您好,欢迎您

2025 WCLC | 深度解析:NSCLC的手术可切除性

09月28日
整理:肿瘤资讯
来源:2025 WCLC

2025年9月6日至9日,世界肺癌大会(WCLC)在西班牙巴塞罗那盛大召开,众多肺癌领域前沿研究成果悉数亮相。在非小细胞肺癌(NSCLC)治疗领域,可切除性被视为决定患者治疗路径与预后转归的核心评估指标。从肿瘤学角度而言,可切除性判断需依据肿瘤大小、位置、局部浸润深度以及有无远处转移等影像学与病理学特征;从外科视角评估,则涉及患者心肺储备功能、基础合并症状况等,这些因素共同决定患者能否耐受手术创伤并从手术治疗中获益。

III期NSCLC与N2淋巴结转移:治疗决策的复杂局面

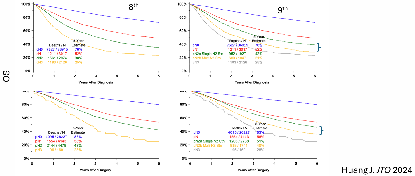
III期NSCLC的治疗决策往往面临重重挑战,其中N2淋巴结转移状态更是关键影响因素。单站N2转移(N2a)提示肿瘤在纵隔区域的扩散范围相对局限,此时若患者全身状况良好,仍可尝试通过术前新辅助治疗联合手术的综合治疗模式,力求达到肿瘤根治性切除。然而,多站N2转移(N2b)则意味着肿瘤细胞已在纵隔淋巴结多处定植,局部解剖结构遭受广泛侵犯,手术彻底清除肿瘤的难度大幅攀升。临床实践中,对于这类患者,多学科团队需基于个体化原则,谨慎权衡手术风险效益比,有时需优先采用化疗、放疗等非手术手段控制肿瘤进展,待肿瘤负荷降低、局部解剖关系相对重构后再重新评估手术可行性,此过程对临床医生的诊疗智慧与经验提出极高要求。

a4f4f2f6-69ce-487d-a953-ccc3e62584bb.png

新辅助治疗的进展:免疫治疗改写治疗版图

传统化疗通过细胞毒性药物直接杀伤肿瘤细胞,在一定程度上可使肿瘤体积缩小、分期下调,为手术创造有利条件。免疫治疗则另辟蹊径,通过激活宿主自身免疫系统,使免疫细胞识别并清除肿瘤细胞。PACIFIC试验作为免疫治疗领域的里程碑研究,证实在III期不可切除NSCLC患者中,度伐利尤单抗免疫治疗能够显著延长无进展生存期(PFS)与总生存期(OS),为不可手术患者提供新的治疗希望。NADIM II试验进一步拓展免疫治疗的应用场景,其结果显示纳武利尤单抗联合化疗的新辅助治疗方案可使R0切除率达到94%,显著提高病理完全缓解(pCR)率,这表明免疫治疗与手术的协同作用可使部分晚期患者获得根治机会,其潜在机制可能与免疫治疗对肿瘤微环境的重塑、增强肿瘤细胞免疫原性有关,为未来治疗模式的优化提供重要启示。

b0c39907-6422-47c7-a32d-7e20ed7b8afb.png

a81280cc-c375-4eef-b186-10db3db1b3ba.png

不可切除病例的转化:综合治疗的突破性成果

临床研究数据显示,在113例初始不可切除的III期NSCLC 患者接受2-4个周期的新辅助化疗联合免疫治疗后,高达 70%的患者成功实现肿瘤的可切除转化。这一转化现象的背后,是精准治疗方案对肿瘤生物学行为的深度干预。治疗过程中,肿瘤体积的显著缩小、肿瘤细胞增殖活性的抑制以及肿瘤标志物水平的持续下降等积极变化,均为转化治疗效果的客观体现。然而,转化治疗过程并非一帆风顺,需密切关注治疗相关不良反应,如免疫治疗引发的免疫相关炎症、化疗导致的骨髓抑制及脏器功能损害等,这些问题的妥善处理依赖于临床医生对治疗方案的精细调整与全程监测。此外,手术团队在面对转化后肿瘤时,需充分评估肿瘤解剖结构的改变,制定个体化的手术策略,以应对因前期治疗导致的组织粘连、解剖标志模糊等技术挑战,确保手术的安全性与根治性。

淋巴结病理学:残留与清除的预后价值

手术后的淋巴结病理评估是揭示患者预后信息的关键环节,其结果对后续治疗决策具有重要指导意义。pCR意味着在显微镜下未能检出具有活力的肿瘤细胞,而主要病理缓解(MPR)则表明大部分肿瘤细胞已被消灭,仅残存少量肿瘤灶。研究表明,达到pCR或MPR的患者相较于未达缓解患者,其PFS与OS显著延长,这反映肿瘤对新辅助治疗的高度敏感性以及手术对潜在微小病灶的有效清除。进一步分析发现,即便未达到完全病理缓解,淋巴结中残留活性肿瘤细胞的数量与分布也与预后紧密相关。残留肿瘤细胞较少的患者往往具有更长的生存期,这可能与肿瘤细胞的生物学侵袭性较低、机体免疫系统对残余肿瘤细胞的持续清除作用有关。通过对淋巴结病理状态的深入分析,可为患者制定更为精准的术后辅助治疗方案,进一步巩固治疗效果。

未来研究方向:探索未知,推动精准治疗发展

尽管NSCLC手术可切除性评估与治疗领域已取得显著进展,但仍有许多关键问题亟待深入探索。一方面,关于PD-L1 在淋巴结中的表达特征及其与肿瘤细胞PD-L1表达的相关性研究尚不充分,二者表达水平差异对免疫治疗疗效的预测价值有待明确,这将为未来个体化免疫治疗方案的制定提供关键依据。另一方面,肿瘤突变负荷(TMB)作为新兴的生物标志物,在不同NSCLC亚型及治疗阶段与免疫治疗疗效的关系尚未完全阐明,深入研究TMB与免疫微环境的交互作用有望为免疫治疗的精准应用开辟新路径。未来研究还需聚焦于多模态治疗手段的优化整合,探索如何在不同治疗阶段合理序贯应用手术、化疗、放疗及免疫治疗等手段,以最大化患者的治疗获益,推动NSCLC精准治疗不断向前发展。

责任编辑:肿瘤资讯-Bear
排版编辑:肿瘤资讯-Bear


版权声明
本文专供医学专业人士参考,未经著作人许可,不可出版发行。同时,欢迎个人转发分享,其他任何媒体、网站如需转载或引用本网版权所有内容,须获得授权,且在醒目位置处注明"转自:良医汇-肿瘤医生APP"。

评论
09月30日
乐凌云
余姚市人民医院 | 肿瘤内科
感谢分享好好学习
09月29日
林颖
沈阳市苏家屯区妇婴医院 | 儿科
在不同治疗阶段合理序贯应用手术、化疗、放疗及免疫治疗等手段,以最大化患者的治疗获益,推动NSCLC精准治疗不断向前发展。
09月29日
龙桂华
柳州市柳铁中心医院 | 药剂科
在不同治疗阶段合理序贯应用手术、化疗、放疗及免疫治疗等手段,以最大化患者的治疗获益,推动NSCLC精准治疗不断向前发展。