您好,欢迎您

突破治疗局限?卡非佐米三联疗法长期应用新探索——欧洲骨髓瘤网络真实世界研究揭晓答案

2025年12月12日
整理:肿瘤资讯
来源:肿瘤资讯

在复发/难治性多发性骨髓瘤(RRMM)的治疗领域,卡非佐米联合来那度胺和地塞米松(KRd 方案)早已凭借ASPIRE试验的亮眼数据成为核心方案之一。自2016年在意大利获批以来,该方案的临床应用逐渐突破了原试验设定的18周期限制,部分医疗中心开始采用持续给药模式(cKRd)。近日,发表于Annals of Hematology杂志的一项多中心回顾性真实世界研究,通过48.59个月的长期随访,首次系统对比了固定周期与持续KRd方案的安全性和有效性,为临床决策提供了关键参考。

研究背景:临床需求驱动治疗方案优化

多发性骨髓瘤(MM)是一种浆细胞恶性增殖性疾病,尽管蛋白酶体抑制剂、免疫调节剂等药物的应用显著改善了患者预后,但多数患者仍会面临疾病复发或耐药。卡非佐米作为高选择性蛋白酶体抑制剂,与来那度胺、地塞米松组成的KRd方案,在ASPIRE试验中展现出卓越疗效——中位总生存期(mOS)达48.3个月,显著优于来那度胺联合地塞米松(Rd方案)的40.4个月。

基于该试验结果,KRd方案在欧洲及意大利获批用于RRMM治疗,但未对给药周期设置明确限制。部分中心在18周期后继续使用卡非佐米,形成持续治疗模式。此前已有研究提示,持续治疗可能带来更持久的疾病控制,但缺乏针对KRd方案的大样本真实世界验证,两种给药模式的优劣之争亟待解决。

研究方法:多中心真实世界数据追踪

该研究由欧洲骨髓瘤网络(EMN)意大利分会牵头,回顾性收集了2016年10月至2023年9月期间,20家医疗中心的356例RRMM患者数据。入组患者年龄≥18岁,均接受过至少一线治疗,且符合国际骨髓瘤工作组(IMWG)制定的复发/难治标准。

治疗方案分为两组:固定周期组按照ASPIRE试验方案,接受18周期KRd治疗后转为Rd维持治疗;持续治疗组(cKRd)则在18周期后继续使用完整KRd方案直至疾病进展或出现不可耐受毒性。

研究主要终点为无进展生存期(PFS)和总生存期(OS),次要终点包括客观缓解率(ORR)、完全缓解率(CR)及不良反应发生率。

研究结果:疗效相当,安全性可控

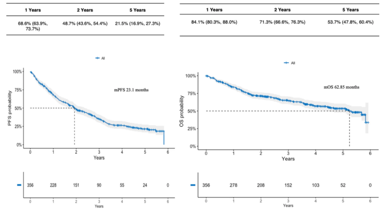
经过中位近4年的随访,研究取得了多项关键发现。在整体疗效方面,356例患者的ORR达83%,其中CR率为35%,中位PFS为23.1个月,mOS长达62.85个月,显著优于ASPIRE试验中48.3个月的OS数据。

图1. 整体人群的PFS和OS

亚组分析显示,既往治疗线数<3线的患者疗效更优,CR率达45%,5年OS率为63.9%,而≥3线治疗患者的CR率仅29%,5年OS率降至44.7%。达到CR的患者预后显著改善,1年PFS率达92.9%,远超未达CR患者的54.5%。

图2. 按治疗线列出的PFS和OS

值得关注的是,持续治疗组与固定周期组的疗效无统计学差异:两组CR率分别为62%和68%,ORR均超过95%;1年和3年PFS率、OS率也未呈现显著差异。尽管持续治疗组患者的疾病侵袭性更高(ISS Ⅲ期和R-ISS Ⅲ期比例更高),但仍实现了相当的生存获益。

安全性方面,两组不良反应发生率相近,未出现新增毒性。最常见的血液学不良反应为中性粒细胞减少(20.4%)、血小板减少(16.3%)和贫血(11.5%);非血液学不良反应以感染(22.9%)、胃肠道毒性(14.8%)和肺炎(11.9%)为主。3~4级不良反应发生率为44%,其中高血压和心血管事件的严重发生率分别仅0.3%和3.1%,提示长期使用卡非佐米的安全性可控。

总结

该研究通过大样本真实世界数据证实,KRd方案在RRMM患者中具有持久的疗效和良好的安全性,尤其是在早期复发患者中能带来显著生存获益。尽管持续KRd方案未显著提升整体患者的PFS和OS,但对于疾病侵袭性较高的患者可能具有潜在价值,且未增加严重不良反应风险。

在临床中,临床医生应根据患者的疾病分期、既往治疗史和身体状况个体化选择治疗方案,无需盲目延长卡非佐米的给药周期。未来仍需开展前瞻性随机对照试验,进一步验证持续KRd方案在高危患者中的疗效,为RRMM的精准治疗提供更坚实的证据支持。

参考文献

Conticello C, Del Fabro V, Romano A, et al. Continous or fixedcarfilzomib, lenalidomide and dexamethasone (krd) for relapsed-refractory multiple myeloma: long-term follow-up from a multicenter, retrospective real-life surveyfrom European myeloma network (emn) Italy[J]. Annals of Hematology, 2025, 104(10): 5223-5236.

责任编辑:肿瘤资讯-matilida
排版编辑:肿瘤资讯-han

版权声明

版权归肿瘤资讯所有。欢迎个人转发分享,其他任何媒体、网站如需转载或引用本网版权所有内容,须获得授权,且在醒目位置处注明“转自:良医汇-肿瘤医生APP”。