您好,欢迎您

马玉杰教授:泽布替尼联合方案在R/R FL与MCL中展现显著潜力

2025年12月25日
整理:肿瘤资讯
来源:肿瘤资讯

B细胞受体(BCR)信号通路在多种B细胞淋巴瘤的发生与发展中扮演关键角色。布鲁顿酪氨酸激酶(BTK)与磷脂酰肌醇3-激酶δ亚型(PI3Kδ)均为该通路中重要节点,调控B细胞的增殖与存活。泽布替尼作为新一代高选择性BTK抑制剂,可精准抑制靶点活性,减少脱靶风险。临床前研究提示,其与PI3Kδ抑制剂Zandelisib联合应用可能具有协同抗肿瘤作用[1],但其临床安全性与疗效仍需进一步验证。

一项研究旨在评估泽布替尼联合Zandelisib在复发/难治性(R/R)滤泡性淋巴瘤(FL)及套细胞淋巴瘤(MCL)患者中的疗效与安全性表现[2]。【肿瘤资讯】特邀上海交通大学医学院附属新华医院马玉杰教授,对研究数据进行解读与学术评述,内容如下。

30图片1.png

泽布替尼联合方案展现抗肿瘤活性,疗效可观且安全性总体可控

该研究是一项多臂Ib期临床试验,纳入年龄≥18岁、ECOG性能状态0~2、器官功能正常、既往接受过至少1种治疗并出现疾病进展、未接受过BTK抑制剂或PI3Kδ抑制剂治疗的R/R FL和MCL患者。

入组患者首先接受第1阶段治疗,包括泽布替尼(160mg;每日两次[BID],持续给药)和Zandelisib(60mg;每日一次[QD],先连续给药8周),随后采用间歇给药(ID)方案,即每个28天治疗周期的第1~7天给药。研究第2阶段的治疗方案根据第1阶段的疗效评估结果进行调整,具体为泽布替尼80mg,BID;Zandelisib 60mg,第1~7天间歇给药。

该研究的主要终点是评估剂量限制性毒性(DLT)、安全性和耐受性,次要终点是总缓解率(ORR)、完全缓解(CR)率、缓解持续时间(DOR)和无进展生存期(PFS)。

截至2023年4月,该研究共纳入50例患者,中位年龄为67岁(范围40~83岁),62%的患者为男性。其中,31例为FL患者,19例为MCL患者。在50例入组患者中,62%的患者在初始化疗免疫治疗后24个月内出现疾病进展(POD24),28%的患者对上一次治疗耐药,36%的患者对利妥昔单抗耐药。

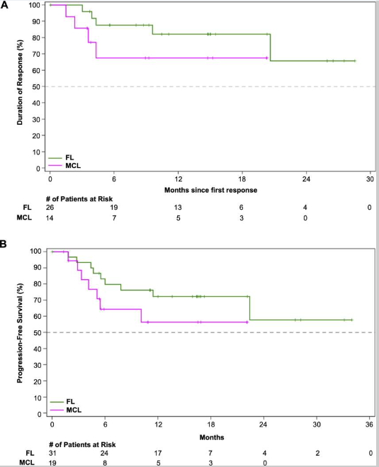
疗效方面,FL组的ORR为86.7%(95%置信区间[CI]:69.3~96.2%)CR率为33%;MCL组的ORR为73.7%(95%CI:48.8~90.9%),CR率为47%。由于随访时间不足,两组均未达到中位DOR和中位PFS(图1)。FL组和MCL组估计的1年DOR率分别为82.2%(95%CI:58.7~93.0%)和67.5%(95%CI:34.1~86.6%);估计的1年PFS率分别为72.3%(95%CI:51.9~85.1%)和56.3%(95%CI:28.9~76.7%)。

30图片2.png

图1.FL组和MCL组的DOR和PFD情况

安全性方面,该研究发生的不良事件(AE)主要为1级或2级,包括腹泻(34%)、血小板减少症(32%)、贫血(30%)、中性粒细胞减少(30%)、肌酐升高(26%)、AST升高(24%)、ALT升高(22%)、挫伤(20%)和白细胞减少(20%)等。研究中发生的≥3级AE包括房颤(n=3)、发热性中性粒细胞减少(n=2)、肺炎(n=2)和高尿酸血症(n=2)。该研究报告的唯一死亡病例死因为COVID-19感染

综上,该研究结果表明,泽布替尼联合Zandelisib治疗R/R FL和MCL患者具有较高的缓解率,且相较任一单药未见毒性增加。尽管该研究由于美国食品药品监督管理局(FDA)针对PI3Kδ抑制剂审批要求的变更而提前终止,但这些结果为未来进一步研究该联合治疗方案的潜力提供了重要依据。

马玉杰教授点评

FL与MCL作为B细胞非霍奇金淋巴瘤中具有代表性的亚型,其临床管理至今仍面临显著挑战。FL虽属惰性淋巴瘤,病程进展相对缓慢,但本质上仍属不可治愈性疾病,绝大多数患者会经历反复复发,且随着治疗线数的后移,有效治疗选择日趋减少,预后也随之变差;MCL则兼具惰性与侵袭性的临床特征,尽管BTK抑制剂的问世改善了一线及复发/难治环境下的治疗结局,但获得性耐药的出现及后续治疗方案的匮乏,使得R/R MCL的治疗效果仍不尽如人意,存在显著的未满足临床需求。


从发病机制层面看,FL与MCL均与BCR信号通路的异常持续性激活密切相关,这使得通路中的关键节点,如BTK和PI3Kδ,成为具有吸引力的治疗靶点。然而,单药靶向治疗常因肿瘤细胞的代偿性激活或旁路激活而导致耐药。因此,理论上,针对同一关键通路中不同节点的联合抑制策略,有望通过协同或叠加效应,克服或延缓耐药的发生,实现更深程度和更持久的疾病控制。该研究探索的泽布替尼联合Zandelisib方案,正是这一策略在临床实践中的一次重要尝试。


从疗效数据看,联合方案在R/R FL和R/R MCL患者群体中均展现出了具有前景的抗肿瘤活性。尤其是在R/R FL患者中,ORR高达86.7%,这一数值优于许多现有单药或传统化疗方案的历史数据,提示双重抑制BCR通路可能产生了积极的协同作用。在R/R MCL患者中,73.7%的ORR和47%的CR率同样令人注目,表明该方案对于这类侵袭性更强的淋巴瘤也具备较强的疾病控制能力。尽管目前的中位随访时间尚不足以计算中位DOR与PFS,但估算的1年DOR率(FL 82.2%,MCL 67.5%)和1年PFS率(FL 72.3%,MCL 56.3%)提供了积极的早期生存信号,提示相当一部分患者可能从该联合治疗中获得持续获益。这些数据为在更大人群中开展后续确证性研究提供了初步的动力和依据。


在安全性管理层面,该研究的发现亦提供了有价值的信息。联合方案所呈现的不良事件谱,总体上与泽布替尼及Zandelisib作为单药已知的毒性特征相重叠,并未观察到非预期的、新型的严重毒性。大多数不良事件为1-2级,临床管理相对容易。虽然出现了包括房颤在内的≥3级不良事件,但其发生率处于可监测和管理的范围内。尤为关键的是,研究中未发生与治疗相关的死亡事件。这些特征共同表明,在本次研究所探索的剂量和给药方案下,泽布替尼联合方案的安全性特征是基本明确且总体可控的,这为考虑将其用于需要长期疾病控制的惰性或侵袭性淋巴瘤患者奠定了重要的安全基础。


总而言之,该项Ib期研究为泽布替尼联合方案这一双靶向治疗方案在难治性B细胞淋巴瘤领域的应用提供了初步的、但颇具希望的临床证据。该研究不仅展示了该策略在提升疗效方面的潜力,也初步验证了其可控的安全性轮廓。尽管泽布替尼联合方案的前路仍需更多扎实的研究数据来铺就,但此项探索无疑为克服FL与MCL的治疗瓶颈,特别是为多线治疗后进展的患者,点亮了一盏新的引路之灯,推动了淋巴瘤靶向治疗联合策略的向前发展。

马玉杰
主治医师

血液内科主治医师,医学硕士
毕业于上海交通大学医学院,从事医教研工作10余年,任职以来发表SCI论文及核心期刊论文数篇,参与国际及国内淋巴瘤相关临床试验数项
擅长血液系统恶性肿瘤的诊治,在科内主要从事淋巴瘤的研究及诊疗工作

参考文献

[1] Stewart CM, Michaud L, Whiting K, et al. Phase I/Ib Study of the Efficacy and Safety of Buparlisib and Ibrutinib Therapy in MCL, FL, and DLBCL with Serial Cell-Free DNA Monitoring. Clin Cancer Res. 2022 Jan 1;28(1):45-56.
[2] Soumerai JD, Diefenbach CS, Jagadeesh D, et al. Safety and efficacy of zandelisib plus zanubrutinib in previously treated follicular and mantle cell lymphomas. Br J Haematol. 2024 May;204(5):1762-1770.

责任编辑:肿瘤资讯-Grady
排版编辑:肿瘤资讯-sy
版权声明
版权归肿瘤资讯所有。欢迎个人转发分享,其他任何媒体、网站如需转载或引用本网版权所有内容,须获得授权,且在醒目位置处注明“转自:良医汇-肿瘤医生APP”。