您好,欢迎您

夏祖光教授:ZID方案为初治WM患者提供限时治疗新选择——深度缓解与安全性双优

2025年12月25日
整理:肿瘤资讯
来源:肿瘤资讯

华氏巨球蛋白血症(WM)是一种罕见的惰性成熟B细胞淋巴瘤,以骨髓淋巴浆细胞浸润及单克隆IgM升高为特征。约95%的WM患者存在MYD88 L265P突变,该突变通过持续激活布鲁顿酪氨酸激酶(BTK)及其下游信号通路,驱动肿瘤进展[1]。一代BTK抑制剂虽具疗效,但部分患者因毒性反应需中止治疗,且停药后可能出现IgM反跳。

泽布替尼作为新一代BTK抑制剂,凭借其对靶点的高选择性及持续抑制能力,在提升疗效的同时展现出更优的安全性,为WM的联合治疗提供了新策略。一项研究评估了泽布替尼联合伊沙佐米与地塞米松(ZID方案)在初治(TN)WM患者中的疗效与安全性[2]。【肿瘤资讯】特邀复旦大学附属肿瘤医院夏祖光教授,对该项研究结果进行深入解析与点评,详情如下。

30图片1.png

ZID限时方案诱导高缓解率,深度缓解与生存获益显著

该研究是一项单中心Ⅱ期临床试验,纳入年龄≥18岁、ECOG评分为0~2分、预期生存期≥6个月的TN WM患者。研究的排除标准包括存在严重并发症、与淋巴瘤无关的肝肾功能损伤或临床神经系统功能障碍的患者。

入组患者首先接受6个周期(28天为1个周期)ZID方案的诱导治疗,每2个周期进行一次疗效评估。在诱导治疗阶段,WM患者口服泽布替尼160mg,每日2次;在每个周期的第1、8、15天口服伊沙佐米4mg联合地塞米松20mg(ID方案)。若入组患者达到微小缓解(MR)及以上,则继续接受ZID方案治疗;若患者经过初始4个周期治疗后仍未缓解,则退出该研究。

完成6个周期诱导治疗后,WM患者进入24个周期的巩固治疗阶段。在巩固治疗阶段,患者将口服泽布替尼160mg,每日2次;ID方案,每3个月给药一次。另外,研究将在治疗最后一个月停用泽布替尼,仅对患者进行ID方案治疗,以预防IgM反跳性升高。

该研究的主要终点为接受6个周期ZID方案治疗后的深度缓解率(非常好的部分缓解[VGPR]及以上);关键次要终点包括安全性、客观缓解率(ORR)、主要缓解率(MRR)、完全缓解(CR)率、VGPR率、部分缓解(PR)率和微小缓解(MR)率;其他终点包括无进展生存期(PFS)、缓解持续时间(DOR)和总生存期(OS)。

2020年7月~2022年8月,该研究共纳入24例TN WM患者并完成诱导治疗。入组患者的中位年龄为62岁(范围:32~73岁);其中6例(25.0%)患者ISSWM评分为高危;23例患者(95.8%)存在MYD88 L265P突变;19例(90.5%)患者存在IGHV突变;7例(29.2%)患者存在del (6q);5例(20.8%)患者存在CXCR4突变。

24例入组患者均完成诱导治疗,ZID方案治疗的中位持续时间为16.0个月(范围:6.0~24.0个月)。治疗后,1例(4.2%)患者达到CR,10例(41.6%)患者达到VGPR,12例(50%)患者达到PR,1例(4.2%)患者达到MR。研究的MRR为95.8%(95%置信区间[CI]:87.2%~104.5%),深度缓解率为45.8%(95%CI:24.3%~67.3%)。

5例CXCR4突变患者中,3例(60%)患者达到PR,2例(40%)患者达到VGPR;CXCR4突变患者与无CXCR4突变患者的深度缓解率分别为40%和50%,差异无统计学意义(P=0.594)(图1)。

30图片2.png

图1.入组患者的缓解情况

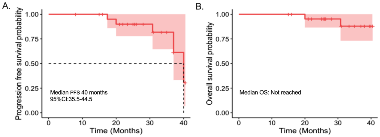
中位随访30.9个月(范围:15.0~40.5个月),研究的中位PFS为40.0个月(95%CI:35.5~44.5个月),中位OS未达到(图2)。达到深度缓解患者的中位PFS未达到,略高于未达到深度缓解的患者(37.0个月)(95%CI:28.1~45.8个月,P=0.283);两组患者的中位OS无显著差异。

30图片3.png

图2.入组患者的PFS和OS情况

CXCR4突变患者的中位PFS为32.1个月,与无CXCR4突变患者(40个月)相比无显著差异P=0.554,风险比[HR]:1.860,95%CI:0.123~28.02);两组患者的中位OS也无显著差异(CXCR4突变vs无CXCR4突变:32.1个月vs未达到,P=0.247,HR:4.45,95%CI:0.124~160.1)(图3)。

30图片4.png

图3.CXCR4突变无CXCR4突变患者的PFS和OS情况

安全性方面,研究中最常见的血液学不良事件(AE)为中性粒细胞减少(33.3%)、血小板减少(29.2%)和白细胞减少(16.7%);最常见的非血液学AE为失眠(20.8%)、发热(20.8%)、皮疹(16.7%)、感染(16.7%)、周围神经病变(16.7%)和疲劳(16.7%)。

研究中≥3级AE包括感染(12.5%)、血小板减少(8.3%)、失眠(4.2%)、高血糖(4.2%)和瘙痒(4.2%)。1例WM患者在停药后因阑尾炎住院治疗;2例患者发生COVID-19感染,其中1例患者在治疗30.5个月时因COVID-19感染死亡(与治疗无关)。

此外,在12例停药的患者中,75%(9/12)的患者出现IgM反跳性升高,其中位持续时间为2周(范围:2~4周)。在IgM反跳性升高患者中,3例患者在无医生指导的情况下自行恢复泽布替尼治疗;1例患者在停药6个月后因COVID-19感染死亡;其余5例患者在中位6个月(范围:4~16个月)的观察期内持续监测IgM情况,未出现明显的临床症状。

综上所述,该研究表明,ZID方案在TN WM患者中具有较高的深度缓解率和良好的安全性,可为希望接受含BTK抑制剂限时治疗的WM患者提供一种有效的选择。

夏祖光教授点评

WM作为一种相对罕见的惰性淋巴瘤,其治疗目标是在实现深度、持久缓解的同时,尽可能降低治疗相关毒性,提高患者生活质量。尽管一代BTK抑制剂单药治疗有效,但长期用药带来的累积毒性、耐药风险以及停药后的IgM反跳现象,仍是临床面临的挑战。因此,探索基于新一代BTK抑制剂的有限疗程联合方案,旨在实现更深缓解并允许治疗间歇,成为当前WM治疗的重要发展方向。


泽布替尼因其高度的靶点选择性与更优化的药代动力学,为联合治疗提供了更安全、更有效的核心药物。该研究探讨的ZID方案,结合了蛋白酶体抑制剂(伊沙佐米)与皮质类固醇(地塞米松),其设计体现了“诱导深度缓解+巩固维持+预防反跳”的全程管理思路,具有明确的临床创新性。


从疗效数据来看,ZID方案表现突出。高达95.8%的主要缓解率与45.8%的深度缓解率,证实了该方案强大的抗肿瘤活性。中位PFS达到40个月,且中位OS尚未达到,提示该限时治疗方案能为患者带来显著的长期生存获益。尤为重要的是,在传统上认为对BTK抑制剂疗效可能较差的CXCR4突变患者中,ZID方案依然诱导出了可观的缓解率,且其PFS与OS与无突变患者无显著差异,这为这一高危亚组患者提供了新的有效治疗希望,打破了既往的部分治疗瓶颈。


安全性方面,ZID方案的不良事件谱与所含药物的已知毒性相符,以血液学毒性和可管理的非血液学事件为主,未出现新的非预期严重安全性信号,整体耐受性良好。这支持了该联合方案在临床中的可行性。


总之,该项研究表明,以泽布替尼为基础的ZID限时联合方案,能为初治WM患者带来高比例的深度缓解与持久的疾病控制,且对CXCR4突变患者同样有效,安全性可管理。这为中国WM患者的临床治疗提供了一个富有前景的新选择,并推动了WM治疗向“有限疗程、深度缓解”的目标迈进。

夏祖光 教授
副主任医师

复旦大学附属肿瘤医院肿瘤内科副主任医师
复旦大学附属肿瘤医院淋巴瘤、头颈部肿瘤多学科专家组成员
中国临床肿瘤学会(CSCO)青年专家委员会委员
上海市抗癌协会淋巴瘤专业委员会委员
上海市抗癌协会肿瘤药物临床研究专业委员会委员
中国人体健康科技促进会鼻咽癌专业委员会委员
上海市传统医学工程协会肿瘤专业委员会常务理事
中国宋庆龄基金会肿瘤产学研医联体专委会理事
长期从事肿瘤学相关临床及基础研究工作,主持多项国家自然科学基金、上海市自然科学基金等课题,发表SCI论文10余篇

参考文献

[1] Treon SP, Xu L, Guerrera ML, et al. Genomic Landscape of Waldenström Macroglobulinemia and Its Impact on Treatment Strategies. J Clin Oncol. 2020 Apr 10;38(11):1198-1208.
[2] Xiong W, Yan Y, Wang T, et al. Zanubrutinib plus Ixazomib and Dexamethasone in Newly Diagnosed Symptomatic Waldenström Macroglobulinemia: A Phase II Study. Clin Cancer Res 15 May 2025; 31 (10): 1856–1864.

责任编辑:肿瘤资讯-Grady
排版编辑:肿瘤资讯-sy
版权声明
版权归肿瘤资讯所有。欢迎个人转发分享,其他任何媒体、网站如需转载或引用本网版权所有内容,须获得授权,且在醒目位置处注明“转自:良医汇-肿瘤医生APP”。