多年以来,二甲双胍 (Metformin) 一直是医学界一个“明星”般的存在。作为一种治疗2型糖尿病的廉价、常用药物,它被寄予了“老药新用”的厚望。数十项观察性研究曾报道了令人振奋的结果:使用二甲双胍似乎能显著降低癌症风险,并改善乳腺癌等癌症患者的生存率。
然而,一个矛盾始终困扰着医学界:在证据等级最高的随机对照试验 (RCTs) 中,二甲双胍的这种“抗癌”奇效却一再“失灵”,始终未能被证实。这种“真实世界研究”与“临床试验”之间的巨大鸿沟,让二甲双胍的真实价值变得扑朔迷离。
近期,一篇发表于《临床流行病学杂志》(Journal of Clinical Epidemiology) 的重要研究,通过应用严谨的流行病学设计,解决了长期以来关于二甲双胍与乳腺癌预后关系的争议。研究结果明确指出,在排除了关键的“不死时间偏倚” (immortal time bias) 后,二甲双胍的使用与乳腺癌患者的癌症相关死亡率或全因死亡率的降低并无关联 。【肿瘤资讯】整理如下,以飨读者。

“不死时间偏倚”:一个统计学陷阱
为什么早期的观察性研究会得出如此夸张的“疗效”?许多研究(包括一些荟萃分析)曾报告,二甲双胍使用者的全因死亡率降低了30%至47%之多。这一发现曾激发了大量开展RCTs的呼吁。
然而,本研究的作者指出,这些研究的“陷阱”在于未能正确处理时间问题。
“不死时间偏倚”是一个微妙但致命的统计学错误。举例来说,在一个典型的(有缺陷的)研究中,研究人员会从患者“确诊乳腺癌”的那一天开始追踪。如果一名患者在确诊后第2年才开始服用二甲双胍,她会被归入“二甲双胍组”。
陷阱就在这里:从确诊到服药的这2年时间,该患者必须保持存活,她才有机会在未来开始用药。这段她“必定存活”的时间,就是“不死时间”。有缺陷的研究错误地将这段“不死时间”里的零死亡风险,归功于二甲双胍的保护作用,从而极大地、虚假地夸大了药物的益处。

研究设计:用“正确”方法与“错误”方法正面交锋
为了克服“不死时间偏倚”,该研究采用了更稳健的“流行新用户设计” (prevalent new-user design),该设计旨在模拟一项随机试验。
数据来源: 研究团队使用了英国临床实践研究数据链 (CPRD) 的大型数据库,该数据库包含了1998年至2020年间的医疗记录,并链接了医院统计数据 (HES) 和国家统计局 (ONS) 的死亡数据。
基础队列: 纳入了13,314名新诊断为乳腺癌且患有2型糖尿病的女性。
纠偏方法: 研究人员在基础队列中识别出5,047名在随访期间新起始使用二甲双胍的患者。随后,采用“流行新用户设计”,在匹配了时间条件倾向性评分后,将4,923名二甲双胍“新用户”与4,923名在同一随访时间点仍未用药的“非使用者”进行1:1匹配。这种方法确保了比较的公平性,因为两组的随访时间是从同一“起点”(即开始用药或匹配的日期)开始计算的。

核心研究结果:两种方法的鲜明对比
该研究最关键的部分在于,它同时展示了“正确”方法和“错误”方法得出的截然不同的结论:
1. 稳健方法(流行新用户设计)的结果:未发现获益
在使用“流行新用户设计”排除了不死时间偏倚后,分析结果显示:
乳腺癌相关死亡率: 二甲双胍使用者 vs. 非使用者,风险比 (HR) 为 1.12 (95% CI: 0.98-1.28)。
全因死亡率: 二甲双胍使用者 vs. 非使用者,风险比 (HR) 为 0.96 (95% CI: 0.89-1.05)。
结论:两组之间的死亡风险没有统计学差异。这表明二甲双胍的使用与乳腺癌患者的生存率改善无关。

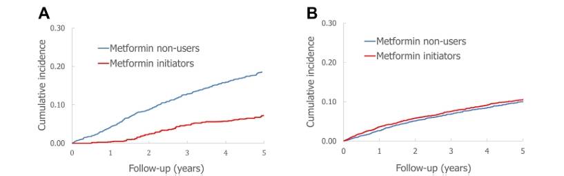
图. 乳腺癌患者在队列进入后前5年内,因乳腺癌死亡的Kaplan-Meier累积发生率曲线,比较二甲双胍使用(红线)与未使用(蓝线)。
(A) 使用naïve approach,未校正不死时间偏倚。
(B) 使用“流行新用户设计”,已校正不死时间偏倚
2. 缺陷方法(Naïve approach)的复现:虚假的“显著疗效”
随后,研究人员在该队列中故意复现了先前研究中存在的“不死时间偏倚”的方法 (naïve approach)。他们将1,354名用药者(无论何时开始用药)与3,407名非用药者进行比较,并错误地将用药者的“不死时间”计入暴露组。
结果显示:
乳腺癌相关死亡率: 调整后 HR 为 0.45 (95% CI: 0.40-0.50)。
全因死亡率: 调整后 HR 为 0.58 (95% CI: 0.54-0.62)。
结论:这种有偏倚的方法得出了“二甲双胍可将乳腺癌死亡风险降低约55%”的虚假结论,这与既往那些有缺陷的观察性研究结果“一致”。
此外,研究人员还使用了“时间依赖性Cox模型(另一种正确处理时间偏倚的分析方法)进行了验证,同样证实二甲双胍对乳腺癌死亡率(HR 1.04)和全因死亡率(HR 1.09)没有影响 。
结论与启示
该研究通过严谨的设计和对比分析,强有力地证明了二甲双胍并不能降低乳腺癌患者的死亡风险 。这一结论与RCTs的结果相符,并明确指出,既往观察性研究中报道的“显著疗效”很可能是由“不死时间偏倚”造成的方法学假象。
这项研究不仅澄清了二甲双胍在乳腺癌治疗中的真实角色,也为未来的药物流行病学研究敲响了警钟:
警惕时间相关偏倚: 在进行药物观察性研究时,必须采用恰当的研究设计(如流行新用户设计、模拟试验)或分析方法(如时间依赖性分析)来规避“不死时间偏倚”。
审慎评估“惊人疗效”: 当观察性研究报告了与RCTs不符的“惊人”或“好得难以置信”的药物疗效时,研究者和期刊审稿人应高度警惕其是否存在方法学缺陷。
设计的重要性: 正确的研究设计对于从真实世界数据中获取可靠的因果推断至关重要。
Jeffrey S. Weber, F. Stephen Hodi, Jedd D. Wolchok, et al. Safety Profile of Nivolumab Monotherapy: A Pooled Analysis of Patients With Advanced Melanoma. Journal of Clinical Oncology , 2016. DOI: 10.1200/JCO.2015.66.1389
Yao S, et al. JAMA Oncol. 2016;doi:10.1001/jamaoncol.2016.4188.
排版编辑:肿瘤资讯-Kelly






苏公网安备32059002004080号