您好,欢迎您

2026 ELCC | 阿司匹林联合免疫治疗,为非小细胞肺癌带来新的生存获益

03月31日
编译:肿瘤资讯
来源:2026 ELCC

非小细胞肺癌(NSCLC)是肺癌的主要类型,免疫检查点抑制剂(ICIs)的应用为其治疗带来了重要突破,但不同患者的免疫治疗应答存在明显差异。阿司匹林作为经典药物,已被证实能抑制多种肿瘤的进展与转移,但其与ICIs联用对NSCLC患者的治疗影响尚未被完全阐明。本次ELCC大会上,一项回顾性研究系统探究了阿司匹林对NSCLC患者免疫治疗应答的影响,证实二者联用存在潜在协同作用,为NSCLC免疫治疗策略的优化提供了重要临床依据。

研究设计:回顾性分析,分层探究联用疗效

该研究为回顾性分析,共纳入289例接受ICIs治疗的NSCLC患者,其中56例(19.38%)在治疗期间同步使用阿司匹林,233例(80.52%)未使用阿司匹林。

患者的治疗方案分为化疗联合ICIs、ICIs单药两类,ICIs具体为帕博利珠单抗或伊匹木单抗联合纳武利尤单抗。研究按治疗方案对患者进行亚组分层,采用Kaplan-Meier分析评估患者总生存期(OS)和无进展生存期(PFS),并通过log-rank检验验证数据的统计学差异;同时还依据PD-L1表达水平、肿瘤组织学类型(腺癌、鳞癌)进一步分层,探究不同维度下联用方案的疗效差异。

基线特征:两组人群核心指标基本均衡

研究人群的整体中位年龄为66.6岁,年龄范围38-87岁,阿司匹林组与非阿司匹林组在年龄、ECOG评分、肿瘤组织学类型、吸烟状态等核心基线指标上无明显差异,保证了研究的可比性。其中,肿瘤组织学类型上腺癌占70.6%、鳞癌占29.4%;吸烟状态以目前吸烟(49.2%)和既往吸烟(37.0%)为主。免疫治疗药物类型上,以帕博利珠单抗为主,伊匹木单抗联合纳武利尤单抗占比约29%。

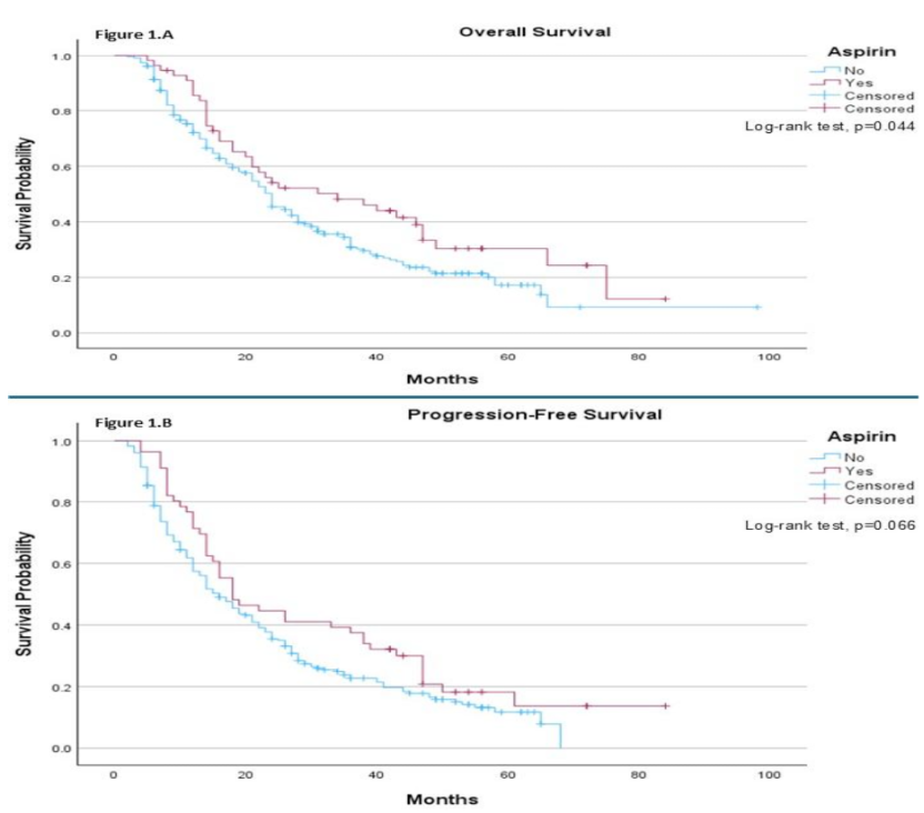
核心结果:阿司匹林联用显著提升生存获益

从阿司匹林使用与否的整体疗效来看,未使用阿司匹林的患者中位OS为24.0个月(95%CI 20.96-27.04),使用阿司匹林的患者为34.0个月(95%CI 15.02-52.98),log-rank检验证实两组OS存在统计学差异(p=0.044)。

PFS方面,未使用阿司匹林组中位值为16.0个月(95%CI 12.88-19.12),阿司匹林组为18.0个月(95%CI 10.67-25.33),虽未达到统计学显著差异,但已呈现出明显的获益趋势(p=0.066)。

1.png

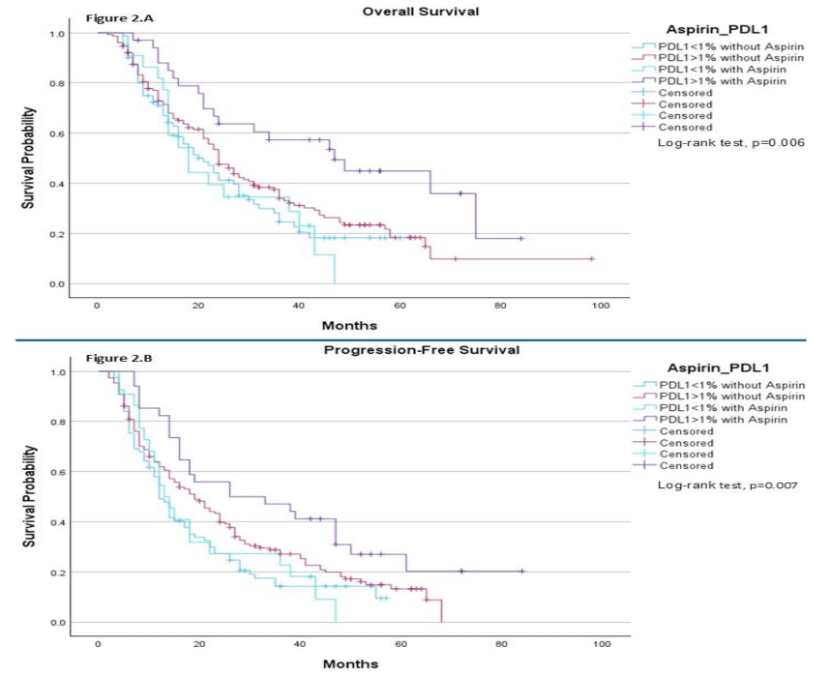
分层分析:PD-L1阳性是联用获益的关键因素

按PD-L1表达:阳性联用阿司匹林获益最显著

PD-L1表达水平是影响阿司匹林与ICIs联用疗效的核心因素,分层分析显示,不同PD-L1表达及阿司匹林使用情况的四组患者,OS和PFS均存在显著统计学差异(OS:p=0.006,PFS:p=0.007)。

其中PD-L1≥1%且使用阿司匹林的患者生存获益最突出,中位OS达47.0个月(95%CI 25.46-68.54),中位PFS为26.0个月(95%CI NE-53.14);而PD-L1<1%且使用阿司匹林的患者未体现出获益,中位OS仅18.0个月。PD-L1≥1%未用阿司匹林、PD-L1<1%未用阿司匹林的患者中位OS则分别为24.0个月、21.0个月。

2.png

按组织学类型:腺癌、鳞癌阳性患者均呈获益趋势

腺癌患者

PD-L1≥1%联合阿司匹林组的中位OS为49.0个月(95%CI 20.22-77.78),中位PFS为26.0个月(95%CI 14.15-37.85),四组间PFS存在统计学差异(p=0.030),OS接近统计学显著差异(p=0.050)。而PD-L1<1%联合阿司匹林的腺癌患者未显示出生存获益。

3.png

鳞癌患者

PD-L1≥1%联合阿司匹林组的中位OS和PFS均达47.0个月,显著优于其他亚组。虽四组间的OS(p=0.061)和PFS(p=0.065)未达到统计学显著差异,但均呈现出一定的获益趋势。同样,PD-L1<1%联合阿司匹林的鳞癌患者无明显生存获益。

4.png

研究结论:阿司匹林与ICIs存在潜在协同作用

该研究明确得出结论,与单独接受ICIs治疗相比,阿司匹林与ICIs联用能显著改善NSCLC患者的生存结局,提示二者之间存在潜在的协同作用。

这种协同作用具有明显的人群特异性,在PD-L1≥1%的NSCLC患者中表现尤为突出,在腺癌和鳞癌两大亚型的PD-L1阳性患者中也均呈现出生存获益趋势;同时,不同类型ICIs与阿司匹林的联用疗效存在差异,帕博利珠单抗与阿司匹林联用的获益更明显。

本研究为阿司匹林辅助NSCLC免疫治疗提供了重要的临床数据支持,作为一款廉价、安全的经典药物,阿司匹林有望成为NSCLC免疫治疗的辅助用药,尤其为PD-L1阳性NSCLC患者的治疗优化提供了新的选择。未来还需开展更多相关研究,明确最佳联用人群和用药方案,为阿司匹林在NSCLC免疫治疗中的临床转化应用提供更可靠的依据。


参考文献

Annals of Oncology (2026) 11 (suppl_3): 1-97. 10.1016/esmoop/esmoop106307 
185eP


责任编辑:肿瘤资讯-云初
排版编辑:肿瘤资讯-云初


版权声明
本文专供医学专业人士参考,未经著作人许可,不可出版发行。同时,欢迎个人转发分享,其他任何媒体、网站如需转载或引用本网版权所有内容,须获得授权,且在醒目位置处注明"转自:良医汇-肿瘤医生APP"。

评论
04月11日
王郭虹
桂林市第二人民医院 | 肿瘤科
好好学习天天向上
03月31日
陈倩倩
日照市中医院 | 肿瘤内科
好好学习天天向上