您好,欢迎您

黄刚教授:泽布替尼为基础的ZID方案在TN WM患者中的疗效与安全性双优,中国患者数据点亮治疗新希望

2025年11月27日
整理:肿瘤资讯
来源:肿瘤资讯

华氏巨球蛋白血症(WM)是一种罕见的惰性成熟B细胞淋巴瘤,主要病理特征为骨髓中浆细胞样淋巴细胞浸润,并伴随单克隆IgM增高。约95%的WM患者携带MYD88 L265P突变,该突变通过招募布鲁顿酪氨酸激酶(BTK)持续激活下游NF-κB信号,驱动肿瘤细胞的增殖与存活[1]。尽管一代BTK抑制剂已在WM中显示出良好的疗效,但单药治疗易引发难以耐受的毒性反应,导致患者提前停药甚至IgM反跳性升高。


泽布替尼作为新一代BTK抑制剂,与一代BTK抑制剂相比,能实现对BTK高选择性且更持久的抑制,同时安全性良好,有望成为WM患者一线治疗的优选方案。一项研究评估了泽布替尼联合伊沙佐米和地塞米松(ZID方案)用于初治(TN)WM患者的疗效和安全性[2]。【肿瘤资讯】特邀汕头大学医学院附属粤北人民医院黄刚教授,对该项研究结果进行深入解析与点评,详情如下。

图片1.png

限时治疗新选择!ZID方案为TN WM患者带来高缓解与持久生存,安全性优异

该研究是一项单中心Ⅱ期临床试验,纳入年龄≥18岁、ECOG评分为0~2分、预期生存期≥6个月的TN WM患者。研究的排除标准包括存在严重并发症、与淋巴瘤无关的肝肾功能损伤或临床神经系统功能障碍的患者。

入组患者首先接受6个周期(28天为1个周期)ZID方案的诱导治疗,每2个周期进行一次疗效评估。在诱导治疗阶段,WM患者口服泽布替尼160mg,每日2次;在每个周期的第1、8、15天口服伊沙佐米4mg联合地塞米松20mg(ID方案)。若入组患者达到微小缓解(MR)及以上,则继续接受ZID方案治疗;若患者经过初始4个周期治疗后仍未缓解,则退出本研究。

完成6个周期诱导治疗后,WM患者进入24个周期的巩固治疗阶段。在巩固治疗阶段,患者将口服泽布替尼160mg,每日2次;ID方案,每3个月给药一次。另外,研究将在治疗最后一个月停用泽布替尼,仅对患者进行ID方案治疗,以预防IgM反跳性升高。

该研究的主要终点为接受6个周期ZID方案治疗后的深度缓解率(非常好的部分缓解[VGPR]及以上);关键次要终点包括安全性、客观缓解率(ORR)、主要缓解率(MRR)、完全缓解(CR)率、VGPR率、部分缓解(PR)率和微小缓解(MR)率;其他终点包括无进展生存期(PFS)、缓解持续时间(DOR)和总生存期(OS)。

2020年7月~2022年8月,该研究共纳入24例TN WM患者并完成诱导治疗。入组患者的中位年龄为62岁(范围:32~73岁);其中6例(25.0%)患者ISSWM评分为高危;23例患者(95.8%)存在MYD88 L265P突变;19例(90.5%)患者存在IGHV突变;7例(29.2%)患者存在del (6q);5例(20.8%)患者存在CXCR4突变。

24例入组患者均完成诱导治疗,ZID方案治疗的中位持续时间为16.0个月(范围:6.0~24.0个月)。治疗后,1例(4.2%)患者达到CR,10例(41.6%)患者达到VGPR,12例(50%)患者达到PR,1例(4.2%)患者达到MR。研究的MRR为95.8%(95%置信区间[CI]:87.2%~104.5%),深度缓解率为45.8%(95%CI:24.3%~67.3%)。

在5例CXCR4突变患者中,3例(60%)患者达到PR,2例(40%)患者达到VGPR;CXCR4突变患者与无CXCR4突变患者的深度缓解率分别为40%和50%,差异无统计学意义(P=0.594)(图1)。

图片2.png

图1.入组患者的缓解情况

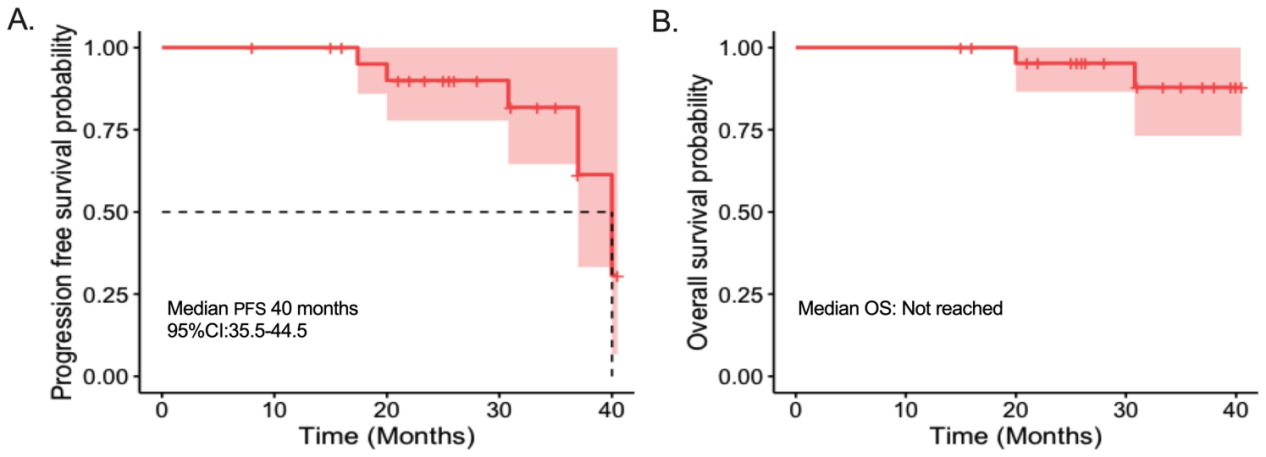
中位随访30.9个月(范围:15.0~40.5个月),研究的中位PFS为40.0个月(95%CI:35.5~44.5个月),中位OS未达到(图2)。达到深度缓解患者的中位PFS未达到,略高于未达到深度缓解的患者(37.0个月)(95%CI:28.1~45.8个月,P=0.283);两组患者的中位OS无显著差异。

图片3.png

图2.入组患者的PFS和OS情况

CXCR4突变患者的中位PFS为32.1个月,与无CXCR4突变患者(40个月)相比无显著差异P=0.554,风险比[HR]:1.860,95%CI:0.123~28.02);两组患者的中位OS也无显著差异(CXCR4突变vs无CXCR4突变:32.1个月vs未达到,P=0.247,HR:4.45,95%CI:0.124~160.1)(图3)。

图片4.png

图3.CXCR4突变无CXCR4突变患者的PFS和OS情况

安全性方面,研究中最常见的血液学不良事件(AE)为中性粒细胞减少(33.3%)、血小板减少(29.2%)和白细胞减少(16.7%);最常见的非血液学AE为失眠(20.8%)、发热(20.8%)、皮疹(16.7%)、感染(16.7%)、周围神经病变(16.7%)和疲劳(16.7%)。

研究中≥3级AE包括感染(12.5%)、血小板减少(8.3%)、失眠(4.2%)、高血糖(4.2%)和瘙痒(4.2%)。1例WM患者在停药后因阑尾炎住院治疗;2例患者发生COVID-19感染,其中1例患者在治疗30.5个月时因COVID-19感染死亡(与治疗无关)。

此外,在12例停药的患者中,75%(9/12)的患者出现IgM反跳性升高,其中位持续时间为2周(范围:2~4周)。在IgM反跳性升高患者中,3例患者在无医生指导的情况下自行恢复泽布替尼治疗;1例患者在停药6个月后因COVID-19感染死亡;其余5例患者在中位6个月(范围:4~16个月)的观察期内持续监测IgM情况,未出现明显的临床症状。

综上所述,本研究表明,ZID方案在TN WM患者中具有较高的深度缓解率和良好的安全性,可为希望接受含BTK抑制剂限时治疗的WM患者提供一种有效的选择。

专家点评

黄刚 教授
汕头大学医学院附属粤北人民医院

血液内科行政负责人
中国老年保健协会肿瘤免疫治疗专业委员会委员
广东省韶关市医师协会血液内科医师分会主任委员
广东省医师协会血液科医师分会常务委员
广东省医师协会血液科医师分会青年医师学组副组长
广东省精准医学应用学会精准免疫治疗分会副主任委员
广东省健康科普促进会干细胞及免疫细胞治疗分会副主任委员
广东省健康科普促进会血液分会副主任委员
广东省基层医药学会血液病学专业委员会常务委员
广东省基层医药学会淋巴瘤专业委员会常务委员
广州抗癌协会罕见肿瘤专业委员会常务委员
广东省医师协会肿瘤重症专业委员会委员
广东省抗癌协会血液肿瘤专业委员会委员
广东省医学会血液病学分会委员
擅长于各种血液病,特别是恶性血液病(如急性、慢性白血病、淋巴瘤、多发性骨髓瘤)的诊断与治疗以及恶性血液病的造血干细胞移植。
在国内外期刊发表论文 10 余篇,其中以第一作者或通讯作者在 EJMC、MJHID、JINT MED RES 等杂志发表 SCI论文6篇,主编血液病专著2部

黄刚教授点评:
WM是一种罕见的惰性非霍奇金淋巴瘤,其发病率仅占所有非霍奇金淋巴瘤的1~2%。MYD88基因编码BCR信号通路的关键适配器蛋白,其L265P热点突变在WM患者中发生率高达95%以上。共价BTK抑制剂通过不可逆地抑制BTK,阻断MYD88突变介导的BCR信号持续激活,在WM治疗中展现出显著且持久的临床疗效。然而,随着一代BTK抑制剂在WM临床中的应用更加广泛,其耐药问题逐渐凸显,药物毒性可能会导致WM患者停药,且停药后患者的IgM水平会快速反跳性升高。因此,如何在保证BTK抑制剂疗效的同时提升安全性,成为WM临床治疗亟待攻克的难题。

相比一代BTK抑制剂,泽布替尼作为新一代BTK抑制剂,对BTK的抑制更加精准且持久,为WM相关联合治疗方案的优化奠定了坚实基础。该研究评估了以泽布替尼为基础的ZID方案在TN WM中的疗效和安全性。研究中采用“诱导+巩固”的限时治疗模式,既避免了BTK抑制剂长期单药的用药压力,又通过最后1个月停用泽布替尼、仅用ID方案的研究设计,针对性预防IgM反跳性升高。这种兼顾疗效与安全性的方案设计,在WM治疗的临床研究中颇具创新性。

从疗效数据来看,研究的整体MRR高达95.8%,深度缓解率达45.8%,意味着泽布替尼能使更多WM患者获得更深层次的疾病控制,这对改善长期预后具有重要意义。

在长期获益方面,中位随访30个月时,WM患者的中位PFS达40个月,中位OS尚未达到,且深度缓解患者的中位PFS未达到,进一步证实了ZID方案可为WM患者带来持久的疾病控制。值得注意的是,该研究中CXCR4突变患者与无CXCR4突变患者相比,两者的深度缓解率、中位PFS均无统计学差异,这一结果打破了BTK抑制剂联合方案对CXCR4突变WM患者疗效不佳的固有认知,为这类高危患者带来了新的治疗希望。

安全性层面,该研究中最常见的血液学AE为中性粒细胞减少和血小板减少,非血液学AE以失眠和发热为主,且≥3级AE的发生率较低,未出现严重治疗相关AE导致的死亡。此外,尽管12例停药患者中有9例患者出现IgM反跳性升高,其中位持续时间仅2周,且多数患者未出现明显的临床症状,这一结果与方案设计中“预防IgM反跳性升高”的目标基本契合,也为后续患者IgM反跳性升高的临床管理提供了明确的应对方向。

总之,该研究证实了ZID限时方案在TN WM中优异的疗效和安全性,推动WM治疗向“深度缓解-可停药”的新阶段迈进,为中国惰性B细胞淋巴瘤的固定疗程管理提供了高质量的循证证据。

参考文献

[1] Treon SP, Xu L, Guerrera ML, et al. Genomic Landscape of Waldenström Macroglobulinemia and Its Impact on Treatment Strategies. J Clin Oncol. 2020 Apr 10;38(11):1198-1208.
[2] Xiong W, Yan Y, Wang T, et al. Zanubrutinib plus Ixazomib and Dexamethasone in Newly Diagnosed Symptomatic Waldenström Macroglobulinemia: A Phase II Study. Clin Cancer Res 15 May 2025; 31 (10): 1856–1864.

责任编辑:肿瘤资讯-Grady
排版编辑:肿瘤资讯-Sally 
版权声明
版权归肿瘤资讯所有。欢迎个人转发分享,其他任何媒体、网站如需转载或引用本网版权所有内容,须获得授权,且在醒目位置处注明“转自:良医汇-肿瘤医生APP”。

评论
2025年12月05日
韩朝
黑山仁和医院 | 肿瘤内科
ZID方案在TN WM患者中具有较高的深度缓解率和良好的安全性