Lu-PSMA-617治疗的独立不良预测因素,可有效预测患者的PSA应答不佳、影像学无进展生存期缩短及总生存期降低;同时发现,早期PSMA上调可能削弱¹⁷⁷Lu-PSMA-617与恩扎卢胺的联合治疗获益,而PSMA非上调患者更能从联合治疗中获得生存优势。
该研究为高危mCRPC患者的个性化治疗提供了重要的生物标志物支撑,临床中可通过治疗6周时的PSMAPET/CT监测,识别出早期PSMA上调的高危患者,及时调整治疗策略(如更换治疗方案、增加联合治疗手段),以改善患者预后;后续可进一步探索PSMA上调的分子机制,以及针对PSMA上调患者的优化治疗方案,为高危mCRPC患者提供更精准的治疗选择。[1]

参考文献

EmmettL,SwihaM,PapaN,etal.PredictivevalueofearlyPSMAupregulationfortheresponsetoenzalutamide ± 177Lu-PSMA-617inpoor-risk,metastatic,castration-resistantprostatecancer:substudyoftherandomized,phase2ENZA-ptrial.NatCancer.PublishedonlineApril15,2026.doi:10.1038/s43018-026-01140-3.



责任编辑:肿瘤资讯-DWJ
排版编辑:肿瘤资讯-DWJ


版权声明
本文专供医学专业人士参考,未经著作人许可,不可出版发行。同时,欢迎个人转发分享,其他任何媒体、网站如需转载或引用本网版权所有内容,须获得授权,且在醒目位置处注明"转自:良医汇-肿瘤医生APP"。

评论
04月28日
张德伟
黄骅市人民医院 | 放疗科
高危转移性去势抵抗性前列腺癌(mCRPC)预后极差,传统治疗手段有限,患者生存期短且生活质量低下。