您好,欢迎您

吸烟与饮酒对男性弥漫性大B细胞淋巴瘤患者预后的影响:一项多中心回顾性研究

04月14日
作者:曾玉锦 桑威
单位:徐州医科大学附属医院血液科淋巴瘤中心
来源:肿瘤资讯

弥漫性大B细胞淋巴瘤(DLBCL)预后差异显著,现有评估体系主要关注肿瘤生物学因素,而生活方式因素的影响尚不明确。吸烟和饮酒与淋巴瘤的关系已有研究,但其在DLBCL预后中的作用仍存在争议,尤其在男性人群中证据有限。基于此,徐州医科大学附属医院桑威教授团队开展多中心回顾性研究,纳入371例男性DLBCL患者,采用倾向评分加权及生存分析方法评估相关性。结果显示,吸烟和饮酒均未与总体生存显著相关,但在特定亚组中存在潜在交互作用,为生活方式因素在DLBCL预后评估中的作用提供参考。

专家介绍

桑威
医学博士,副教授,主任医师,博士生导师

徐医附院细胞研究和转化医学中心副主任
徐医附院血液科科副主任,淋巴瘤病区主任
中华医学会血液学分会淋巴细胞疾病学组委员
中国抗癌协会淋巴瘤专委会委员
中国EBV相关疾病工作组秘书长

中国抗癌协会血液肿瘤专业委员会青年委员

中国抗癌协会血液肿瘤委员会慢淋工作组委员
中国抗癌协会第一届T细胞淋巴瘤工作组委员
中国老年医学会血液学分会淋巴瘤学组委员
江苏省淋巴瘤联盟副主席
江苏省医学会血液学分会淋巴瘤/骨髓瘤学组委员
江苏省“六大人才高峰”培养对象
江苏省“科教强卫工程”青年医学人才

曾玉锦

 徐州医科大学附属医院血液科   2024级硕士研究生

研究背景

弥漫大B细胞淋巴瘤(DLBCL)是非霍奇金淋巴瘤(NHL)中最常见的亚型,目前已开发出几种预后模型,包括国际预后指数(IPI)和美国国立综合癌症网络 IPI(NCCN-IPI),根据肿瘤负荷和患者相关临床特征预测生存率。然而,这些模型主要关注疾病生物学和治疗反应,而基线行为和社会人口因素对 DLBCL 患者生存结果的影响仍未得到充分探讨。

吸烟、饮酒与淋巴瘤之间的关系已被广泛研究,但研究结果仍不一致。一些研究表明吸烟与淋巴瘤亚型的风险增加有关,而另一些研究则表明两者之间没有关系,甚至呈反向关系。值得注意的是,这些研究大多侧重于疾病风险而非临床预后,很少有研究对综合临床因素进行控制。此外,按性别分层的分析也很有限,尽管有证据表明行为特征和淋巴瘤生物学方面存在性别差异。

研究目的

探讨男性DLBCL患者吸烟和饮酒与预后之间的关系。

研究方法

选取2008年5月至2025年1月在淮海淋巴瘤工作组(HHLWG)的8家医疗中心诊断为DLBCL的371例患者,收集临床资料进行回顾性分析。吸烟和饮酒状态被评估为二元变量(是或否)。采用基于倾向评分(PS)的逆概率治疗加权(IPTW)来调整潜在的混杂因素。采用 Kaplan-Meier 生存分析和 Cox 比例危险模型评估相关性。

研究结果

男性 DLBCL 患者的中位年龄为 63.0 岁,其中 57.4% 的患者年龄在 60 岁以上。17.3%的患者目前或曾经吸烟,12.7%的患者饮酒。临床上,47.3%的患者乳酸脱氢酶水平升高,44.2%的患者 ECOG体能状态评分≥2。61.7%的患者处于Ann Arbor晚期,28.1%的患者出现B症状。37.1%的患者EBV DNA阳性,非GCB亚型占多数(56.7%,表1)。OS率为67.6%,中位随访时间为33.8个月(95%置信区间:28.1-39.2)。

表1 男性DLBCL患者的基线特征

sCBXRd7bsjEbCKoX8PNaA2YRb1Hc7scg.jpg

为控制潜在的混杂因素,本研究采用IPTW法,在评估吸烟与总生存期(OS)之间的关系时,PS 模型中还包括饮酒。同样,在评估饮酒对OS的影响时,将吸烟状况作为协变量纳入模型。在吸烟状态的分析中:加权前,吸烟者和非吸烟者之间的主要差异表现在体重指数、饮酒状况、婚姻状况、ECOG体能状态评分、骨髓受累、Ann Arbor 分期和 B 症状;加权后,除 EBV DNA 状态、肝脏和脾脏受累、治疗方案外,其他协变量均保持平衡(SMD < 0.1,表 2)。

表2 IPTW前后吸烟者与非吸烟者基线特征比较图片2.jpg

在饮酒状态的分析中:加权前,饮酒者和非饮酒者在年龄、体重指数、吸烟状况、EBV DNA状态、ECOG体能状态评分、治疗方案和中枢受累方面存在明显差异;加权后某些变量仍存在不平衡,如EBV DNA状态(表3)。同样,使用IPTW对特征进行调整后,吸烟与OS无关,饮酒与OS也无明显关系(表 4)。

表3 IPTW前后饮酒者与非饮酒者基线特征比较图片3.jpg

表4 吸烟与饮酒对男性DLBCL患者总生存期影响的Cox回归分析

图片5.jpg

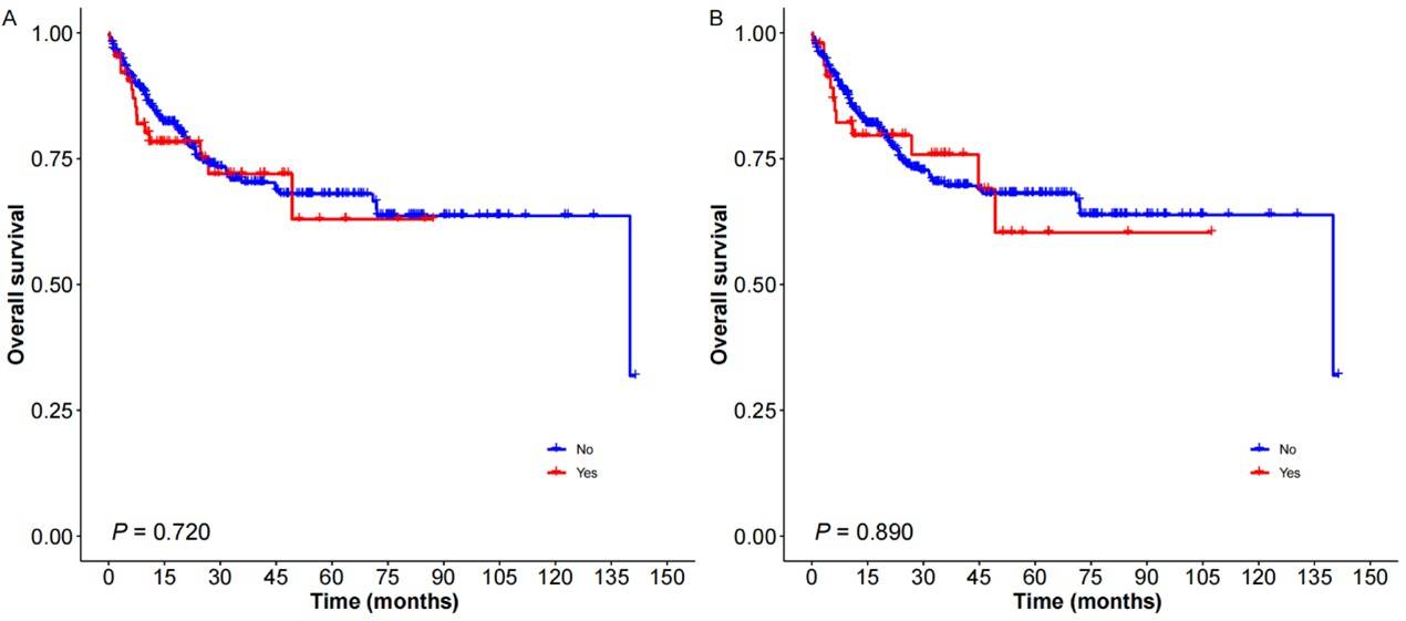
本研究中,Kaplan-Meier生存曲线和对数秩检验用于比较不同组间的OS,Cox比例危险模型用于估计吸烟和饮酒状态与OS相关性的危险比(HRs)和95%置信区间(CIs),并使用 Schoenfeld residuals 检验比例危险假设。结果表明,吸烟或饮酒组之间的OS差异无统计学意义(图1)。

图片4-图1.jpg

图1 按吸烟状态(A)和饮酒状态(B)分组的男性DLBCL患者Kaplan-Meier生存曲线。

为评估不同临床分层中吸烟和饮酒与 OS 的关系,进行了亚组分析(图 2)。大多数变量未发现具有统计学意义的交互作用;然而,吸烟与年龄之间存在显著的交互作用(交互作用的 P = 0.003)。 

在饮酒方面,EBV DNA 状态与饮酒有明显的交互作用(交互作用的 P = 0.004)。在 EBV 阳性患者中,饮酒有增加死亡风险的趋势(风险比 = 1.934,95% 置信区间:0.986-3.792,P = 0.055)。

屏幕截图 2026-04-14 104742.png

图2 吸烟状态(A)与饮酒状态(B)同男性DLBCL患者总生存期关联的亚组分析。

除此以外,本研究还进行了两项敏感性分析。首先,使用完整病例数据集评估相关性。其次,将吸烟和饮酒分别分为三组(从不吸烟、曾经吸烟、目前吸烟),以评估研究结果的稳健性。敏感性分析的结果与主要研究结果一致:在完整病例数据集中,吸烟和饮酒均与男性DLBCL患者的OS无显著相关性。如果将吸烟和饮酒分别分为三组(目前、曾经和从未),在任何一组中都没有观察到明显的相关性。

研究结论

在男性DLBCL患者中,我们没有观察到吸烟、饮酒与OS之间的显著关联。未来的研究需要进行前瞻性暴露评估、更大的样本量和分子特征描述,以明确生活方式因素在DLBCL预后中的潜在作用。

参考文献

Shen Z, Zeng Y, Rong K, Xing X, Zhang S, Wang C, Sang W, Zhuang W. Prognostic impact of smoking and alcohol consumption in male patients with diffuse large B-cell lymphoma: a multicenter retrospective study. Blood Res. 2026 Jan 2;61(1):2. doi: 10.1007/s44313-025-00120-3. PMID: 41483383; PMCID: PMC12808001.


责任编辑:肿瘤资讯-Harbor
排版编辑:肿瘤资讯-Harbor
版权声明
版权归肿瘤资讯所有。欢迎个人转发分享,其他任何媒体、网站如需转载或引用本网版权所有内容,须获得授权,且在醒目位置处注明“转自:良医汇-肿瘤医生APP”。

评论
04月14日
刘敏
濮阳市安阳地区医院 | 肿瘤内科
吸烟和饮酒与淋巴瘤的关系已有研究,但其在DLBCL预后中的作用仍存在争议,尤其在男性人群中证据有限。
04月14日
刘敏
濮阳市安阳地区医院 | 肿瘤内科
吸烟和饮酒与淋巴瘤的关系已有研究,但其在DLBCL预后中的作用仍存在争议,尤其在男性人群中证据有限。
04月14日
陈倩倩
日照市中医院 | 肿瘤内科
好好学习天天向上